哈夫曼树:在叶子结点和权重确定的情况下,带权路径长度最小的二叉树,也被称为最优二叉树。
原始值优先选 ,放左边
一颗有n个叶子结点的的哈夫曼树共有2n-1个结点
哈夫曼树有什么用?
例子: 压缩电报
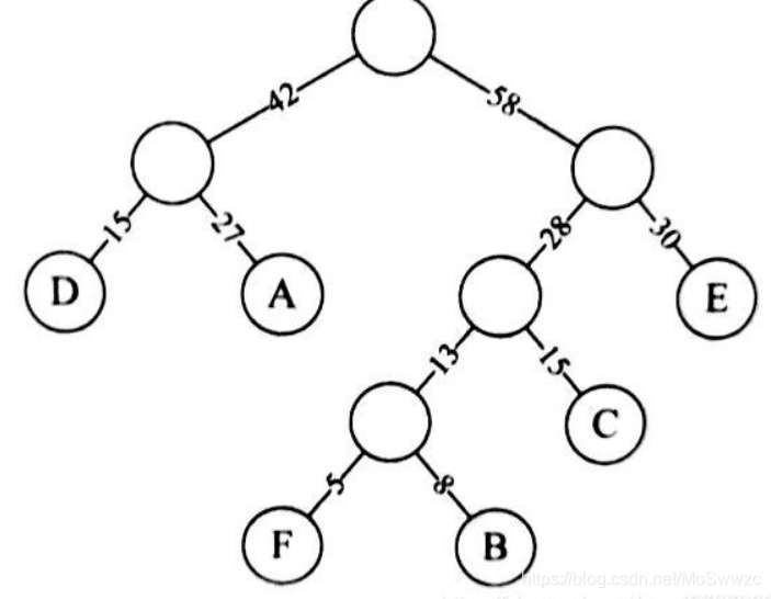
BADCADFEED

二进制为:001000011010000011101100100011


左0右1


新编码的二进制为:1001010010101001000111100
旧编码的二进制为:001000011010000011101100100011
本文介绍了哈夫曼树的基本概念,包括其定义、特点和构造方法,并通过压缩电报的例子展示了如何利用哈夫曼树实现数据的有效压缩。
哈夫曼树:在叶子结点和权重确定的情况下,带权路径长度最小的二叉树,也被称为最优二叉树。
原始值优先选 ,放左边
一颗有n个叶子结点的的哈夫曼树共有2n-1个结点
哈夫曼树有什么用?
例子: 压缩电报
BADCADFEED

二进制为:001000011010000011101100100011


左0右1


新编码的二进制为:1001010010101001000111100
旧编码的二进制为:001000011010000011101100100011

被折叠的 条评论
为什么被折叠?