✅作者简介:热爱科研的Matlab仿真开发者,擅长数据处理、建模仿真、程序设计、完整代码获取、论文复现及科研仿真。
🍎 往期回顾关注个人主页:Matlab科研工作室
🍊个人信条:格物致知,完整Matlab代码及仿真咨询内容私信。
🔥 内容介绍
在计算机视觉领域,目标检测是一项核心任务,其目标在于识别图像中特定对象的位置和类别。随着技术的不断发展,各种目标检测方法应运而生。本文旨在深入探讨使用二元分类器进行对象检测的三种经典且具有代表性的技术:模板匹配、梯度直方图(HOG)以及基于级联的 AdaBoost 分类器(通常应用于人脸检测)。通过对这些方法的原理、优缺点以及适用场景的系统性研究,我们可以更深入地理解计算机视觉中目标检测的基本思想和发展脉络。
引言:二元分类器在目标检测中的基础作用
目标检测本质上可以被分解为两个关键步骤:区域建议(Region Proposal)和区域分类(Region Classification)。前者旨在生成可能包含目标的图像区域,而后者则利用分类器判断这些区域是否包含目标,并确定其类别。在二元分类器的框架下,我们将问题简化为“该区域是否包含目标?”的判断。这意味着分类器被训练用来区分两类样本:包含目标的正样本和不包含目标的负样本。这种二元分类的思路为后续复杂的多类别目标检测奠定了基础,因为它将复杂的识别问题分解为一系列简单的“是”或“否”的判断。本文所研究的三种方法,虽然在具体实现和特征提取方式上有所不同,但都或多或少地体现了二元分类的思想,或者可以直接用于构建二元分类器。
第一部分:模板匹配——简单直观的位置匹配
模板匹配是一种最为直观和简单的目标检测方法。其基本原理是将一个预先定义的模板图像(即要检测的对象的小图)与待检测图像中的每个可能的区域进行比较,并通过某种相似度度量来确定最佳匹配位置。常用的相似度度量包括平方差匹配(Sum of Squared Differences, SSD)、相关匹配(Correlation)和相关系数匹配(Correlation Coefficient)等。
原理:
模板匹配的核心在于计算模板图像与待检测图像中滑动窗口区域的相似度。通过在待检测图像上滑动与模板大小相同的窗口,并在每个位置计算相似度值,可以得到一个相似度响应图。响应图中的峰值位置通常被认为是目标可能出现的位置。
- 平方差匹配 (SSD):
计算模板与窗口区域像素值差的平方和。值越小,相似度越高。
- 相关匹配 (Correlation):
计算模板与窗口区域像素值的乘积和。值越大,相似度越高。
- 相关系数匹配 (Correlation Coefficient):
对模板和窗口区域的像素值进行标准化处理后再计算相关性,能够一定程度上消除光照变化的影响。
优缺点:
- 优点:
- 原理简单,易于理解和实现。
- 计算速度快,尤其适用于检测具有固定形状和姿态的对象。
- 对图像噪声具有一定的鲁棒性(取决于相似度度量)。
- 缺点:
- 对目标的大小、旋转和视角变化非常敏感。
目标图像的微小变化都可能导致匹配失败。
- 对光照变化和背景复杂性缺乏鲁棒性。
相似度度量容易受到这些因素的影响。
- 无法有效检测多类目标。
每类目标需要单独的模板。
- 在处理复杂场景时容易产生误报。
- 对目标的大小、旋转和视角变化非常敏感。
二元分类器的视角:
从二元分类器的角度来看,模板匹配可以被视为一个简单的二元分类器。通过设定一个相似度阈值,我们可以将匹配结果分为两类:相似度高于阈值则判定为目标(正样本),低于阈值则判定为非目标(负样本)。然而,这种分类方式过于简单,其分类能力严重依赖于模板的代表性和阈值的设定,难以应对实际应用中目标的各种变化。
适用场景:
模板匹配适用于那些目标形状和姿态相对固定,且环境变化不大的应用场景,例如:
- 简单的工业检测:
检测流水线上固定位置和方向的特定零件。
- 文档图像处理:
查找和识别特定的图标或水印。
- 游戏开发:
检测屏幕上固定的游戏元素。
第二部分:梯度直方图(HOG)——利用局部形状特征
与模板匹配依赖于像素值的直接比较不同,梯度直方图(Histogram of Oriented Gradients, HOG)是一种基于局部图像梯度方向统计的特征描述子。它通过分析图像局部区域的边缘和形状信息来描述对象的特征,对光照变化和几何变形具有一定的鲁棒性。HOG 特征通常与支持向量机(Support Vector Machine, SVM)等分类器结合使用,构建强大的二元分类器。
原理:
HOG 特征的计算过程主要包括以下几个步骤:
- 计算图像梯度:
对图像进行水平和垂直方向的 Sobel 算子或 Prewitt 算子卷积,得到每个像素点的梯度幅值和方向。
- 构建方向直方图:
将图像分割成小的单元格(cells)。在每个单元格内,根据像素点的梯度方向,将梯度幅值累加到预设的若干个方向 bin 中,形成一个方向直方图。
- 块归一化:
为了进一步增强对光照变化的鲁棒性,将若干个相邻的单元格组合成更大的块(blocks)。对每个块内的所有方向直方图进行归一化处理。常用的归一化方法包括 L2-norm、L2-hys 和 L1-sqrt。
- 特征向量的构建:
将所有块的归一化方向直方图连接起来,形成最终的 HOG 特征向量。
HOG 与二元分类器:
HOG 特征本身并不是一个分类器,它是一种特征提取方法。然而,通过将提取的 HOG 特征输入到一个训练好的二元分类器中,我们可以判断待检测区域是否包含目标。常用的二元分类器包括:
- 支持向量机 (SVM):
SVM 是一种强大的二元分类器,它可以找到最优超平面来分隔正负样本。在 HOG-SVM 组合中,SVM 被训练来区分目标的 HOG 特征和非目标的 HOG 特征。
- AdaBoost:
AdaBoost 是一种集成学习算法,它通过组合多个弱分类器来构建一个强分类器。在 HOG-AdaBoost 组合中,弱分类器通常是基于 HOG 特征的简单决策桩。
优缺点:
- 优点:
- 对光照变化和部分几何变形具有一定的鲁棒性。
HOG 特征描述的是边缘信息,而不是像素的绝对值。
- 能够有效捕捉目标的局部形状特征。
- 与 SVM 等分类器结合可以构建强大的目标检测系统。
- 对光照变化和部分几何变形具有一定的鲁棒性。
- 缺点:
- 对目标的大幅姿态变化和遮挡仍然比较敏感。
HOG 特征描述的是局部区域的特征,难以应对整体性的变化。
- 计算复杂度相对较高。
- 需要大量的训练样本来训练分类器。
- 对目标的大幅姿态变化和遮挡仍然比较敏感。
二元分类器的视角:
在 HOG-SVM 或 HOG-AdaBoost 的组合中,二元分类器(SVM 或 AdaBoost)的输入是 HOG 特征向量,输出是该特征向量对应的类别(目标或非目标)。通过在待检测图像上滑动检测窗口,并在每个窗口提取 HOG 特征并输入到分类器中,可以得到每个窗口的分类结果。然后通过非极大值抑制(Non-Maximum Suppression, NMS)等后处理步骤来去除冗余的检测框,得到最终的检测结果。这种基于特征提取和二元分类的框架是现代目标检测方法的重要基础。
适用场景:
HOG 特征及其与二元分类器的组合广泛应用于各种目标检测任务,尤其是:
- 行人检测:
HOG-SVM 组合是经典的行人检测方法。
- 车辆检测:
HOG 特征能够有效描述车辆的轮廓和结构。
- 特定物体的检测:
检测具有明显边缘和形状特征的物体,如瓶子、椅子等。
第三部分:级联目标检测——高效的多阶段筛选
级联目标检测是一种基于 AdaBoost 算法和积分图像(Integral Image)的快速目标检测框架,其最著名的应用是 Viola-Jones 人脸检测器。它通过构建一个级联的二元分类器来高效地筛选出包含目标的区域,大大提高了检测速度。
原理:
级联目标检测的核心思想是将一个复杂的检测任务分解为一系列简单的、有序的检测阶段。每个阶段都是一个二元分类器,其目标是快速剔除大部分非目标区域。只有通过了前一阶段分类器的区域才能进入下一阶段的检测。这种层层过滤的方式可以显著减少计算量,提高检测效率。
- Haar 特征:
级联分类器通常使用 Haar 特征作为图像特征。Haar 特征是一种简单的矩形特征,它计算图像中矩形区域像素的和差。通过不同的形状和大小的矩形组合,Haar 特征可以描述图像中的边缘、纹理等信息。Haar 特征的计算可以利用积分图像技术进行快速计算。
- AdaBoost 训练:
每个阶段的分类器都是通过 AdaBoost 算法训练得到的。AdaBoost 选择一系列弱分类器(通常是基于单个 Haar 特征的决策桩),并将其组合成一个强分类器。训练过程中,AdaBoost 会更加关注那些被前一阶段分类器误分类的样本,以提高整体的分类性能。
- 级联结构:
训练好的强分类器按照它们的复杂度和分类能力被组织成一个级联结构。前面的阶段包含更简单的分类器,能够快速剔除大部分负样本;后面的阶段包含更复杂的分类器,能够更精确地判断是否为目标。
级联分类器与二元分类:
级联结构本身就是一个多阶段的二元分类过程。每个阶段的强分类器都可以被视为一个二元分类器,其输入是待检测区域的特征(Haar 特征),输出是该区域是否通过本阶段检测(即是否被判定为可能包含目标)。只有当一个区域通过了所有阶段的检测,才最终被判定为包含目标。
优缺点:
- 优点:
- 检测速度快。
通过早期剔除大部分负样本,大大减少了计算量。
- 在特定目标(如人脸)检测上具有较高的准确率。
- 能够有效应对图像中的部分遮挡和光照变化。
- 检测速度快。
- 缺点:
- 对检测目标具有特异性。
不同类型的目标需要重新训练级联分类器。
- 对目标的大幅姿态变化和旋转敏感。
Haar 特征对旋转变化不鲁棒。
- 训练过程需要大量的正负样本。
- 级联结构的构建和训练需要一定的经验。
- 对检测目标具有特异性。
二元分类器的视角:
级联分类器是二元分类思想在目标检测中的一个巧妙应用。通过将复杂的二元分类问题分解为一系列简单的二元分类子问题,并利用级联结构进行高效的筛选,实现了快速准确的目标检测。每个阶段的分类器都是为了最大程度地减少下一阶段的计算量,从而实现整体的高效性。
适用场景:
级联目标检测最成功的应用是人脸检测,例如:
- 数码相机中的人脸识别功能。
- 视频监控系统中的人脸检测。
- 人机交互系统中的人脸跟踪。
虽然最初主要用于人脸检测,但级联结构也可以应用于其他具有明显特征的物体检测,例如:
- 车辆牌照检测。
- 特定标志物检测。
总结与展望
本文详细研究了使用二元分类器检测对象的三种经典方法:模板匹配、梯度直方图(HOG)以及级联目标检测。这三种方法在原理、特征提取和分类策略上各有特色,但都或多或少地体现了二元分类在目标检测中的核心作用。
- 模板匹配
以其简单直观的像素匹配方法,适用于检测形状和姿态固定的对象。然而其对变化的鲁棒性差限制了其应用范围。
- HOG
通过提取局部梯度特征,能够更有效地描述目标的形状信息,并与 SVM 等分类器结合构建更鲁棒的检测系统,广泛应用于行人、车辆等目标的检测。
- 级联目标检测
利用多阶段的二元分类器和高效的特征计算,实现了快速的目标检测,在人脸检测等领域取得了巨大成功。
尽管这些方法在各自的历史时期都发挥了重要作用,但随着深度学习的兴起,基于卷积神经网络(CNN)的目标检测方法(如 R-CNN, Fast R-CNN, Faster R-CNN, YOLO, SSD 等)已经取得了突破性的进展,并在准确性和鲁棒性方面远超传统方法。然而,对这些经典方法的学习仍然具有重要的意义:
- 理解目标检测的基本思想:
这些方法为后续复杂的深度学习模型奠定了基础,理解它们的原理有助于我们更好地理解现代目标检测框架。
- 理解特征工程的重要性:
HOG 和 Haar 特征等传统特征的成功应用表明了设计有效的特征对于目标检测的重要性。
- 理解分类器在目标检测中的作用:
无论是基于传统特征的二元分类器,还是深度学习模型中的分类层,分类器都是决定最终检测结果的关键组件。
- 理解高效算法设计的思想:
级联结构的多阶段筛选思想在现代目标检测框架中也有所体现,例如一些高效的锚框选择策略。
未来,随着计算能力的不断提升和深度学习技术的进一步发展,目标检测技术将更加智能化、鲁棒化。然而,对这些经典方法的深入研究,能够帮助我们更好地理解目标检测领域的发展历程,并为未来的研究提供启示。在实际应用中,针对不同的场景和需求,我们也可能需要结合传统方法和深度学习方法,以达到最佳的检测效果。例如,在计算资源受限的环境下,轻量级的传统方法可能仍然具有一定的应用价值。
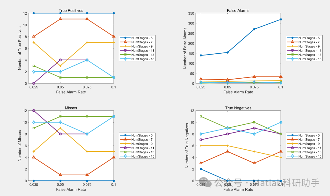
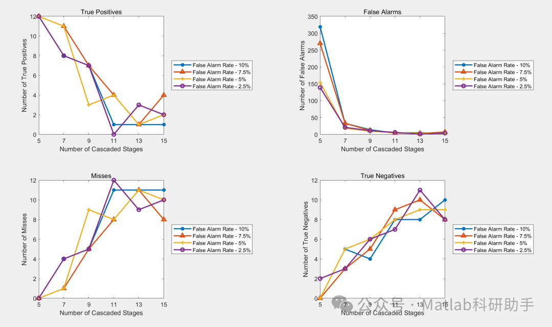
⛳️ 运行结果





🔗 参考文献
[1] 严晓玲,梁博,曾贵华.基于分块运动估计的对象跟踪方法[J].中国图象图形学报, 2008, 13(10):1869-1872.DOI:10.11834/jig.20081013.
[2] 甘俊英,陈银河,高建虎.基于加权直方图和均值漂移的实时跟踪算法[J].计算机仿真, 2008, 25(11):4.DOI:10.3969/j.issn.1006-9348.2008.11.056.
[3] 孔祥宇.斑马线不礼让行人行为智能检测技术研究[D].大连海事大学,2022.
📣 部分代码
🎈 部分理论引用网络文献,若有侵权联系博主删除
👇 关注我领取海量matlab电子书和数学建模资料
🏆团队擅长辅导定制多种科研领域MATLAB仿真,助力科研梦:
🌈 各类智能优化算法改进及应用
生产调度、经济调度、装配线调度、充电优化、车间调度、发车优化、水库调度、三维装箱、物流选址、货位优化、公交排班优化、充电桩布局优化、车间布局优化、集装箱船配载优化、水泵组合优化、解医疗资源分配优化、设施布局优化、可视域基站和无人机选址优化、背包问题、 风电场布局、时隙分配优化、 最佳分布式发电单元分配、多阶段管道维修、 工厂-中心-需求点三级选址问题、 应急生活物质配送中心选址、 基站选址、 道路灯柱布置、 枢纽节点部署、 输电线路台风监测装置、 集装箱调度、 机组优化、 投资优化组合、云服务器组合优化、 天线线性阵列分布优化、CVRP问题、VRPPD问题、多中心VRP问题、多层网络的VRP问题、多中心多车型的VRP问题、 动态VRP问题、双层车辆路径规划(2E-VRP)、充电车辆路径规划(EVRP)、油电混合车辆路径规划、混合流水车间问题、 订单拆分调度问题、 公交车的调度排班优化问题、航班摆渡车辆调度问题、选址路径规划问题、港口调度、港口岸桥调度、停机位分配、机场航班调度、泄漏源定位
🌈 机器学习和深度学习时序、回归、分类、聚类和降维
2.1 bp时序、回归预测和分类
2.2 ENS声神经网络时序、回归预测和分类
2.3 SVM/CNN-SVM/LSSVM/RVM支持向量机系列时序、回归预测和分类
2.4 CNN|TCN|GCN卷积神经网络系列时序、回归预测和分类
2.5 ELM/KELM/RELM/DELM极限学习机系列时序、回归预测和分类
2.6 GRU/Bi-GRU/CNN-GRU/CNN-BiGRU门控神经网络时序、回归预测和分类
2.7 ELMAN递归神经网络时序、回归\预测和分类
2.8 LSTM/BiLSTM/CNN-LSTM/CNN-BiLSTM/长短记忆神经网络系列时序、回归预测和分类
2.9 RBF径向基神经网络时序、回归预测和分类
2.10 DBN深度置信网络时序、回归预测和分类
2.11 FNN模糊神经网络时序、回归预测
2.12 RF随机森林时序、回归预测和分类
2.13 BLS宽度学习时序、回归预测和分类
2.14 PNN脉冲神经网络分类
2.15 模糊小波神经网络预测和分类
2.16 时序、回归预测和分类
2.17 时序、回归预测预测和分类
2.18 XGBOOST集成学习时序、回归预测预测和分类
2.19 Transform各类组合时序、回归预测预测和分类
方向涵盖风电预测、光伏预测、电池寿命预测、辐射源识别、交通流预测、负荷预测、股价预测、PM2.5浓度预测、电池健康状态预测、用电量预测、水体光学参数反演、NLOS信号识别、地铁停车精准预测、变压器故障诊断
🌈图像处理方面
图像识别、图像分割、图像检测、图像隐藏、图像配准、图像拼接、图像融合、图像增强、图像压缩感知
🌈 路径规划方面
旅行商问题(TSP)、车辆路径问题(VRP、MVRP、CVRP、VRPTW等)、无人机三维路径规划、无人机协同、无人机编队、机器人路径规划、栅格地图路径规划、多式联运运输问题、 充电车辆路径规划(EVRP)、 双层车辆路径规划(2E-VRP)、 油电混合车辆路径规划、 船舶航迹规划、 全路径规划规划、 仓储巡逻
🌈 无人机应用方面
无人机路径规划、无人机控制、无人机编队、无人机协同、无人机任务分配、无人机安全通信轨迹在线优化、车辆协同无人机路径规划
🌈 通信方面
传感器部署优化、通信协议优化、路由优化、目标定位优化、Dv-Hop定位优化、Leach协议优化、WSN覆盖优化、组播优化、RSSI定位优化、水声通信、通信上传下载分配
🌈 信号处理方面
信号识别、信号加密、信号去噪、信号增强、雷达信号处理、信号水印嵌入提取、肌电信号、脑电信号、信号配时优化、心电信号、DOA估计、编码译码、变分模态分解、管道泄漏、滤波器、数字信号处理+传输+分析+去噪、数字信号调制、误码率、信号估计、DTMF、信号检测
🌈电力系统方面
微电网优化、无功优化、配电网重构、储能配置、有序充电、MPPT优化、家庭用电
🌈 元胞自动机方面
交通流 人群疏散 病毒扩散 晶体生长 金属腐蚀
🌈 雷达方面
卡尔曼滤波跟踪、航迹关联、航迹融合、SOC估计、阵列优化、NLOS识别
🌈 车间调度
零等待流水车间调度问题NWFSP 、 置换流水车间调度问题PFSP、 混合流水车间调度问题HFSP 、零空闲流水车间调度问题NIFSP、分布式置换流水车间调度问题 DPFSP、阻塞流水车间调度问题BFSP
👇
724

被折叠的 条评论
为什么被折叠?



