✅作者简介:热爱科研的Matlab仿真开发者,擅长数据处理、建模仿真、程序设计、完整代码获取、论文复现及科研仿真。
🍎 往期回顾关注个人主页:Matlab科研工作室
🍊个人信条:格物致知,完整Matlab代码获取及仿真咨询内容私信。
🔥 内容介绍
多智能体强化学习(Multi - Agent Reinforcement Learning,MARL)作为强化学习领域的重要分支,近年来在学术界和工业界都吸引了广泛的关注。它旨在研究多个智能体在共享环境中如何通过相互作用和学习来优化各自的策略,以实现共同的目标或最大化自身的收益。
多智能体强化学习的发展历程可以追溯到上世纪 80 年代,随着计算机技术和人工智能理论的不断进步,其理论框架和算法体系逐渐完善。从早期简单的合作与竞争模型,到如今复杂的分布式系统和大规模智能体群体,多智能体强化学习在各个领域的应用也日益广泛。在机器人协作领域,多个机器人通过多智能体强化学习算法可以实现高效的任务分配和协同作业,如协作搬运、搜索救援等任务 。在自动驾驶场景中,多智能体强化学习有助于车辆之间的交互决策,提高交通效率和安全性,避免碰撞并优化行驶路径。此外,在电力系统调度、资源分配、游戏博弈等领域,多智能体强化学习也展现出了巨大的潜力和应用价值。
然而,多智能体强化学习在实际应用中仍然面临诸多挑战。在高维状态空间下,传统的强化学习算法在评估值函数时面临巨大困难。随着状态空间维度的增加,计算量呈指数级增长,导致算法的学习效率低下,甚至无法收敛,这就是所谓的 “维度灾难” 问题。例如,在复杂的机器人协作任务中,机器人的位置、姿态、动作以及环境中的各种因素都可能构成高维状态空间,使得准确评估值函数变得极为困难。
多智能体系统中的环境非平稳性也是一个关键挑战。由于每个智能体都在不断学习和更新自己的策略,这会导致其他智能体所处的环境发生动态变化。这种环境的非平稳性破坏了传统强化学习算法所依赖的马尔可夫假设,使得智能体难以准确地预测环境的未来状态和奖励,从而增加了学习的难度。以自动驾驶场景为例,其他车辆的行驶决策和行为变化会不断改变自身车辆所处的环境,使得学习过程变得更加复杂。
为了应对这些挑战,研究者们提出了许多改进方法和新的算法思路。其中,分布式策略评估和分数阶动力学成为了近年来的研究热点。分布式策略评估通过将策略评估任务分配到多个智能体上并行进行,有效地降低了计算复杂度,提高了算法的可扩展性。而分数阶动力学则为多智能体强化学习带来了全新的视角,通过引入分数阶导数,能够更准确地描述系统的动态特性,提升算法的性能和收敛速度。
分布式策略评估:原理与流程
分布式策略评估作为解决多智能体强化学习中高维状态空间和环境非平稳性问题的重要手段,其核心原理是将多个智能体的经验数据分发到不同的节点上进行并行处理 ,从而实现高效的策略评估。这种方法打破了传统集中式策略评估的局限,充分利用了分布式系统的优势,大大加速了学习过程,并提高了决策的准确性。
在实际应用中,分布式策略评估的流程可以细分为以下几个关键步骤:
- 数据收集阶段:每个智能体在其所处的环境中独立地执行动作,并实时收集相关的经验数据。这些数据包括智能体当前所处的状态、执行的动作、获得的奖励以及转移到的新状态等信息。以自动驾驶场景中的多智能体系统为例,每辆车(智能体)会收集自身的速度、位置、周围车辆的距离和速度等状态信息,以及自身采取的加速、减速、转向等动作信息,同时记录下这些动作所带来的奖励,如是否成功避免碰撞、是否提高了行驶效率等。
- 数据传输阶段:智能体将收集到的经验数据发送到中央节点或其他分布式节点。在这个过程中,为了确保数据传输的高效性和可靠性,通常会采用一些优化的通信协议和数据压缩技术。在一个大规模的机器人协作任务中,多个机器人将各自的数据通过无线通信网络发送到控制中心节点,为了减少通信带宽的占用,数据可能会被压缩成特定的格式进行传输。
- 策略评估与更新阶段:各个节点接收到智能体发送的数据后,会利用这些数据进行策略评估。节点根据接收到的经验数据,计算出智能体当前策略下的价值函数估计值,以此来评估策略的优劣。基于评估结果,节点会使用相应的算法对策略进行更新,以提高策略的性能。例如,采用梯度下降算法来调整策略网络的参数,使得策略朝着能够获得更高奖励的方向优化。
- 策略反馈阶段:更新后的策略被再次发送回智能体,智能体根据接收到的更新策略来改进其动作选择和决策过程。智能体利用新的策略在环境中进行下一轮的动作执行和数据收集,如此循环往复,不断优化策略。在一个多智能体的资源分配场景中,智能体根据更新后的策略重新调整资源分配方案,以实现更高效的资源利用。
分布式策略评估通过将复杂的策略评估任务分散到多个节点上并行执行,显著降低了单个智能体的计算负担,使得系统能够处理更大规模的状态空间和更复杂的任务。这种并行处理方式还加快了学习速度,使得智能体能够更快地适应环境的变化,提高了决策的准确性和及时性。在一个包含多个智能体的物流配送系统中,分布式策略评估可以使每个配送车辆(智能体)更快地学习到最优的配送路线和配送时间,从而提高整个物流系统的效率和服务质量。
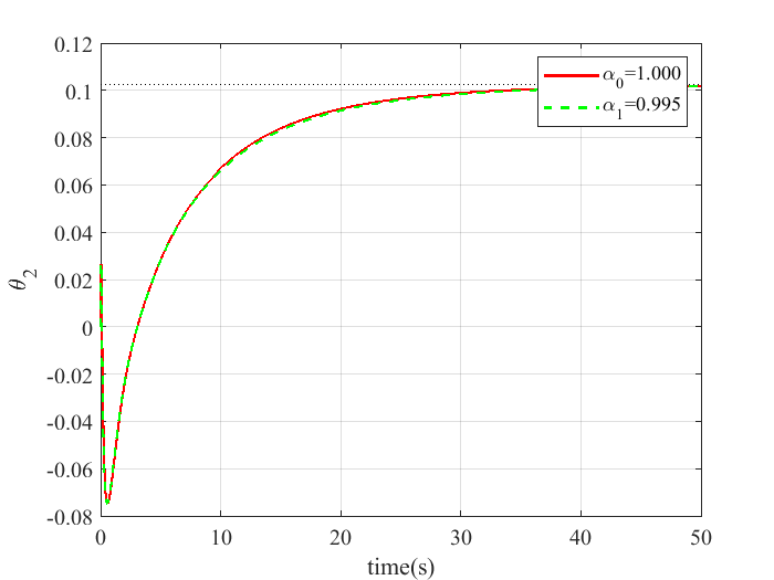
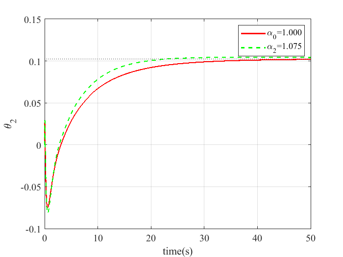
⛳️ 运行结果




📣 部分代码
🔗 参考文献
🎈 部分理论引用网络文献,若有侵权联系博主删除
👇 关注我领取海量matlab电子书和数学建模资料
🏆团队擅长辅导定制多种科研领域MATLAB仿真,助力科研梦:
🌟 各类智能优化算法改进及应用
生产调度、经济调度、装配线调度、充电优化、车间调度、发车优化、水库调度、三维装箱、物流选址、货位优化、公交排班优化、充电桩布局优化、车间布局优化、集装箱船配载优化、水泵组合优化、解医疗资源分配优化、设施布局优化、可视域基站和无人机选址优化、背包问题、 风电场布局、时隙分配优化、 最佳分布式发电单元分配、多阶段管道维修、 工厂-中心-需求点三级选址问题、 应急生活物质配送中心选址、 基站选址、 道路灯柱布置、 枢纽节点部署、 输电线路台风监测装置、 集装箱调度、 机组优化、 投资优化组合、云服务器组合优化、 天线线性阵列分布优化、CVRP问题、VRPPD问题、多中心VRP问题、多层网络的VRP问题、多中心多车型的VRP问题、 动态VRP问题、双层车辆路径规划(2E-VRP)、充电车辆路径规划(EVRP)、油电混合车辆路径规划、混合流水车间问题、 订单拆分调度问题、 公交车的调度排班优化问题、航班摆渡车辆调度问题、选址路径规划问题、港口调度、港口岸桥调度、停机位分配、机场航班调度、泄漏源定位、冷链、时间窗、多车场等、选址优化、港口岸桥调度优化、交通阻抗、重分配、停机位分配、机场航班调度、通信上传下载分配优化
🌟 机器学习和深度学习时序、回归、分类、聚类和降维
2.1 bp时序、回归预测和分类
2.2 ENS声神经网络时序、回归预测和分类
2.3 SVM/CNN-SVM/LSSVM/RVM支持向量机系列时序、回归预测和分类
2.4 CNN|TCN|GCN卷积神经网络系列时序、回归预测和分类
2.5 ELM/KELM/RELM/DELM极限学习机系列时序、回归预测和分类
2.6 GRU/Bi-GRU/CNN-GRU/CNN-BiGRU门控神经网络时序、回归预测和分类
2.7 ELMAN递归神经网络时序、回归\预测和分类
2.8 LSTM/BiLSTM/CNN-LSTM/CNN-BiLSTM/长短记忆神经网络系列时序、回归预测和分类
2.9 RBF径向基神经网络时序、回归预测和分类
2.10 DBN深度置信网络时序、回归预测和分类
2.11 FNN模糊神经网络时序、回归预测
2.12 RF随机森林时序、回归预测和分类
2.13 BLS宽度学习时序、回归预测和分类
2.14 PNN脉冲神经网络分类
2.15 模糊小波神经网络预测和分类
2.16 时序、回归预测和分类
2.17 时序、回归预测预测和分类
2.18 XGBOOST集成学习时序、回归预测预测和分类
2.19 Transform各类组合时序、回归预测预测和分类
方向涵盖风电预测、光伏预测、电池寿命预测、辐射源识别、交通流预测、负荷预测、股价预测、PM2.5浓度预测、电池健康状态预测、用电量预测、水体光学参数反演、NLOS信号识别、地铁停车精准预测、变压器故障诊断
🌟图像处理方面
图像识别、图像分割、图像检测、图像隐藏、图像配准、图像拼接、图像融合、图像增强、图像压缩感知
🌟 路径规划方面
旅行商问题(TSP)、车辆路径问题(VRP、MVRP、CVRP、VRPTW等)、无人机三维路径规划、无人机协同、无人机编队、机器人路径规划、栅格地图路径规划、多式联运运输问题、 充电车辆路径规划(EVRP)、 双层车辆路径规划(2E-VRP)、 油电混合车辆路径规划、 船舶航迹规划、 全路径规划规划、 仓储巡逻、公交车时间调度、水库调度优化、多式联运优化
🌟 无人机应用方面
无人机路径规划、无人机控制、无人机编队、无人机协同、无人机任务分配、无人机安全通信轨迹在线优化、车辆协同无人机路径规划、
🌟 通信方面
传感器部署优化、通信协议优化、路由优化、目标定位优化、Dv-Hop定位优化、Leach协议优化、WSN覆盖优化、组播优化、RSSI定位优化、水声通信、通信上传下载分配
🌟 信号处理方面
信号识别、信号加密、信号去噪、信号增强、雷达信号处理、信号水印嵌入提取、肌电信号、脑电信号、信号配时优化、心电信号、DOA估计、编码译码、变分模态分解、管道泄漏、滤波器、数字信号处理+传输+分析+去噪、数字信号调制、误码率、信号估计、DTMF、信号检测
🌟电力系统方面
微电网优化、无功优化、配电网重构、储能配置、有序充电、MPPT优化、家庭用电、电/冷/热负荷预测、电力设备故障诊断、电池管理系统(BMS)SOC/SOH估算(粒子滤波/卡尔曼滤波)、 多目标优化在电力系统调度中的应用、光伏MPPT控制算法改进(扰动观察法/电导增量法)、电动汽车充放电优化、微电网日前日内优化、储能优化、家庭用电优化、供应链优化
🌟 元胞自动机方面
交通流 人群疏散 病毒扩散 晶体生长 金属腐蚀
🌟 雷达方面
卡尔曼滤波跟踪、航迹关联、航迹融合、SOC估计、阵列优化、NLOS识别
🌟 车间调度
零等待流水车间调度问题NWFSP 、 置换流水车间调度问题PFSP、 混合流水车间调度问题HFSP 、零空闲流水车间调度问题NIFSP、分布式置换流水车间调度问题 DPFSP、阻塞流水车间调度问题BFSP
👇
1786

被折叠的 条评论
为什么被折叠?



