✅作者简介:热爱科研的Matlab仿真开发者,擅长数据处理、建模仿真、程序设计、完整代码获取、论文复现及科研仿真。
🍎 往期回顾关注个人主页:Matlab科研工作室
🍊个人信条:格物致知,完整Matlab代码及仿真咨询内容私信。
🔥 内容介绍
摘要: 波浪能作为一种蕴藏丰富的可再生能源,正日益受到全球的重视。起伏浮标波浪能转换器(Point Absorber Wave Energy Converter, PA-WEC)以其结构简单、适用性广等优点,成为最具发展潜力的波浪能捕获装置之一。而永磁直线同步发电机(Permanent Magnet Linear Synchronous Generator, PMLSM)由于其直接驱动、无需中间变速箱、高效率等优势,被广泛应用于PA-WEC的取力器(Power Take-Off, PTO)设计。本文将深入探讨PMLSM在PA-WEC中作为PTO的建模与设计分析,重点关注其在波动环境下的性能表现,并探讨影响其性能的关键因素,旨在为PA-WEC取力器的优化设计提供理论依据和技术支持。
关键词: 波浪能,起伏浮标,永磁直线同步发电机,取力器,建模,设计分析,性能优化
1. 引言
在全球能源危机和环境问题的双重压力下,开发利用可再生能源已成为必然趋势。波浪能作为一种蕴藏巨大的海洋能源,具有储量丰富、分布广泛、能量密度高等优点,是极具潜力的清洁能源之一。PA-WEC通过浮标吸收波浪的能量,并将其转换为电能,具有结构简单、体积小、易于维护等优点,使其成为近年来研究的热点。
PA-WEC的能量转换效率很大程度上取决于PTO系统的性能。PTO系统是将浮标的机械运动转化为电能的关键环节,其效率直接影响着PA-WEC的整体性能。传统的PTO系统通常采用液压或气动系统,存在能量转换环节多、效率低、维护成本高等问题。而PMLSM作为一种直接驱动发电机,具有结构简单、体积小、效率高、可靠性高等优点,能够有效地克服传统PTO系统的不足,因此被广泛应用于PA-WEC的取力器设计。
然而,波浪的随机性和波动性给PMLSM在PA-WEC中的应用带来了诸多挑战。例如,不规则的波浪会导致PMLSM的运动速度和加速度频繁变化,从而影响发电机的输出功率和电能质量。因此,深入研究PMLSM在PA-WEC中的建模、设计与性能分析,对于提高PA-WEC的能量转换效率和经济性至关重要。
2. PA-WEC与PMLSM PTO系统建模
2.1 PA-WEC建模
PA-WEC的建模通常包括水动力模型和运动模型两部分。
-
水动力模型: 水动力模型描述了浮标与波浪之间的相互作用。常用的水动力模型包括线性势流理论和非线性时域模型。线性势流理论基于假设波浪为小振幅波,忽略了粘性效应和非线性效应,计算简便,适用于初步设计和参数优化。非线性时域模型则考虑了波浪的非线性特性,能够更准确地描述浮标与波浪之间的相互作用,但计算复杂度较高。
-
运动模型: 运动模型描述了浮标在波浪作用下的运动规律。根据牛顿第二定律,可以建立浮标的运动方程:
scss
(m + A(ω)) * a(t) + B(ω) * v(t) + K * x(t) = F_wave(t) - F_PTO(t)其中,m为浮标质量,*A(ω)*为附加质量,*B(ω)*为阻尼系数,K为回复力系数,*a(t)*为加速度,*v(t)*为速度,*x(t)*为位移,*F_wave(t)*为波浪力,*F_PTO(t)*为PTO系统的作用力。
2.2 PMLSM PTO系统建模
PMLSM的建模通常包括磁场模型和电路模型两部分。
-
磁场模型: 磁场模型描述了PMLSM内部的磁场分布。常用的磁场模型包括解析模型和有限元模型。解析模型基于简化假设,计算简便,适用于快速设计和参数优化。有限元模型则能够更准确地描述PMLSM内部的磁场分布,但计算复杂度较高。
-
电路模型: 电路模型描述了PMLSM的电气特性。根据电磁感应定律和基尔霍夫定律,可以建立PMLSM的电路方程:
ini
V = RI + L(dI/dt) + E其中,V为电压,R为电阻,I为电流,L为电感,E为反电动势。反电动势E与PMLSM的运动速度成正比,反映了机械能向电能的转换。
2.3 PA-WEC与PMLSM PTO系统耦合建模
将PA-WEC的水动力模型和运动模型与PMLSM的磁场模型和电路模型进行耦合,可以得到PA-WEC与PMLSM PTO系统的整体模型。该模型能够全面地描述PA-WEC的能量转换过程,并为PMLSM的设计和优化提供依据。耦合的关键在于PTO力 F_PTO(t) 与发电机电磁力的相互关联,需要进行协调控制以实现最佳的能量捕获和转换效率。
3. PMLSM PTO系统设计分析
3.1 PMLSM结构设计
PMLSM的结构设计直接影响着其性能。常见的PMLSM结构包括平面式和管式两种。平面式PMLSM结构简单,易于制造,适用于低功率应用。管式PMLSM则具有更高的推力和更好的磁路性能,适用于高功率应用。在PA-WEC中,通常根据所需的功率等级和运动行程来选择合适的PMLSM结构。
3.2 PMLSM参数设计
PMLSM的参数设计包括定子绕组设计、永磁体设计和铁心设计等。
-
定子绕组设计: 定子绕组设计影响着PMLSM的输出电压和电流。需要根据电网电压和电流要求,选择合适的绕组匝数、导体截面积和连接方式。
-
永磁体设计: 永磁体设计影响着PMLSM的推力和效率。需要根据功率密度和成本要求,选择合适的永磁体材料和尺寸。常用的永磁体材料包括钕铁硼(NdFeB)和铁氧体。
-
铁心设计: 铁心设计影响着PMLSM的磁路性能。需要选择合适的铁心材料和结构,以降低铁损和提高磁导率。常用的铁心材料包括硅钢片。
3.3 PMLSM控制策略
PMLSM的控制策略对于提高PA-WEC的能量转换效率至关重要。常用的控制策略包括最大功率点跟踪(Maximum Power Point Tracking, MPPT)控制和力控制。
-
MPPT控制: MPPT控制通过调节PMLSM的运行状态,使其始终工作在最大功率点附近,从而最大限度地捕获波浪能。
-
力控制: 力控制通过调节PMLSM的电磁力,控制浮标的运动,使其与波浪发生共振,从而提高能量捕获效率。
4. PMLSM PTO系统性能分析
4.1 波动环境下的性能分析
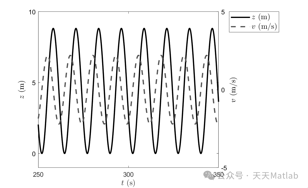
波浪的随机性和波动性给PMLSM在PA-WEC中的应用带来了诸多挑战。例如,不规则的波浪会导致PMLSM的运动速度和加速度频繁变化,从而影响发电机的输出功率和电能质量。因此,需要研究PMLSM在不同波况下的性能表现,例如规则波、不规则波和极端波。
-
规则波: 规则波是指具有固定频率和振幅的波浪。通过分析PMLSM在规则波作用下的性能,可以了解其基本性能和特性。
-
不规则波: 不规则波是指频率和振幅随机变化的波浪。通过分析PMLSM在不规则波作用下的性能,可以了解其在真实海况下的性能表现。
-
极端波: 极端波是指振幅远大于平均波浪的波浪。通过分析PMLSM在极端波作用下的性能,可以了解其抗风险能力和安全性。
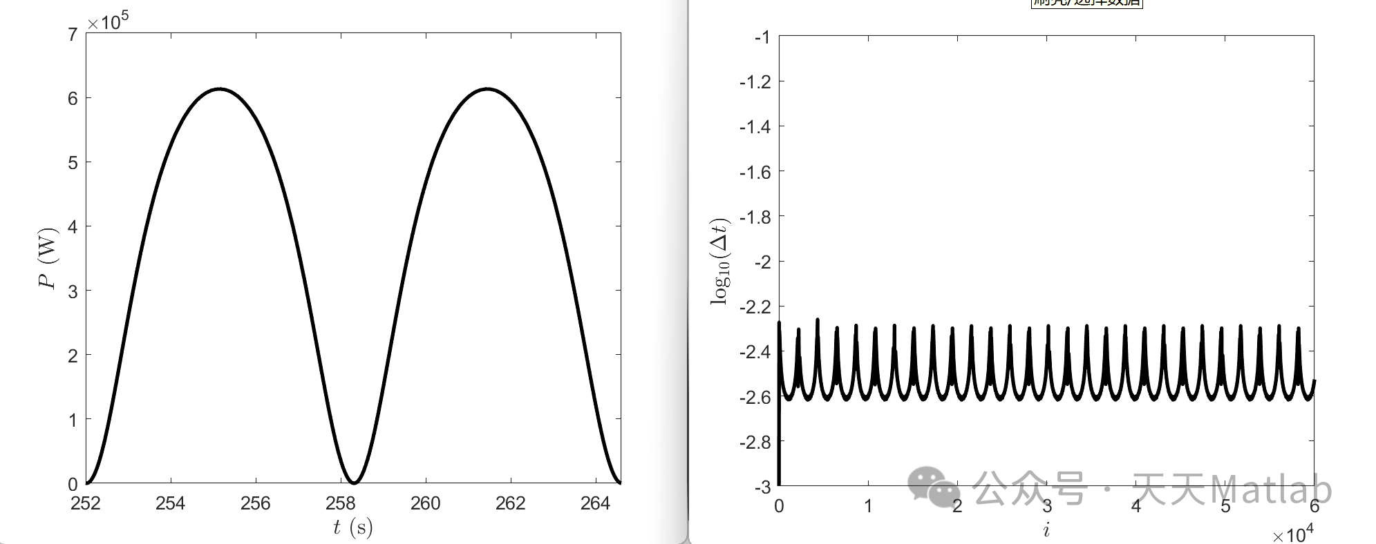
⛳️ 运行结果





🔗 参考文献
📣 部分代码
🎈 部分理论引用网络文献,若有侵权联系博主删除
👇 关注我领取海量matlab电子书和数学建模资料
🏆团队擅长辅导定制多种科研领域MATLAB仿真,助力科研梦:
🌈 各类智能优化算法改进及应用
生产调度、经济调度、装配线调度、充电优化、车间调度、发车优化、水库调度、三维装箱、物流选址、货位优化、公交排班优化、充电桩布局优化、车间布局优化、集装箱船配载优化、水泵组合优化、解医疗资源分配优化、设施布局优化、可视域基站和无人机选址优化、背包问题、 风电场布局、时隙分配优化、 最佳分布式发电单元分配、多阶段管道维修、 工厂-中心-需求点三级选址问题、 应急生活物质配送中心选址、 基站选址、 道路灯柱布置、 枢纽节点部署、 输电线路台风监测装置、 集装箱调度、 机组优化、 投资优化组合、云服务器组合优化、 天线线性阵列分布优化、CVRP问题、VRPPD问题、多中心VRP问题、多层网络的VRP问题、多中心多车型的VRP问题、 动态VRP问题、双层车辆路径规划(2E-VRP)、充电车辆路径规划(EVRP)、油电混合车辆路径规划、混合流水车间问题、 订单拆分调度问题、 公交车的调度排班优化问题、航班摆渡车辆调度问题、选址路径规划问题、港口调度、港口岸桥调度、停机位分配、机场航班调度、泄漏源定位
🌈 机器学习和深度学习时序、回归、分类、聚类和降维
2.1 bp时序、回归预测和分类
2.2 ENS声神经网络时序、回归预测和分类
2.3 SVM/CNN-SVM/LSSVM/RVM支持向量机系列时序、回归预测和分类
2.4 CNN|TCN|GCN卷积神经网络系列时序、回归预测和分类
2.5 ELM/KELM/RELM/DELM极限学习机系列时序、回归预测和分类
2.6 GRU/Bi-GRU/CNN-GRU/CNN-BiGRU门控神经网络时序、回归预测和分类
2.7 ELMAN递归神经网络时序、回归\预测和分类
2.8 LSTM/BiLSTM/CNN-LSTM/CNN-BiLSTM/长短记忆神经网络系列时序、回归预测和分类
2.9 RBF径向基神经网络时序、回归预测和分类
2.10 DBN深度置信网络时序、回归预测和分类
2.11 FNN模糊神经网络时序、回归预测
2.12 RF随机森林时序、回归预测和分类
2.13 BLS宽度学习时序、回归预测和分类
2.14 PNN脉冲神经网络分类
2.15 模糊小波神经网络预测和分类
2.16 时序、回归预测和分类
2.17 时序、回归预测预测和分类
2.18 XGBOOST集成学习时序、回归预测预测和分类
2.19 Transform各类组合时序、回归预测预测和分类
方向涵盖风电预测、光伏预测、电池寿命预测、辐射源识别、交通流预测、负荷预测、股价预测、PM2.5浓度预测、电池健康状态预测、用电量预测、水体光学参数反演、NLOS信号识别、地铁停车精准预测、变压器故障诊断
🌈图像处理方面
图像识别、图像分割、图像检测、图像隐藏、图像配准、图像拼接、图像融合、图像增强、图像压缩感知
🌈 路径规划方面
旅行商问题(TSP)、车辆路径问题(VRP、MVRP、CVRP、VRPTW等)、无人机三维路径规划、无人机协同、无人机编队、机器人路径规划、栅格地图路径规划、多式联运运输问题、 充电车辆路径规划(EVRP)、 双层车辆路径规划(2E-VRP)、 油电混合车辆路径规划、 船舶航迹规划、 全路径规划规划、 仓储巡逻
🌈 无人机应用方面
无人机路径规划、无人机控制、无人机编队、无人机协同、无人机任务分配、无人机安全通信轨迹在线优化、车辆协同无人机路径规划
🌈 通信方面
传感器部署优化、通信协议优化、路由优化、目标定位优化、Dv-Hop定位优化、Leach协议优化、WSN覆盖优化、组播优化、RSSI定位优化、水声通信、通信上传下载分配
🌈 信号处理方面
信号识别、信号加密、信号去噪、信号增强、雷达信号处理、信号水印嵌入提取、肌电信号、脑电信号、信号配时优化、心电信号、DOA估计、编码译码、变分模态分解、管道泄漏、滤波器、数字信号处理+传输+分析+去噪、数字信号调制、误码率、信号估计、DTMF、信号检测
🌈电力系统方面
微电网优化、无功优化、配电网重构、储能配置、有序充电、MPPT优化、家庭用电
🌈 元胞自动机方面
交通流 人群疏散 病毒扩散 晶体生长 金属腐蚀
🌈 雷达方面
卡尔曼滤波跟踪、航迹关联、航迹融合、SOC估计、阵列优化、NLOS识别
🌈 车间调度
零等待流水车间调度问题NWFSP 、 置换流水车间调度问题PFSP、 混合流水车间调度问题HFSP 、零空闲流水车间调度问题NIFSP、分布式置换流水车间调度问题 DPFSP、阻塞流水车间调度问题BFSP
👇
298

被折叠的 条评论
为什么被折叠?



