一、理论基础1、基本灰狼优化算法(GWO)
1、灰狼优化算法
(1)种群初始化
(2)种群搜索
(3)种群位置更新
2、改进的灰狼优化算法(IGWO)
(1)基于对数函数的非线性调整收敛因子a aa
从图1可以清晰地看出,与原线性递减策略相比,该非线性过渡参数在更多的迭代中比较着重于局部开发。迭代中后期,所提出的非线性参数的值较小,这表明与全局勘探相比,它有助于长时间(约为最大迭代次数的62%)进行局部开发。该图还显示,在搜索过程中, 所提出的非线性参数策略仅在约38%的迭代中有利于全局勘探。
(2)基于记忆指导的位置更新方程
受粒子群算法的启发,让个体同时从全局最优位置和个体历史最优位置学习,基于此,提出了一种新的改进位置更新规则,计算如下:
(3)IGWO算法流程图
IGWO算法流程图如图2所示。
图2 IGWO算法流程图
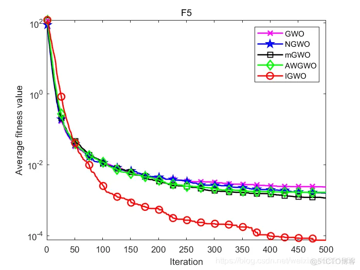
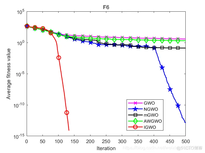
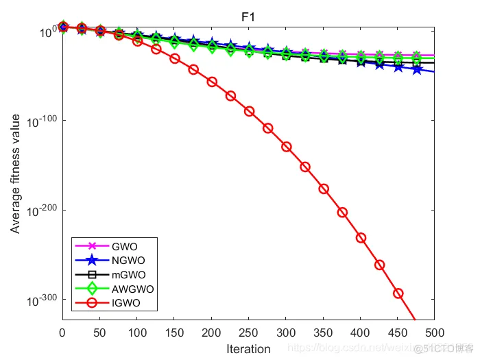
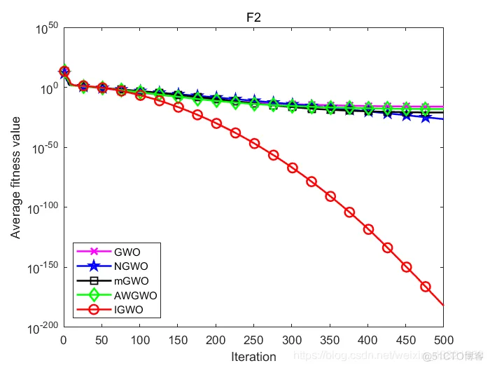
二、实验对比和分析将IGWO算法分别与GWO、NGWO[1]、mGWO[2]、AWGWO[3]进行对比,以表1中的测试函数为例。种群规模N = 30 N=30N=30,最大迭代次数m a x _ i t e r = 500 max\_iter=500max_iter=500,每个算法独立运行30次。
表1 测试函数信息
结果显示如下:
8个标准测试函数的实验结果表明,所提出的IGWO算法无论在求解精度还是收敛速度指标上均要优于基本GWO、NGWO、mGWO和AWGWO算法。
三、参考文献[1] Wen Long. Grey Wolf Optimizer based on Nonlinear Adjustment Control Parameter[P]. Proceedings of the 2016 4th International Conference on Sensors, Mechatronics and Automation (ICSMA 2016),2016.
[2] Nitin Mittal,Urvinder Singh,Balwinder Singh Sohi. Modified Grey Wolf Optimizer for Global Engineering Optimization[J]. Applied Computational Intelligence and Soft Computing,2016,2016:
[3] Luis Rodríguez,Oscar Castillo,José Soria,Patricia Melin,Fevrier Valdez,Claudia I. Gonzalez,Gabriela E. Martinez,Jesus Soto. A fuzzy hierarchical operator in the grey wolf optimizer algorithm[J]. Applied Soft Computing,2017,57:
[4] Wen Long,Jianjun Jiao,Ximing Liang,Mingzhu Tang. Inspired grey wolf optimizer for solving large-scale function optimization proble ms[J]. Applied Mathematical Modelling,2018,60:
757

被折叠的 条评论
为什么被折叠?



