💥💥💞💞欢迎来到Matlab仿真科研站博客之家💞💞💥💥
✅博主简介:热爱科研的Matlab仿真开发者,修心和技术同步精进,Matlab项目合作可私信。
🍎个人主页:Matlab仿真科研站博客之家
🏆代码获取方式:
💥扫描文章底部QQ二维码💥
⛳️座右铭:行百里者,半于九十;路漫漫其修远兮,吾将上下而求索。

⛄更多Matlab神经网络预测与分类(仿真科研站版)仿真内容点击👇
Matlab神经网络预测与分类(仿真科研站版)
⛄一、模糊神经网络水质预测简介
1 模糊神经网络
从整体结构框架上看, 两个输入一个输出, 它像一个神经网络;从功能上讲, 是一个模糊系统。模糊神经网络结构如图1所示, 此网络结构共分为5个层次, 它是一个由神经网络构造实现的模糊推理系统, 以模糊系统的工作过程为依据来设计的。首先, 输入层输入两个信号;其次模糊化层, 模糊化输入的信号;再次是模糊规则计算层;然后是模糊决策层, 将满足条件的量分类并且将模糊的量转化为清晰结果;最后第五层作为输出层, 输出最后的运算结果。
2 水质评价问题
目前为止水质监控评测的方法有很多, 可是都存在局限性。我国一直以营养物、无机物、微生物和重金属离子作为主要水质参数。传统的生物或者化学水质评价方法, 只能得出是否污染以及污水主要的成分, 不能将水质真正所存在的潜在问题反映出来。在线自动连续监测的水质污染综合系统, 与连续自动监测大气污染的系统相比, 水质监测要困难得多。当然, 这些问题都是可以解决的, 但是找到合适的水质评价方法尤为重要。

图2 模糊神经网络水质评价的一般步骤
2.1 水质评价的主要参数
水质评价中常用的参数有六种: (1) 常规水质参数; (2) 氧平衡参数; (3) 重金属参数; (4) 有机污染物参数; (5) 无机污染物参数, ; (6) 生物参数。
2.2 水质评价的一般步骤
模糊神经网络水质评价算法实验的主要步骤如图2所示, 主要分为六个步骤。
3 基于T-S模糊神经网络建模
3.1 T-S模糊模型
T-S模糊系统不仅能够自动更新模糊子集的隶属函数, 而且能不断更新隶属度函数。属于一种不断成长的自学习系统。该模型, T-S模糊系统定义在下面的“if-then”规则中。根据规则Ri中, 模糊推理如下:

其中, Aij为模糊系统的模糊集;pij (j=1, 2, …, k) 为模糊系统参数;yi为根据模糊规则得到的输出, 输入部分 (即if部分) 是模糊的, 输出部分 (即then部分) 是确定的, 该模糊推理表示输出为输入的线性组合。
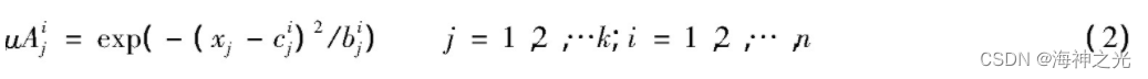
假设输入量x=[x1, x2, …xk], 首先依照模糊规则计算每个输入变量, xj的隶属度。

其中, cji, bji分别为隶属度函数的中心和宽度;k为输入参数;n为模糊子集数。将各个隶属度进行模糊计算, 应用模糊算子作为连乘算子。

根据模糊计算结果计算模糊模型的输出值yi。

3.2 T-S模糊神经网络
T-S模糊神经网络包括四层结构:输入层、模糊化层、模糊规则计算层和输出层。模糊神经网络的学习算法如下:
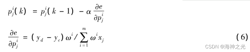
(1) 误差计算

式中, yd是网络预期输出;yc网络实际输出;e预期输出和实际输出的误差。
(2) 系数修正

式中, pji为神经网络系数, α为网络学习效率, xj为网络输入参数;ωi为输入参数隶属度连乘积。
(3) 参数修正

式中, cji, bji分别为隶属度函数的中心和宽度。
3.3 模型的建立
模糊神经网络将训练样本的维数作为基础前提, 构建模糊神经网络基础要素:输入、输出节点数、模糊隶属度函数个数。最后选定输入数据为6个 (包括氨氮含量、溶解氧含量、化学需氧量、高锰酸盐指数、总磷和总氮六项指标) , 将水质等级划分为五类, 用数字1—5表示水质等级I—V类, 所以输出的节点数字为1, 形成了6-12-1的网络结构。
⛄二、部分源代码
%---------------------------------------------%
%
%---------------------------------------------%
%% 清空环境变量
clc
clear
%% 参数初始化
xite=0.001;
alfa=0.05;
%网络节点
I=6; %输入节点数
M=12; %隐含节点数
O=1; %输出节点数
%系数初始化
p0=0.3ones(M,1);p0_1=p0;p0_2=p0_1;
p1=0.3ones(M,1);p1_1=p1;p1_2=p1_1;
p2=0.3ones(M,1);p2_1=p2;p2_2=p2_1;
p3=0.3ones(M,1);p3_1=p3;p3_2=p3_1;
p4=0.3ones(M,1);p4_1=p4;p4_2=p4_1;
p5=0.3ones(M,1);p5_1=p5;p5_2=p5_1;
p6=0.3*ones(M,1);p6_1=p6;p6_2=p6_1;
%参数初始化
c=1+rands(M,I);c_1=c;c_2=c_1;
b=1+rands(M,I);b_1=b;b_2=b_1;
maxgen=100; %进化次数
%网络测试数据,并对数据归一化
load data1 input_train output_train input_test output_test
%选连样本输入输出数据归一化
[inputn,inputps]=mapminmax(input_train);
[outputn,outputps]=mapminmax(output_train);
[n,m]=size(input_train);
%% 网络训练
%循环开始,进化网络
for iii=1:maxgen
iii
for k=1:m
x=inputn(:,k);
%输出层结算
for i=1:I
for j=1:M
u(i,j)=exp(-(x(i)-c(j,i))^2/b(j,i));
end
end
⛄三、运行结果



⛄四、matlab版本及参考文献
1 matlab版本
2014a
2 参考文献
[1]康彩丽.模糊神经网络在水质评价中的应用研究[J].忻州师范学院学报. 2019,35(02)
3 备注
简介此部分摘自互联网,仅供参考,若侵权,联系删除
🍅 仿真咨询
1 各类智能优化算法改进及应用
1.1 PID优化
1.2 VMD优化
1.3 配电网重构
1.4 三维装箱
1.5 微电网优化
1.6 优化布局
1.7 优化参数
1.8 优化成本
1.9 优化充电
1.10 优化调度
1.11 优化电价
1.12 优化发车
1.13 优化分配
1.14 优化覆盖
1.15 优化控制
1.16 优化库存
1.17 优化路由
1.18 优化设计
1.19 优化位置
1.20 优化吸波
1.21 优化选址
1.22 优化运行
1.23 优化指派
1.24 优化组合
1.25 车间调度
1.26 生产调度
1.27 经济调度
1.28 装配线调度
1.29 水库调度
1.30 货位优化
1.31 公交排班优化
1.32 集装箱船配载优化
1.33 水泵组合优化
1.34 医疗资源分配优化
1.35 可视域基站和无人机选址优化
2 机器学习和深度学习分类与预测
2.1 机器学习和深度学习分类
2.1.1 BiLSTM双向长短时记忆神经网络分类
2.1.2 BP神经网络分类
2.1.3 CNN卷积神经网络分类
2.1.4 DBN深度置信网络分类
2.1.5 DELM深度学习极限学习机分类
2.1.6 ELMAN递归神经网络分类
2.1.7 ELM极限学习机分类
2.1.8 GRNN广义回归神经网络分类
2.1.9 GRU门控循环单元分类
2.1.10 KELM混合核极限学习机分类
2.1.11 KNN分类
2.1.12 LSSVM最小二乘法支持向量机分类
2.1.13 LSTM长短时记忆网络分类
2.1.14 MLP全连接神经网络分类
2.1.15 PNN概率神经网络分类
2.1.16 RELM鲁棒极限学习机分类
2.1.17 RF随机森林分类
2.1.18 SCN随机配置网络模型分类
2.1.19 SVM支持向量机分类
2.1.20 XGBOOST分类
2.2 机器学习和深度学习预测
2.2.1 ANFIS自适应模糊神经网络预测
2.2.2 ANN人工神经网络预测
2.2.3 ARMA自回归滑动平均模型预测
2.2.4 BF粒子滤波预测
2.2.5 BiLSTM双向长短时记忆神经网络预测
2.2.6 BLS宽度学习神经网络预测
2.2.7 BP神经网络预测
2.2.8 CNN卷积神经网络预测
2.2.9 DBN深度置信网络预测
2.2.10 DELM深度学习极限学习机预测
2.2.11 DKELM回归预测
2.2.12 ELMAN递归神经网络预测
2.2.13 ELM极限学习机预测
2.2.14 ESN回声状态网络预测
2.2.15 FNN前馈神经网络预测
2.2.16 GMDN预测
2.2.17 GMM高斯混合模型预测
2.2.18 GRNN广义回归神经网络预测
2.2.19 GRU门控循环单元预测
2.2.20 KELM混合核极限学习机预测
2.2.21 LMS最小均方算法预测
2.2.22 LSSVM最小二乘法支持向量机预测
2.2.23 LSTM长短时记忆网络预测
2.2.24 RBF径向基函数神经网络预测
2.2.25 RELM鲁棒极限学习机预测
2.2.26 RF随机森林预测
2.2.27 RNN循环神经网络预测
2.2.28 RVM相关向量机预测
2.2.29 SVM支持向量机预测
2.2.30 TCN时间卷积神经网络预测
2.2.31 XGBoost回归预测
2.2.32 模糊预测
2.2.33 奇异谱分析方法SSA时间序列预测
2.3 机器学习和深度学习实际应用预测
CPI指数预测、PM2.5浓度预测、SOC预测、财务预警预测、产量预测、车位预测、虫情预测、带钢厚度预测、电池健康状态预测、电力负荷预测、房价预测、腐蚀率预测、故障诊断预测、光伏功率预测、轨迹预测、航空发动机寿命预测、汇率预测、混凝土强度预测、加热炉炉温预测、价格预测、交通流预测、居民消费指数预测、空气质量预测、粮食温度预测、气温预测、清水值预测、失业率预测、用电量预测、运输量预测、制造业采购经理指数预测
3 图像处理方面
3.1 图像边缘检测
3.2 图像处理
3.3 图像分割
3.4 图像分类
3.5 图像跟踪
3.6 图像加密解密
3.7 图像检索
3.8 图像配准
3.9 图像拼接
3.10 图像评价
3.11 图像去噪
3.12 图像融合
3.13 图像识别
3.13.1 表盘识别
3.13.2 车道线识别
3.13.3 车辆计数
3.13.4 车辆识别
3.13.5 车牌识别
3.13.6 车位识别
3.13.7 尺寸检测
3.13.8 答题卡识别
3.13.9 电器识别
3.13.10 跌倒检测
3.13.11 动物识别
3.13.12 二维码识别
3.13.13 发票识别
3.13.14 服装识别
3.13.15 汉字识别
3.13.16 红绿灯识别
3.13.17 虹膜识别
3.13.18 火灾检测
3.13.19 疾病分类
3.13.20 交通标志识别
3.13.21 卡号识别
3.13.22 口罩识别
3.13.23 裂缝识别
3.13.24 目标跟踪
3.13.25 疲劳检测
3.13.26 旗帜识别
3.13.27 青草识别
3.13.28 人脸识别
3.13.29 人民币识别
3.13.30 身份证识别
3.13.31 手势识别
3.13.32 数字字母识别
3.13.33 手掌识别
3.13.34 树叶识别
3.13.35 水果识别
3.13.36 条形码识别
3.13.37 温度检测
3.13.38 瑕疵检测
3.13.39 芯片检测
3.13.40 行为识别
3.13.41 验证码识别
3.13.42 药材识别
3.13.43 硬币识别
3.13.44 邮政编码识别
3.13.45 纸牌识别
3.13.46 指纹识别
3.14 图像修复
3.15 图像压缩
3.16 图像隐写
3.17 图像增强
3.18 图像重建
4 路径规划方面
4.1 旅行商问题(TSP)
4.1.1 单旅行商问题(TSP)
4.1.2 多旅行商问题(MTSP)
4.2 车辆路径问题(VRP)
4.2.1 车辆路径问题(VRP)
4.2.2 带容量的车辆路径问题(CVRP)
4.2.3 带容量+时间窗+距离车辆路径问题(DCTWVRP)
4.2.4 带容量+距离车辆路径问题(DCVRP)
4.2.5 带距离的车辆路径问题(DVRP)
4.2.6 带充电站+时间窗车辆路径问题(ETWVRP)
4.2.3 带多种容量的车辆路径问题(MCVRP)
4.2.4 带距离的多车辆路径问题(MDVRP)
4.2.5 同时取送货的车辆路径问题(SDVRP)
4.2.6 带时间窗+容量的车辆路径问题(TWCVRP)
4.2.6 带时间窗的车辆路径问题(TWVRP)
4.3 多式联运运输问题
4.4 机器人路径规划
4.4.1 避障路径规划
4.4.2 迷宫路径规划
4.4.3 栅格地图路径规划
4.5 配送路径规划
4.5.1 冷链配送路径规划
4.5.2 外卖配送路径规划
4.5.3 口罩配送路径规划
4.5.4 药品配送路径规划
4.5.5 含充电站配送路径规划
4.5.6 连锁超市配送路径规划
4.5.7 车辆协同无人机配送路径规划
4.6 无人机路径规划
4.6.1 飞行器仿真
4.6.2 无人机飞行作业
4.6.3 无人机轨迹跟踪
4.6.4 无人机集群仿真
4.6.5 无人机三维路径规划
4.6.6 无人机编队
4.6.7 无人机协同任务
4.6.8 无人机任务分配
5 语音处理
5.1 语音情感识别
5.2 声源定位
5.3 特征提取
5.4 语音编码
5.5 语音处理
5.6 语音分离
5.7 语音分析
5.8 语音合成
5.9 语音加密
5.10 语音去噪
5.11 语音识别
5.12 语音压缩
5.13 语音隐藏
6 元胞自动机方面
6.1 元胞自动机病毒仿真
6.2 元胞自动机城市规划
6.3 元胞自动机交通流
6.4 元胞自动机气体
6.5 元胞自动机人员疏散
6.6 元胞自动机森林火灾
6.7 元胞自动机生命游戏
7 信号处理方面
7.1 故障信号诊断分析
7.1.1 齿轮损伤识别
7.1.2 异步电机转子断条故障诊断
7.1.3 滚动体内外圈故障诊断分析
7.1.4 电机故障诊断分析
7.1.5 轴承故障诊断分析
7.1.6 齿轮箱故障诊断分析
7.1.7 三相逆变器故障诊断分析
7.1.8 柴油机故障诊断
7.2 雷达通信
7.2.1 FMCW仿真
7.2.2 GPS抗干扰
7.2.3 雷达LFM
7.2.4 雷达MIMO
7.2.5 雷达测角
7.2.6 雷达成像
7.2.7 雷达定位
7.2.8 雷达回波
7.2.9 雷达检测
7.2.10 雷达数字信号处理
7.2.11 雷达通信
7.2.12 雷达相控阵
7.2.13 雷达信号分析
7.2.14 雷达预警
7.2.15 雷达脉冲压缩
7.2.16 天线方向图
7.2.17 雷达杂波仿真
7.3 生物电信号
7.3.1 肌电信号EMG
7.3.2 脑电信号EEG
7.3.3 心电信号ECG
7.3.4 心脏仿真
7.4 通信系统
7.4.1 DOA估计
7.4.2 LEACH协议
7.4.3 编码译码
7.4.4 变分模态分解
7.4.5 超宽带仿真
7.4.6 多径衰落仿真
7.4.7 蜂窝网络
7.4.8 管道泄漏
7.4.9 经验模态分解
7.4.10 滤波器设计
7.4.11 模拟信号传输
7.4.12 模拟信号调制
7.4.13 数字基带信号
7.4.14 数字信道
7.4.15 数字信号处理
7.4.16 数字信号传输
7.4.17 数字信号去噪
7.4.18 水声通信
7.4.19 通信仿真
7.4.20 无线传输
7.4.21 误码率仿真
7.4.22 现代通信
7.4.23 信道估计
7.4.24 信号检测
7.4.25 信号融合
7.4.26 信号识别
7.4.27 压缩感知
7.4.28 噪声仿真
7.4.29 噪声干扰
7.5 无人机通信
7.6 无线传感器定位及布局方面
7.6.1 WSN定位
7.6.2 高度预估
7.6.3 滤波跟踪
7.6.4 目标定位
7.6.4.1 Dv-Hop定位
7.6.4.2 RSSI定位
7.6.4.3 智能算法优化定位
7.6.5 组合导航
8 电力系统方面
微电网优化、无功优化、配电网重构、储能配置
256

被折叠的 条评论
为什么被折叠?



