✅作者简介:热爱科研的Matlab仿真开发者,擅长数据处理、建模仿真、程序设计、完整代码获取、论文复现及科研仿真。
🍎 往期回顾关注个人主页:Matlab科研工作室
🍊个人信条:格物致知,完整Matlab代码及仿真咨询内容私信。
🔥 内容介绍
一、复现基础:明确研究边界与核心要素
在开展复现工作前,需先厘清原论文的研究范围、核心假设与数据来源,避免因边界模糊导致复现偏差,这是确保复现有效性的前提。
1. 研究边界界定
- 能源系统构成:明确原论文中可再生能源类型(如风电、光伏单独或联合发电)、电动汽车(EV)类型(私家车、出租车、公交车等,需区分充电需求特性)、储能设备配置(是否含蓄电池、飞轮等辅助储能)及电网接入层级(配电网、微电网或区域电网)。例如,若原论文聚焦 “10kV 配电网下风电 - 光伏 - 私家车 EV 协同调度”,复现需严格匹配该系统架构,不可随意增减能源类型。
- 调度周期与目标:确认调度时间尺度(通常为日调度,时间步长 5-15 分钟)、核心优化目标(如最小化系统运行成本、最大化可再生能源消纳率、降低碳排放等,需明确多目标时的权重分配逻辑)及约束条件(如 EV 充电功率限制、电网潮流约束、可再生能源出力波动范围等)。
2. 核心数据准备
- 可再生能源数据:获取与原论文一致的风光出力数据,优先采用公开数据集(如美国 NREL 可再生能源数据库、中国国家能源局风电 / 光伏示范项目数据),若原论文使用实测数据,需通过文献引用或联系作者获取近似数据(如同一区域、同容量机组的出力曲线),数据需包含出力预测值与实际值(用于模拟预测误差)。
- 电动汽车数据:涵盖 EV 保有量、充电需求特性(起始充电时间、充电时长、充电功率、电池容量、日行驶里程等),可参考《中国电动汽车充电基础设施发展年度报告》或区域交通调查数据,若原论文构建 EV 充电负荷模型(如蒙特卡洛模拟生成充电需求),需复现该模型的参数设置(如私家车起始充电时间服从 18:00-22:00 的正态分布)。
- 电网与成本数据:配电网参数(线路阻抗、节点电压约束、变压器容量)、电价机制(分时电价、峰谷价差,需匹配原论文所在地区的电价政策)、可再生能源弃电成本、EV 用户充电补贴成本等,确保成本参数的时间维度与调度周期一致。
二、核心模型复现:从数学建模到公式推导
协同调度的核心是构建 “源 - 荷 - 储” 协同优化模型,需精准复现原论文的目标函数、约束条件及数学表达,这是复现的核心环节。


三、算法实现:协同调度策略的代码落地
原论文通常采用智能优化算法(如粒子群优化 PSO、遗传算法 GA、交替方向乘子法 ADMM)求解协同调度模型,复现需完成算法代码编写与参数调试,确保求解结果与原论文趋势一致。
1. 算法选择与适配
- 单目标调度:若原论文采用 PSO 求解 “最小化运行成本”,需复现 PSO 的核心参数(粒子数量、迭代次数、惯性权重、学习因子),例如设置粒子数 50-100、迭代次数 100-200、惯性权重从 0.9 线性递减至 0.4。
- 多目标调度:若采用非支配排序遗传算法(NSGA-II),需复现快速非支配排序、拥挤度计算、精英保留策略,确保生成的 Pareto 最优解与原论文分布一致。
- 分布式调度:若原论文聚焦 “电网 - 聚合商 - EV 用户” 三层分布式调度,需采用 ADMM 或一致性算法,复现各主体的局部优化目标与信息交互逻辑(如聚合商向电网上报 EV 充电负荷预测,电网向聚合商下发功率约束)。
2. 参数调试与敏感性分析
- 参数匹配:若原论文中 PSO 迭代 100 次后收敛,复现中需调整粒子数、学习因子等参数,避免迭代次数过多或过早收敛。例如,若收敛速度过慢,可增大学习因子 c1、c2;若陷入局部最优,可增大惯性权重初始值。
- 敏感性分析复现:原论文通常会分析关键参数(如 EV 保有量、风光装机容量、电价差)对调度结果的影响,复现需设置相同的参数变化范围(如 EV 保有量从 100 辆增至 500 辆,步长 100 辆),绘制与原论文一致的趋势图(如 EV 保有量增加→可再生能源消纳率先升后稳)。
四、论文复现优化:提升复现质量与学术价值
完成基础复现后,可在原论文基础上进行小幅优化,增强复现论文的创新性与实用性,这也是硕士论文复现的常见要求。
1. 模型优化方向
- 新增约束:在原模型基础上增加更贴合实际的约束,如 EV 电池衰减成本(考虑充电次数对电池寿命的影响)、电网碳排放约束(响应 “双碳” 目标),对比优化前后的调度结果差异。
- 算法改进:若原论文采用传统 PSO,可引入改进算法(如自适应权重 PSO、混沌 PSO),验证改进算法在收敛速度、寻优精度上的提升,例如 “改进 PSO 比传统 PSO 收敛速度提升 20%,最优成本降低 3%”。
2. 数据与场景更新
- 数据时效性:若原论文数据为 5 年前(如 2018 年风光出力数据),可替换为最新公开数据(如 2023 年数据),分析数据时效性对调度结果的影响,例如 “最新光伏出力数据因效率提升,消纳率比原数据高 5%”。
- 场景拓展:新增原论文未涉及的场景,如 “含储能的协同调度场景”“EV 参与电网调频的调度场景”,丰富复现论文的研究内容。
3. 论文结构优化
复现论文需包含 “复现背景与意义”“原模型梳理”“复现过程与方法”“复现结果与分析”“优化与拓展” 五个核心章节,其中 “复现过程与方法” 需详细描述数据获取方式、代码框架、参数调试过程,确保复现的可重复性
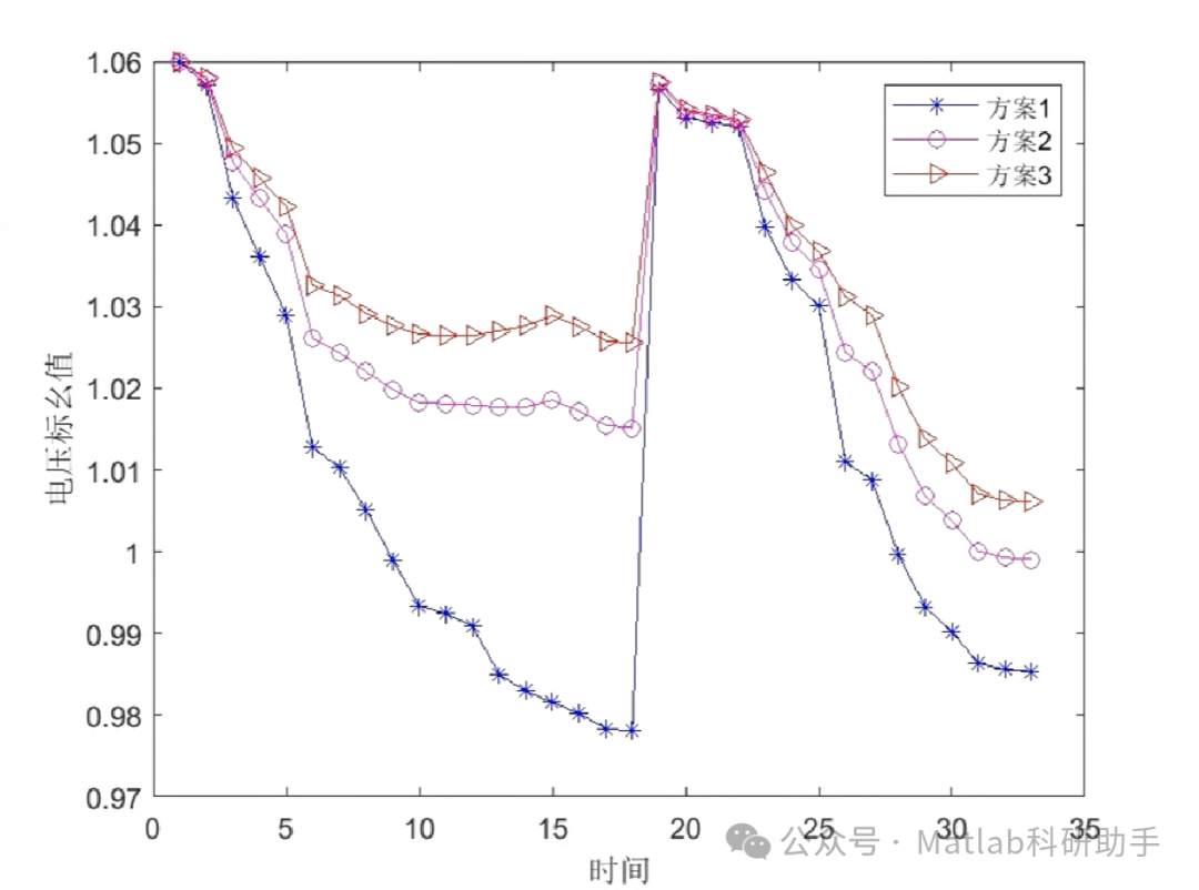
⛳️ 运行结果




🔗 参考文献
[1] 于大洋.可再生能源发电并网协调策略的研究[D].山东大学,2010.DOI:10.7666/d.y1794515.
[2] 李雪亮,吴奎华,冯亮,等.电动汽车动力电池与风电协同利用的优化调度策略研究[J].电子测量与仪器学报, 2017, 31(4):9.DOI:10.13382/j.jemi.2017.04.002.
[3] 彭智乐.新型配电网中风光电动汽车协同调度研究[D].广东工业大学,2016.DOI:10.7666/d.Y3041792.
📣 部分代码
🎈 部分理论引用网络文献,若有侵权联系博主删除
👇 关注我领取海量matlab电子书和数学建模资料
🏆团队擅长辅导定制多种科研领域MATLAB仿真,助力科研梦:
🌈 各类智能优化算法改进及应用
生产调度、经济调度、装配线调度、充电优化、车间调度、发车优化、水库调度、三维装箱、物流选址、货位优化、公交排班优化、充电桩布局优化、车间布局优化、集装箱船配载优化、水泵组合优化、解医疗资源分配优化、设施布局优化、可视域基站和无人机选址优化、背包问题、 风电场布局、时隙分配优化、 最佳分布式发电单元分配、多阶段管道维修、 工厂-中心-需求点三级选址问题、 应急生活物质配送中心选址、 基站选址、 道路灯柱布置、 枢纽节点部署、 输电线路台风监测装置、 集装箱调度、 机组优化、 投资优化组合、云服务器组合优化、 天线线性阵列分布优化、CVRP问题、VRPPD问题、多中心VRP问题、多层网络的VRP问题、多中心多车型的VRP问题、 动态VRP问题、双层车辆路径规划(2E-VRP)、充电车辆路径规划(EVRP)、油电混合车辆路径规划、混合流水车间问题、 订单拆分调度问题、 公交车的调度排班优化问题、航班摆渡车辆调度问题、选址路径规划问题、港口调度、港口岸桥调度、停机位分配、机场航班调度、泄漏源定位
🌈 机器学习和深度学习时序、回归、分类、聚类和降维
2.1 bp时序、回归预测和分类
2.2 ENS声神经网络时序、回归预测和分类
2.3 SVM/CNN-SVM/LSSVM/RVM支持向量机系列时序、回归预测和分类
2.4 CNN|TCN|GCN卷积神经网络系列时序、回归预测和分类
2.5 ELM/KELM/RELM/DELM极限学习机系列时序、回归预测和分类
2.6 GRU/Bi-GRU/CNN-GRU/CNN-BiGRU门控神经网络时序、回归预测和分类
2.7 ELMAN递归神经网络时序、回归\预测和分类
2.8 LSTM/BiLSTM/CNN-LSTM/CNN-BiLSTM/长短记忆神经网络系列时序、回归预测和分类
2.9 RBF径向基神经网络时序、回归预测和分类
2.10 DBN深度置信网络时序、回归预测和分类
2.11 FNN模糊神经网络时序、回归预测
2.12 RF随机森林时序、回归预测和分类
2.13 BLS宽度学习时序、回归预测和分类
2.14 PNN脉冲神经网络分类
2.15 模糊小波神经网络预测和分类
2.16 时序、回归预测和分类
2.17 时序、回归预测预测和分类
2.18 XGBOOST集成学习时序、回归预测预测和分类
2.19 Transform各类组合时序、回归预测预测和分类
方向涵盖风电预测、光伏预测、电池寿命预测、辐射源识别、交通流预测、负荷预测、股价预测、PM2.5浓度预测、电池健康状态预测、用电量预测、水体光学参数反演、NLOS信号识别、地铁停车精准预测、变压器故障诊断
🌈图像处理方面
图像识别、图像分割、图像检测、图像隐藏、图像配准、图像拼接、图像融合、图像增强、图像压缩感知
🌈 路径规划方面
旅行商问题(TSP)、车辆路径问题(VRP、MVRP、CVRP、VRPTW等)、无人机三维路径规划、无人机协同、无人机编队、机器人路径规划、栅格地图路径规划、多式联运运输问题、 充电车辆路径规划(EVRP)、 双层车辆路径规划(2E-VRP)、 油电混合车辆路径规划、 船舶航迹规划、 全路径规划规划、 仓储巡逻
🌈 无人机应用方面
无人机路径规划、无人机控制、无人机编队、无人机协同、无人机任务分配、无人机安全通信轨迹在线优化、车辆协同无人机路径规划
🌈 通信方面
传感器部署优化、通信协议优化、路由优化、目标定位优化、Dv-Hop定位优化、Leach协议优化、WSN覆盖优化、组播优化、RSSI定位优化、水声通信、通信上传下载分配
🌈 信号处理方面
信号识别、信号加密、信号去噪、信号增强、雷达信号处理、信号水印嵌入提取、肌电信号、脑电信号、信号配时优化、心电信号、DOA估计、编码译码、变分模态分解、管道泄漏、滤波器、数字信号处理+传输+分析+去噪、数字信号调制、误码率、信号估计、DTMF、信号检测
🌈电力系统方面
微电网优化、无功优化、配电网重构、储能配置、有序充电、MPPT优化、家庭用电
🌈 元胞自动机方面
交通流 人群疏散 病毒扩散 晶体生长 金属腐蚀
🌈 雷达方面
卡尔曼滤波跟踪、航迹关联、航迹融合、SOC估计、阵列优化、NLOS识别
🌈 车间调度
零等待流水车间调度问题NWFSP 、 置换流水车间调度问题PFSP、 混合流水车间调度问题HFSP 、零空闲流水车间调度问题NIFSP、分布式置换流水车间调度问题 DPFSP、阻塞流水车间调度问题BFSP
👇

被折叠的 条评论
为什么被折叠?



