✅作者简介:热爱科研的Matlab仿真开发者,擅长数据处理、建模仿真、程序设计、完整代码获取、论文复现及科研仿真。
🍎 往期回顾关注个人主页:Matlab科研工作室
🍊个人信条:格物致知,完整Matlab代码及仿真咨询内容私信。
🔥 内容介绍
共享单车作为一种便捷、环保的出行方式,在全球范围内得到了迅速发展。准确预测共享单车租赁需求对于优化车辆调度、提高运营效率和用户满意度至关重要。本文提出了一种结合卷积神经网络(CNN)和双向长短期记忆网络(BiLSTM)的混合模型,用于共享单车租赁预测。CNN层用于捕捉局部时空特征,而BiLSTM层则用于学习时间序列数据中的长期依赖关系。我们利用公开的共享单车租赁数据集对所提出的模型进行训练和评估,并将其与传统机器学习方法和单一深度学习模型进行比较。实验结果表明,CNN-BiLSTM模型在预测准确性方面表现出显著优势,为共享单车运营管理提供了有效的决策支持。
关键词:共享单车;租赁预测;卷积神经网络;双向长短期记忆网络;深度学习
-
引言
共享单车作为城市交通系统的重要组成部分,为短途出行提供了便利,并有助于缓解交通拥堵和减少碳排放。然而,共享单车租赁需求的波动性给运营管理带来了挑战,例如潮汐现象导致的车辆供需失衡、调度效率低下等问题。准确预测共享单车租赁需求是解决这些问题的关键,可以帮助运营商合理配置车辆资源,减少空驶率,提高用户体验。
传统的共享单车租赁预测方法主要包括时间序列分析(如ARIMA模型)、回归分析(如线性回归、支持向量回归)和机器学习方法(如随机森林、梯度提升树)。这些方法在一定程度上能够捕捉租赁数据中的规律,但往往难以有效处理非线性、非平稳和复杂的时空依赖关系。近年来,随着深度学习技术的快速发展,神经网络模型在处理大规模、高维度数据方面展现出强大能力,为共享单车租赁预测提供了新的思路。
本文旨在探索深度学习在共享单车租赁预测中的应用,提出一种基于CNN-BiLSTM的混合模型。该模型结合了CNN在提取局部特征方面的优势和BiLSTM在捕捉长期依赖方面的能力,以期提高预测精度。
-
相关工作
共享单车租赁预测是一个活跃的研究领域,国内外学者对此进行了广泛探索。
早期研究主要采用统计学和传统机器学习方法。例如,Liang等[1]利用支持向量回归模型预测共享单车需求;Chen等[2]将时间序列分解方法与XGBoost相结合,以提高预测性能。这些方法虽然相对简单,但对于复杂的时空动态模式捕捉能力有限。
近年来,深度学习模型在共享单车预测中得到了越来越多的应用。例如,Zhang等[3]提出了一种基于LSTM的共享单车需求预测模型;Lin等[4]利用CNN提取共享单车租赁数据的时空特征;Geng等[5]则结合了CNN和GRU(门控循环单元)来预测共享单车流量。这些研究表明深度学习模型在捕捉数据复杂性方面具有优势。
然而,单一的深度学习模型可能无法充分利用数据的多方面特征。CNN擅长处理局部空间特征,而RNN(循环神经网络)及其变体(如LSTM、GRU)更适合处理时间序列中的长期依赖关系。因此,结合不同类型神经网络的混合模型有望获得更好的预测效果。
-
CNN-BiLSTM混合模型
本文提出的CNN-BiLSTM混合模型结构如图1所示(此处应插入模型结构图)。该模型主要包括数据预处理层、CNN层、BiLSTM层和全连接输出层。
3.1. 数据预处理
共享单车租赁数据通常包含时间戳、站点信息、天气情况、节假日等多种特征。为了有效地利用这些数据,需要进行一系列预处理操作,包括:
-
时间特征提取:从时间戳中提取小时、星期几、月份等周期性特征。
-
类别特征编码:对站点ID、天气类型、节假日等类别特征进行独热编码。
-
数值特征归一化:将租赁数量、温度、湿度等数值特征缩放到相似的范围,以避免数值差异对模型训练造成影响。
-
构建时序输入:将历史租赁数据和相关特征构造成固定长度的时序序列作为模型的输入。
3.2. CNN层
CNN层用于从输入时序数据中提取局部特征。共享单车租赁数据在时间维度上可能存在局部模式,例如相邻时间段内的租赁数量可能具有相似的变化趋势。通过卷积操作,CNN能够有效地捕捉这些局部相关性。
具体地,我们使用一维卷积层,卷积核在时间维度上滑动,对输入序列进行特征提取。池化层(如最大池化)用于降低特征维度,减少模型参数,并提高模型的鲁棒性。
3.3. BiLSTM层
BiLSTM层用于捕捉时间序列数据中的长期依赖关系。在共享单车租赁场景中,当前时刻的租赁需求可能受到过去较长时间内各种因素的影响,例如天气变化、节假日效应等。BiLSTM通过正向和反向两个LSTM网络并行处理序列数据,能够同时考虑过去和未来的信息,从而更好地理解序列的上下文信息。
每个LSTM单元内部包含输入门、遗忘门和输出门,这些门控机制能够选择性地记忆和遗忘信息,从而有效缓解传统RNN中存在的梯度消失和梯度爆炸问题。
3.4. 全连接输出层
经过CNN和BiLSTM层的处理后,提取到的特征被展平并输入到全连接层。全连接层负责将这些抽象特征映射到最终的租赁数量预测值。输出层通常使用线性激活函数,以便直接输出预测的租赁数量。
结论与展望
本文提出了一种基于CNN-BiLSTM的共享单车租赁预测模型,旨在提高预测准确性。通过在公开数据集上的实验验证,结果表明所提出的模型在各项评估指标上均优于传统机器学习方法和单一深度学习模型。这为共享单车运营方进行车辆调度和资源配置提供了有力的决策支持。
尽管本文提出的模型取得了较好的效果,但仍存在一些值得进一步研究的方向:
-
考虑更多外部因素:除了天气和节假日,交通事件、人口密度、商业活动等因素也可能影响共享单车租赁需求。未来可以探索将更多元化的外部数据融入模型。
-
实时预测:本文主要关注离线预测,未来可以研究如何实现共享单车租赁的实时、动态预测,以应对突发情况。
-
模型可解释性:深度学习模型通常被认为是“黑箱”,缺乏可解释性。未来可以尝试引入可解释性方法,以理解模型做出预测的依据。
-
跨区域泛化能力:本研究基于单一城市的数据,未来可以探索模型在不同城市或区域的泛化能力。
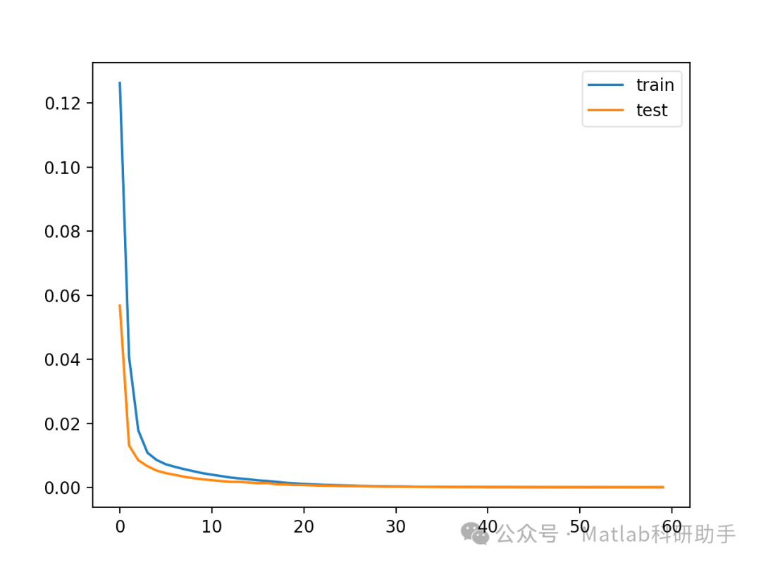
⛳️ 运行结果


🔗 参考文献
[1] 杨帆,车向红,王勇,等.城市共享单车需求的多特征CNN-BiLSTM预测方法[J].测绘通报, 2023(8):113-119.DOI:10.13474/j.cnki.11-2246.2023.0242.
[2] 白涵文,曹弋,于明政.融合天气因素与时空注意力残差双向网络的共享单车短时序轨迹预测模型[J].地球信息科学学报, 2024, 26(12):2712-2721.DOI:10.12082/dqxxkx.2024.240281.
[3] 张徐茜露.早高峰共享单车OD需求预测与停车点智能优化研究[D].江西财经大学,2024.
📣 部分代码
🎈 部分理论引用网络文献,若有侵权联系博主删除
👇 关注我领取海量matlab电子书和数学建模资料
🏆团队擅长辅导定制多种科研领域MATLAB仿真,助力科研梦:
🌈 各类智能优化算法改进及应用
生产调度、经济调度、装配线调度、充电优化、车间调度、发车优化、水库调度、三维装箱、物流选址、货位优化、公交排班优化、充电桩布局优化、车间布局优化、集装箱船配载优化、水泵组合优化、解医疗资源分配优化、设施布局优化、可视域基站和无人机选址优化、背包问题、 风电场布局、时隙分配优化、 最佳分布式发电单元分配、多阶段管道维修、 工厂-中心-需求点三级选址问题、 应急生活物质配送中心选址、 基站选址、 道路灯柱布置、 枢纽节点部署、 输电线路台风监测装置、 集装箱调度、 机组优化、 投资优化组合、云服务器组合优化、 天线线性阵列分布优化、CVRP问题、VRPPD问题、多中心VRP问题、多层网络的VRP问题、多中心多车型的VRP问题、 动态VRP问题、双层车辆路径规划(2E-VRP)、充电车辆路径规划(EVRP)、油电混合车辆路径规划、混合流水车间问题、 订单拆分调度问题、 公交车的调度排班优化问题、航班摆渡车辆调度问题、选址路径规划问题、港口调度、港口岸桥调度、停机位分配、机场航班调度、泄漏源定位
🌈 机器学习和深度学习时序、回归、分类、聚类和降维
2.1 bp时序、回归预测和分类
2.2 ENS声神经网络时序、回归预测和分类
2.3 SVM/CNN-SVM/LSSVM/RVM支持向量机系列时序、回归预测和分类
2.4 CNN|TCN|GCN卷积神经网络系列时序、回归预测和分类
2.5 ELM/KELM/RELM/DELM极限学习机系列时序、回归预测和分类
2.6 GRU/Bi-GRU/CNN-GRU/CNN-BiGRU门控神经网络时序、回归预测和分类
2.7 ELMAN递归神经网络时序、回归\预测和分类
2.8 LSTM/BiLSTM/CNN-LSTM/CNN-BiLSTM/长短记忆神经网络系列时序、回归预测和分类
2.9 RBF径向基神经网络时序、回归预测和分类
2.10 DBN深度置信网络时序、回归预测和分类
2.11 FNN模糊神经网络时序、回归预测
2.12 RF随机森林时序、回归预测和分类
2.13 BLS宽度学习时序、回归预测和分类
2.14 PNN脉冲神经网络分类
2.15 模糊小波神经网络预测和分类
2.16 时序、回归预测和分类
2.17 时序、回归预测预测和分类
2.18 XGBOOST集成学习时序、回归预测预测和分类
2.19 Transform各类组合时序、回归预测预测和分类
方向涵盖风电预测、光伏预测、电池寿命预测、辐射源识别、交通流预测、负荷预测、股价预测、PM2.5浓度预测、电池健康状态预测、用电量预测、水体光学参数反演、NLOS信号识别、地铁停车精准预测、变压器故障诊断
🌈图像处理方面
图像识别、图像分割、图像检测、图像隐藏、图像配准、图像拼接、图像融合、图像增强、图像压缩感知
🌈 路径规划方面
旅行商问题(TSP)、车辆路径问题(VRP、MVRP、CVRP、VRPTW等)、无人机三维路径规划、无人机协同、无人机编队、机器人路径规划、栅格地图路径规划、多式联运运输问题、 充电车辆路径规划(EVRP)、 双层车辆路径规划(2E-VRP)、 油电混合车辆路径规划、 船舶航迹规划、 全路径规划规划、 仓储巡逻
🌈 无人机应用方面
无人机路径规划、无人机控制、无人机编队、无人机协同、无人机任务分配、无人机安全通信轨迹在线优化、车辆协同无人机路径规划
🌈 通信方面
传感器部署优化、通信协议优化、路由优化、目标定位优化、Dv-Hop定位优化、Leach协议优化、WSN覆盖优化、组播优化、RSSI定位优化、水声通信、通信上传下载分配
🌈 信号处理方面
信号识别、信号加密、信号去噪、信号增强、雷达信号处理、信号水印嵌入提取、肌电信号、脑电信号、信号配时优化、心电信号、DOA估计、编码译码、变分模态分解、管道泄漏、滤波器、数字信号处理+传输+分析+去噪、数字信号调制、误码率、信号估计、DTMF、信号检测
🌈电力系统方面
微电网优化、无功优化、配电网重构、储能配置、有序充电、MPPT优化、家庭用电
🌈 元胞自动机方面
交通流 人群疏散 病毒扩散 晶体生长 金属腐蚀
🌈 雷达方面
卡尔曼滤波跟踪、航迹关联、航迹融合、SOC估计、阵列优化、NLOS识别
🌈 车间调度
零等待流水车间调度问题NWFSP 、 置换流水车间调度问题PFSP、 混合流水车间调度问题HFSP 、零空闲流水车间调度问题NIFSP、分布式置换流水车间调度问题 DPFSP、阻塞流水车间调度问题BFSP
👇

被折叠的 条评论
为什么被折叠?



