例1.1 某机床厂生产甲、乙两种机床,每台销售后的利润分别为4千元与3千元。生产甲机床需用A、B机器加工,加工时间分别为每台2小时和1小时;生产乙机床需用A、B、C三种机器加工,加工时间为每台各一小时。若每天
可用于加工的机器时数分别为A机器10小时、B机器8小时和C机器7小时,问该厂应生产甲、乙机床各几台,才能使总利润最大?
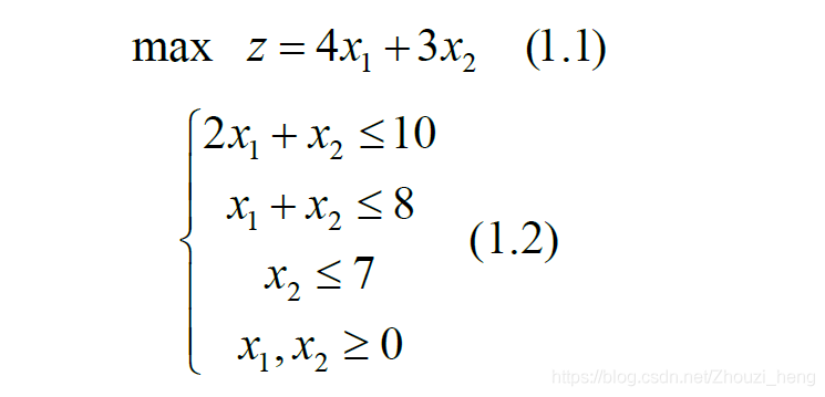
上述问题的数学模型:设该厂生产x1台甲机床和x2台乙机床时总利润z最大,则x1 ,x2应满足:

变量x1,x2称之为决策变量,(1.1) 式被称为问题的目标函数,(1.2)中的几个不等式是问题的约束条件,记为s.t.(即subject to)。
目标函数及约束条件均为线性函数,故被称为线性规划问题。
线性规划问题是在-一组线性约束条件的限制下,求一线性目标函数最大或最小的问题。在解决实际问题时,把问题归结成-一个线性规划数学模型是很重要的一步,往往也是很困难的一步,模型建立得是否恰当,直接影响到求解。而选适当的决策变量,是建立有效模型的关键之一。
目标规划和线性规划
目标规划是为了解决多个目标问题而产生的一种数学规划方法,是由线性规划发展演变而来。
目标规划和线性规划主要有以下区别:
线性规划是在一组线性约束条件下,寻求某一单一目标的最优值,只有一个目标函数,但在实际问题中往往要考虑多个目标。
目标规划模型中的目标函数可以有多个目标可以设置,多个目标之间可能是互相矛盾、相互排斥的,每个目标分别带有不同的优先级和权系数;线性规划立足于满足所有约束条件的可行解,而目标规划是在条件下找到满意解,并不一定要满足所有约束,更能运用于实际生活中。
文章讨论了一个机床厂如何通过线性规划来确定生产甲、乙两种机床的数量以最大化总利润。线性规划涉及目标函数(总利润)和约束条件(机器加工时间限制),并强调了正确构建数学模型对解决问题的重要性。此外,对比了线性规划与目标规划,指出目标规划允许处理多个可能冲突的目标和优先级。

被折叠的 条评论
为什么被折叠?



