💥💥💥💥💥💥💥💥💞💞💞💞💞💞💞💞💞Matlab武动乾坤博客之家💞💞💞💞💞💞💞💞💞💥💥💥💥💥💥💥💥
🚀🚀🚀🚀🚀🚀🚀🚀🚀🚀🚤🚤🚤🚤🚤🚤🚤🚤🚤🚤🚤🚤🚤🚤🚤🚤🚤🚤🚤🚤🚀🚀🚀🚀🚀🚀🚀🚀🚀🚀

🔊博主简介:985研究生,Matlab领域科研开发者;
🚅座右铭:行百里者,半于九十。
🏆代码获取方式:
优快云 Matlab武动乾坤—代码获取方式
更多Matlab信号处理仿真内容点击👇
①Matlab信号处理(进阶版)
⛳️关注优快云 Matlab武动乾坤,更多资源等你来!!
⛄一、航天器姿态角+角速度+控制力矩变化(无故障状态)简介
1 航天器
航天器平台是由卫星服务(或称为保障)系统组成,可以支持一种或几种有效载荷的组合体。航天器平台可以为有效载荷正常工作提供机械支持、工作电源、姿态轨道控制、状态监测、热环境保障、管理控制等服务。
航天器平台一般包含姿态与轨道控制分系统、结构与机构分系统、热控分系统、电源分系统、测控与数管分系统等。
姿态与轨道控制分系统(简称姿轨控分系统)的功能是保持或改变航天器运行中的姿态和轨道。每个航天器为了完成其特殊使命,有其特定的标称轨道与期望的姿态。
但是由于发射误差,需要姿轨控分系统调整姿态或进行轨道机动;在轨运行时由于外部环境干扰力/力矩的作用,以及内部机电部件干扰力/力矩的作用,航天器将偏离标称轨道和期望姿态,姿轨控分系统则负责姿态和轨道保持。
结构与机构分系统包括结构分系统和机构分系统。结构分系统的功能是为航天器提供整体构形,为航天器上设备提供支撑,并在运载火箭发射过程中(一般称为主动段)及在轨机动时,支撑整个航天器,承受和传递载荷,保证整个航天器具有足够的强度和刚度。
机构分系统使航天器或其某个部分完成规定运动,并使它们处于要求的工作状态或工作位置。一般机构分系统都包括展开与锁定机构(如太阳翼与天线等的展开与锁定机构)、分离与缩进机构(如卫星与运载火箭之间的连接与分离使用的包带等)、驱动机构(如太阳翼对日定向驱动机构和天线展开或跟踪使用的驱动机构等)、交会对接机构、舱门锁紧与解锁机构等。
热控分系统的任务是在航天器飞行过程中,控制航天器上仪器设备和星体本身结构的温度,保证其在轨运行各阶段的工作温度都处在要求的范围内,从而保证航天器在轨正常工作。电源分系统(或称为供配电分系统)是为卫星在轨道工作寿命周期内(包括光照期间和地影期间)提供电能。
由于航天器在轨工作寿命较长,大多数采用能够长期供电的电源。电源分系统要有发电、储能、分配、母线电压调节和蓄电池充放电控制等功能,有的还要求配置变换和稳定多种电压的二次电源。
测控与数管分系统的功能是在其他分系统及地面配合下实现对卫星遥测、遥控、轨道跟踪与测量、数管管理的功能。遥测的任务是测量卫星有关系统的仪器设备的工作状态、工程参数、环境参数和有关数据等。
遥控就是由地面发送指令控制有关系统的仪器设备的工作状态和向卫星注入数据或程序等。
轨道跟踪与测量是通过地面发射无线电波经星上的应答机返回,根据无线电波传输特性测量卫星运动速度、距离和角度,最后由地面计算出卫星轨道参数。数据管理是利用星上计算机对星上数据进行综合管理。
2 航天器姿态角+角速度+控制力矩变化(无故障状态)原理
航天器的姿态角、角速度和控制力矩变化是航天器的关键控制参数。姿态角是指航天器相对于某个参考系的方向余弦矩阵,可以用欧拉角或四元数来表示。角速度是指航天器在三个姿态角方向上的旋转速度,也可以用角速度向量来表示。控制力矩是指通过推进器等控制装置施加到航天器上的力矩,其大小和方向可以根据需要进行调整,以实现航天器姿态的控制。
在航天器的姿态控制中,控制力矩的变化可以通过推进器等控制装置来实现。根据航天器所处的空间环境和任务需求,可以采用不同的控制策略和方法,例如比例积分微分(PID)控制、自适应控制、最优控制等。
姿态角和角速度的变化可以通过运动学方程来描述。对于刚体航天器,其姿态运动方程可以表示为:
I * w_dot + w × I * w = M
其中,I为航天器的惯性矩阵,w为角速度向量,M为施加到航天器上的总力矩。这个方程描述了姿态角和角速度的变化规律。
⛄二、部分源代码
clear;
clc;
format long
rand(‘state’,0);
miu=3.986e14;
deg2rad=pi/180;
%%------------------------------------------执行器和敏感器参数
Tupper=1; %推力上限
Tlower=-1; %推力下限
%%-------------------------------------------
I=[12.49 0.06 0.06;
0.06 13.85 0.06;
0.06 0.06 15.75;];
Tstep=0.1;
step=300;
Re=6371e3; %地球半径
Height=200e3; %轨道高度
w0=sqrt(miu/(Re+Height)^3); %轨道角速度
w_io=[0 -w0 0]'; %轨道坐标系相对于惯性系的初始角速度
attitude_r=[0 0 0 0 0 0 ]‘*deg2rad;
x(:,1)=[ 3 4 5 0.1 0.1 0.1]’*deg2rad;
attitude0=x(:,1);
phi(1)=attitude0(1);
theta(1)=attitude0(2);
psai(1)=attitude0(3);
dot_phi(1)=attitude0(4);
dot_theta(1)=attitude0(5);
dot_psai(1)=attitude0(6);
Cob(:,:,1)=[ cos(theta(1))*cos(psai(1))-sin(phi(1))*sin(theta(1))*sin(psai(1)) cos(theta(1))*sin(psai(1))+sin(phi(1))*sin(theta(1))*cos(psai(1)) -cos(phi(1))*sin(theta(1));
-cos(phi(1))*sin(psai(1)) cos(phi(1))*cos(psai(1)) sin(phi(1));
sin(theta(1))*cos(psai(1))+sin(phi(1))*cos(theta(1))*sin(psai(1)) sin(theta(1))*sin(psai(1))-sin(phi(1))*cos(theta(1))*cos(psai(1)) cos(phi(1))*cos(theta(1));];
w_ob(:,1)=[-dot_psai(1)*sin(theta(1))*cos(phi(1))+dot_phi(1)*cos(theta(1));
dot_psai(1)*sin(phi(1))+dot_theta(1);
dot_psai(1)*cos(theta(1))*cos(phi(1))+dot_phi(1)*sin(theta(1))] ;
w_ib(:,1)=Cobw_io+w_ob(:,1);
H_aom(:,1)=Iw_ib(:,1);
error_a=0.01/57.3;
error_w=0.01/57.3;
ww=[error_a^2 error_a^2 error_a^2 error_w^2 error_w^2 error_w^2];
R=diag(ww);
r(:,1)=[1 0 0 0 1 0 0 0 1]';
y(:,1)=x(:,1);
xk=attitude0;
pak=eye(9);
pxk=eye(6);
M=ones(6,9);
Kr =[ -31.8920 3.4354 -12.3737 -40.3101 2.5565 -8.3189;
-2.6160 -30.2464 10.9594 -0.8283 -41.5054 8.4730;
10.4997 -10.0078 -28.7448 6.3435 -6.4272 -44.5035;];
ES(:,1)=[phi(1);theta(1)];
psaide(1)=psai(1);
GA(:,1)=[dot_phi(1);dot_theta(1);dot_psai(1)];
for i=1:step
u(:,i)=Kr*([ES(:,i);psaide(i);GA(:,i)]-attitude_r) ;
utemp=u(:,i);
for itemp=1:3
if utemp(itemp)<Tlower
utemp(itemp)=Tlower;
elseif utemp(itemp)>Tupper
utemp(itemp)=Tupper;
end
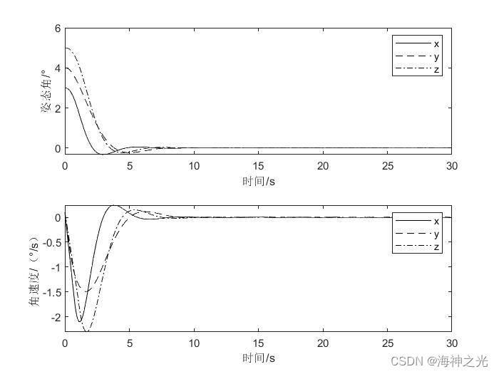
⛄三、运行结果


⛄四、matlab版本及参考文献
1 matlab版本
2014a
2 参考文献
[1]叶小威,沈锋.航天器轨道动力学模型及瞄准提前量误差分析[J].中国激光,2017.
3 备注
简介此部分摘自互联网,仅供参考,若侵权,联系删除
🍅 仿真咨询
1 各类智能优化算法改进及应用
1.1 PID优化
1.2 VMD优化
1.3 配电网重构
1.4 三维装箱
1.5 微电网优化
1.6 优化布局
1.7 优化参数
1.8 优化成本
1.9 优化充电
1.10 优化调度
1.11 优化电价
1.12 优化发车
1.13 优化分配
1.14 优化覆盖
1.15 优化控制
1.16 优化库存
1.17 优化路由
1.18 优化设计
1.19 优化位置
1.20 优化吸波
1.21 优化选址
1.22 优化运行
1.23 优化指派
1.24 优化组合
1.25 车间调度
1.26 生产调度
1.27 经济调度
1.28 装配线调度
1.29 水库调度
1.30 货位优化
1.31 公交排班优化
1.32 集装箱船配载优化
1.33 水泵组合优化
1.34 医疗资源分配优化
1.35 可视域基站和无人机选址优化
2 机器学习和深度学习分类与预测
2.1 机器学习和深度学习分类
2.1.1 BiLSTM双向长短时记忆神经网络分类
2.1.2 BP神经网络分类
2.1.3 CNN卷积神经网络分类
2.1.4 DBN深度置信网络分类
2.1.5 DELM深度学习极限学习机分类
2.1.6 ELMAN递归神经网络分类
2.1.7 ELM极限学习机分类
2.1.8 GRNN广义回归神经网络分类
2.1.9 GRU门控循环单元分类
2.1.10 KELM混合核极限学习机分类
2.1.11 KNN分类
2.1.12 LSSVM最小二乘法支持向量机分类
2.1.13 LSTM长短时记忆网络分类
2.1.14 MLP全连接神经网络分类
2.1.15 PNN概率神经网络分类
2.1.16 RELM鲁棒极限学习机分类
2.1.17 RF随机森林分类
2.1.18 SCN随机配置网络模型分类
2.1.19 SVM支持向量机分类
2.1.20 XGBOOST分类
2.2 机器学习和深度学习预测
2.2.1 ANFIS自适应模糊神经网络预测
2.2.2 ANN人工神经网络预测
2.2.3 ARMA自回归滑动平均模型预测
2.2.4 BF粒子滤波预测
2.2.5 BiLSTM双向长短时记忆神经网络预测
2.2.6 BLS宽度学习神经网络预测
2.2.7 BP神经网络预测
2.2.8 CNN卷积神经网络预测
2.2.9 DBN深度置信网络预测
2.2.10 DELM深度学习极限学习机预测
2.2.11 DKELM回归预测
2.2.12 ELMAN递归神经网络预测
2.2.13 ELM极限学习机预测
2.2.14 ESN回声状态网络预测
2.2.15 FNN前馈神经网络预测
2.2.16 GMDN预测
2.2.17 GMM高斯混合模型预测
2.2.18 GRNN广义回归神经网络预测
2.2.19 GRU门控循环单元预测
2.2.20 KELM混合核极限学习机预测
2.2.21 LMS最小均方算法预测
2.2.22 LSSVM最小二乘法支持向量机预测
2.2.23 LSTM长短时记忆网络预测
2.2.24 RBF径向基函数神经网络预测
2.2.25 RELM鲁棒极限学习机预测
2.2.26 RF随机森林预测
2.2.27 RNN循环神经网络预测
2.2.28 RVM相关向量机预测
2.2.29 SVM支持向量机预测
2.2.30 TCN时间卷积神经网络预测
2.2.31 XGBoost回归预测
2.2.32 模糊预测
2.2.33 奇异谱分析方法SSA时间序列预测
2.3 机器学习和深度学习实际应用预测
CPI指数预测、PM2.5浓度预测、SOC预测、财务预警预测、产量预测、车位预测、虫情预测、带钢厚度预测、电池健康状态预测、电力负荷预测、房价预测、腐蚀率预测、故障诊断预测、光伏功率预测、轨迹预测、航空发动机寿命预测、汇率预测、混凝土强度预测、加热炉炉温预测、价格预测、交通流预测、居民消费指数预测、空气质量预测、粮食温度预测、气温预测、清水值预测、失业率预测、用电量预测、运输量预测、制造业采购经理指数预测
3 图像处理方面
3.1 图像边缘检测
3.2 图像处理
3.3 图像分割
3.4 图像分类
3.5 图像跟踪
3.6 图像加密解密
3.7 图像检索
3.8 图像配准
3.9 图像拼接
3.10 图像评价
3.11 图像去噪
3.12 图像融合
3.13 图像识别
3.13.1 表盘识别
3.13.2 车道线识别
3.13.3 车辆计数
3.13.4 车辆识别
3.13.5 车牌识别
3.13.6 车位识别
3.13.7 尺寸检测
3.13.8 答题卡识别
3.13.9 电器识别
3.13.10 跌倒检测
3.13.11 动物识别
3.13.12 二维码识别
3.13.13 发票识别
3.13.14 服装识别
3.13.15 汉字识别
3.13.16 红绿灯识别
3.13.17 虹膜识别
3.13.18 火灾检测
3.13.19 疾病分类
3.13.20 交通标志识别
3.13.21 卡号识别
3.13.22 口罩识别
3.13.23 裂缝识别
3.13.24 目标跟踪
3.13.25 疲劳检测
3.13.26 旗帜识别
3.13.27 青草识别
3.13.28 人脸识别
3.13.29 人民币识别
3.13.30 身份证识别
3.13.31 手势识别
3.13.32 数字字母识别
3.13.33 手掌识别
3.13.34 树叶识别
3.13.35 水果识别
3.13.36 条形码识别
3.13.37 温度检测
3.13.38 瑕疵检测
3.13.39 芯片检测
3.13.40 行为识别
3.13.41 验证码识别
3.13.42 药材识别
3.13.43 硬币识别
3.13.44 邮政编码识别
3.13.45 纸牌识别
3.13.46 指纹识别
3.14 图像修复
3.15 图像压缩
3.16 图像隐写
3.17 图像增强
3.18 图像重建
4 路径规划方面
4.1 旅行商问题(TSP)
4.1.1 单旅行商问题(TSP)
4.1.2 多旅行商问题(MTSP)
4.2 车辆路径问题(VRP)
4.2.1 车辆路径问题(VRP)
4.2.2 带容量的车辆路径问题(CVRP)
4.2.3 带容量+时间窗+距离车辆路径问题(DCTWVRP)
4.2.4 带容量+距离车辆路径问题(DCVRP)
4.2.5 带距离的车辆路径问题(DVRP)
4.2.6 带充电站+时间窗车辆路径问题(ETWVRP)
4.2.3 带多种容量的车辆路径问题(MCVRP)
4.2.4 带距离的多车辆路径问题(MDVRP)
4.2.5 同时取送货的车辆路径问题(SDVRP)
4.2.6 带时间窗+容量的车辆路径问题(TWCVRP)
4.2.6 带时间窗的车辆路径问题(TWVRP)
4.3 多式联运运输问题
4.4 机器人路径规划
4.4.1 避障路径规划
4.4.2 迷宫路径规划
4.4.3 栅格地图路径规划
4.5 配送路径规划
4.5.1 冷链配送路径规划
4.5.2 外卖配送路径规划
4.5.3 口罩配送路径规划
4.5.4 药品配送路径规划
4.5.5 含充电站配送路径规划
4.5.6 连锁超市配送路径规划
4.5.7 车辆协同无人机配送路径规划
4.6 无人机路径规划
4.6.1 飞行器仿真
4.6.2 无人机飞行作业
4.6.3 无人机轨迹跟踪
4.6.4 无人机集群仿真
4.6.5 无人机三维路径规划
4.6.6 无人机编队
4.6.7 无人机协同任务
4.6.8 无人机任务分配
5 语音处理
5.1 语音情感识别
5.2 声源定位
5.3 特征提取
5.4 语音编码
5.5 语音处理
5.6 语音分离
5.7 语音分析
5.8 语音合成
5.9 语音加密
5.10 语音去噪
5.11 语音识别
5.12 语音压缩
5.13 语音隐藏
6 元胞自动机方面
6.1 元胞自动机病毒仿真
6.2 元胞自动机城市规划
6.3 元胞自动机交通流
6.4 元胞自动机气体
6.5 元胞自动机人员疏散
6.6 元胞自动机森林火灾
6.7 元胞自动机生命游戏
7 信号处理方面
7.1 故障信号诊断分析
7.1.1 齿轮损伤识别
7.1.2 异步电机转子断条故障诊断
7.1.3 滚动体内外圈故障诊断分析
7.1.4 电机故障诊断分析
7.1.5 轴承故障诊断分析
7.1.6 齿轮箱故障诊断分析
7.1.7 三相逆变器故障诊断分析
7.1.8 柴油机故障诊断
7.2 雷达通信
7.2.1 FMCW仿真
7.2.2 GPS抗干扰
7.2.3 雷达LFM
7.2.4 雷达MIMO
7.2.5 雷达测角
7.2.6 雷达成像
7.2.7 雷达定位
7.2.8 雷达回波
7.2.9 雷达检测
7.2.10 雷达数字信号处理
7.2.11 雷达通信
7.2.12 雷达相控阵
7.2.13 雷达信号分析
7.2.14 雷达预警
7.2.15 雷达脉冲压缩
7.2.16 天线方向图
7.2.17 雷达杂波仿真
7.3 生物电信号
7.3.1 肌电信号EMG
7.3.2 脑电信号EEG
7.3.3 心电信号ECG
7.3.4 心脏仿真
7.4 通信系统
7.4.1 DOA估计
7.4.2 LEACH协议
7.4.3 编码译码
7.4.4 变分模态分解
7.4.5 超宽带仿真
7.4.6 多径衰落仿真
7.4.7 蜂窝网络
7.4.8 管道泄漏
7.4.9 经验模态分解
7.4.10 滤波器设计
7.4.11 模拟信号传输
7.4.12 模拟信号调制
7.4.13 数字基带信号
7.4.14 数字信道
7.4.15 数字信号处理
7.4.16 数字信号传输
7.4.17 数字信号去噪
7.4.18 水声通信
7.4.19 通信仿真
7.4.20 无线传输
7.4.21 误码率仿真
7.4.22 现代通信
7.4.23 信道估计
7.4.24 信号检测
7.4.25 信号融合
7.4.26 信号识别
7.4.27 压缩感知
7.4.28 噪声仿真
7.4.29 噪声干扰
7.5 无人机通信
7.6 无线传感器定位及布局方面
7.6.1 WSN定位
7.6.2 高度预估
7.6.3 滤波跟踪
7.6.4 目标定位
7.6.4.1 Dv-Hop定位
7.6.4.2 RSSI定位
7.6.4.3 智能算法优化定位
7.6.5 组合导航
8 电力系统方面
微电网优化、无功优化、配电网重构、储能配置
Matlab在航天器姿态控制、机器学习与电力系统应用中的关键技术探讨

被折叠的 条评论
为什么被折叠?



