Basic Machine Learning Problems
● Supervised Learning: You have labelled data for computer to learn from
○ Regression
○ Classification
● Unsupervised Learning: You don’t have labelled data, but you want to find
patterns in the data
○ Clustering / Dimensionality Reduction
Linear Regression
In the simplest case, we can assume that the relationship between the features and the target is linear:
y =a + bX
In the equation above, y is the target, X is the feature, a is the intercept, and b is the weight of the feature
Using ordinary least squares method, we can estimate a and b in the equation
y = b0 + b1x1 + b2x2 + … + bnxn
This is still a linear regression model, sometimes called multiple linear regression
b0 is called the bias term, while b1 to bn are the weights of the features
Classification
● In classification, we are interested in putting each input sample into two (or more) pre-defined classes
● In other words, the target variable y is discrete
● Some common algorithms for classification:
○ Logistic regression
○ Support vector machines
○ Decision Trees
○ K-nearest-neighbour (kNN)
● Some regression tasks can be simplified to classification tasks
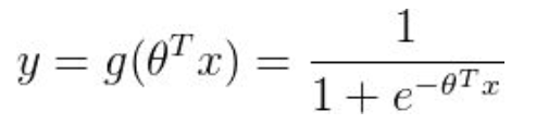
Logistic Regression
we can apply a transformation to the output of linear regression: logistic function or **sigmoid function

Its value tends to 1 if z tends to +∞, and tends to 0 if z tends to −∞
Decision Trees
● Decision trees are constructed by finding conditions to split the dataset into smaller subsets
● Decision trees can also be used to perform regression (thus the term CART:
Classification And Regression Trees)
● Decision trees are usually vulnerable to overfitting (more on this later), thus
we usually have to control the depth of a tree
Choosing ML Algorithms
Reference: Choosing ML Algorithms.
Model Complexity
● A complex model captures complex relationship between X and y, but it is also more likely to pick up noise → overfitting
● A simple model is easy to interpret, but may not be able to capture the true relationship between X and y → underfitting
Splitting Your Dataset
● It is usually advised that we have three splits of the dataset:
- training set: for training your model(s)
- validation/development set: for tuning your model’s hyperparameters
- test/holdout set: for testing the performance of your model
- imbalanced dataset:stratified sampling
- K-fold cross validation
Evaluation
● When evaluating the performance of a model, we need to have:
○ ground truths: the correct answer / the true labels of the inputs
○ metric: a measure of how good the predictions are compared to the ground truths
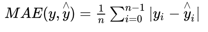
Metrics for Regression - MAE(Mean Absolute Error )

Metrics for Regression - RMSE(Root Mean Squared Error)

Metrics for Classification
○ Accuracy
○ True/False positives/negatives
○ Precision and Recall
○ Area Under the ROC Curve
Top 20 Python libraries for data science
本文探讨了监督学习(包括线性回归和分类,如 logistic 回归、SVM 和决策树)、无监督学习(如聚类和降维)以及关键算法如 KNN。讲解了模型选择、复杂度平衡和数据集划分技巧,还涵盖了常用的评估指标和Python库。
675

被折叠的 条评论
为什么被折叠?



