堆的定义
堆是一颗完全二叉树,但不是一颗二叉排序树,堆只要求父节点是最大节点(大顶堆)或者是最小节点(小顶堆),并不对左右孩子的大小做要求。
堆为什么能用来排序
以大顶堆为例子,每一次都对二叉树构建一个大顶堆,那么根节点一定是所有节点的最大值,把根节点输出(一般是将根节点和最后一个节点交换)。此时剩下的节点不再符合大顶堆的定义,需要再做调整,当再一次满足大顶堆的时候,继续输出原数组中的第二大元素。直到所有的元素都输出,原先无序的数组就能按从大到小排序起来。
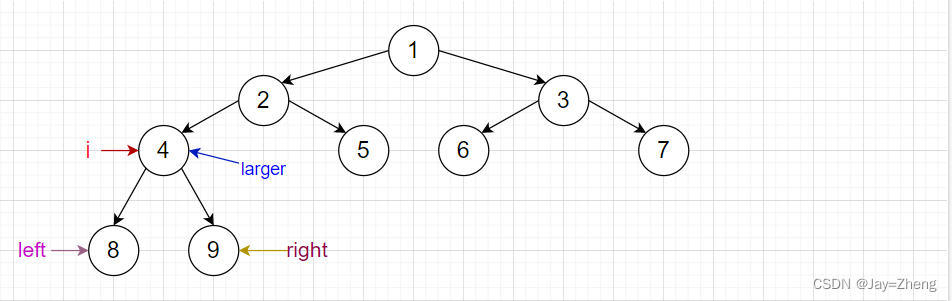
图解大顶堆
以一颗完全二叉树为例,构建一个大顶堆。
原始时刻,i是二叉树中最后一个父母节点,i往后的节点都是叶子节点。larger始终指向一颗以i为根节点的子树中的最大节点,left是每次调整子树时larger指向节点的左孩子,right是每次调整子树时larger指向节点的右孩子。
建堆。自顶向上调整,自右向左,开始构建大顶堆
1。以i为根节点的节点4比左孩子节点8要小,所以larger指向节点8
2。节点4还有右孩子节点9未比较,所以拿larger指向的节点8与i的右孩子节点9相比较,节点9更大,所以larger指向节点9。
3。既然节点9就是最大节点,按照大顶堆的定义,将节点9和节点4交换即可。此时larger指向的节点已经是叶子节点,所以不需要再往下调整成堆,父节点i后退一步,指向上一位父母节点3。
4。按照步骤1步骤3对节点3为根节点的子树继续做大顶堆调整。最大节点7和节点3交换。此后指针i回退到上一个父母节点2。按照步骤1步骤3,节点2和最大节点9做交换。
5。步骤4中节点2和节点9交换后,larger指向的节点还有子树,所以不确定larger指向的节点2是否是以其为根节点的子树的最大节点,因此还需要对节点2为根节点的子树按步骤1~步骤3继续做大顶堆调整。
6。以节点2为根节点的子树调整,节点2和节点8做比较,节点8更大,所以larger指针指向节点8。节点2还有右孩子节点4,节点4和larger指向的节点8比较,节点8最大,所以larger指针不变。最后将最大值8和根节点2交换。
7。此时i回退到原先二叉树的根节点节点1处,从根节点1开始按照步骤1~步骤3做大顶堆调整。
至此大顶堆调整结束。
根节点出堆:将节点9和节点1做交换,就可以拿到原数组里面的最大值9,再将数组长度减1,此时交换上去的节点1不是大顶堆的最大值,按照上述步骤继续调整成大顶堆(注意此时只是节点1不满足大顶堆,所以只需要将根节点1调整。实质上就只是做了堆调整的最后一步)。堆的插入同理,也是先插入到最后一个元素,再调整成堆。
Java代码
public class BigTopHeap {
public void buildHeap(int[] nums,int heapSize) {
//建堆
for(int i = heapSize / 2 - 1; i >= 0; i--) {
downToUpAdjust(nums,i,heapSize);
}
}
public void downToUpAdjust(int[] nums,int parentIndex,int heapSi

堆是一种特殊的完全二叉树,分为大顶堆和小顶堆。堆排序利用大顶堆的性质实现数组从大到小排序,通过不断调整堆结构并输出堆顶元素。文章通过图解和Java代码详细解释了堆排序过程,并展示了如何利用堆排序找到无序数组中第k大的元素。












最低0.47元/天 解锁文章
1423

被折叠的 条评论
为什么被折叠?



