我们在应用ArcGIS提供的克里格(Kriging)插值工具之前,经常要对数据的分布情况进行考察,这是因为克里格插值的前提假设之一就是数据服从正态分布。峰度(Kurtosis)与偏态(Skewness)就是量测数据正态分布特性的两个指标。
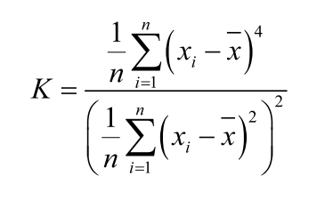
(1)峰度(Kurtosis)
峰度衡量数据分布的平坦度(flatness)。尾部大的数据分布,其峰度值较大。正态分布的峰度值为3。其公式如下:

式中, K表示峰度(无量纲); i表示第 i个数值; xbar表示平均值; n是采样数量。

图 1
如图 1所示,黑线服从尖峰(leptokurtic)、厚尾(thick-tailed)分布的峰度值大于3。红线服从正态分布,峰度值等于3。
注意,个别的软件会将峰度值减3,ArcGIS默认正态分布的峰度为3。MS Excel的计算公式与上面略有不同。
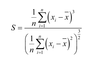
(2)偏态(Skewness)
偏态量度对称性。0说明是最完美的对称性,正态分布的偏态就是0。如图2所示,右偏态为正,表明平均值大于中位数。反之为左偏态,为负。

图 2

式中, S表示偏度(无量纲);i 表示第 i个数值; xbar表示平均值; n是采样数量。
(3)采样数量对峰度和偏态的影响
在真实世界里,我们是不能获得全部数据的。那么,从局部已获得的采样点数据来推测整体就是现实最优的选择。下面举例说明,采样点数量对峰度和偏态的影响。
数据描述:有一列数据集,内含5000个数值,依次抽样数量从5个升至5000个随机抽取,每次抽取分为5次重复,计算N个抽样数量下的峰度和偏态的最大值、平均值、中位数和最小值。
表 一

如表一所示,采样数量从5至5000个,若以全部采样(5000)得到的峰度和偏度为真值,那么小于5000个采样的峰度和偏度对整体的估计就不一定很准确了。抽样数量为500时,峰度从2.9682~2.6704,偏度为0.1705到-0.0841,这与真值都相差较大,可能对真实的情况产生误导。由此发现,峰度和偏度的准确性非常依赖于采样的数量。因此,也有人对峰度和偏态量度数据分布的能力产生质疑。
即使是全部采样(数量为5000),又由于采样的序列不同,峰度和偏态也不相同,如表一黄色单元格。
下面附有数据及Matlab代码。
在应用ArcGIS的克里格插值工具前,需检查数据是否符合正态分布,通过峰度和偏态两个指标进行评估。峰度反映分布的平坦度,偏态则衡量对称性。采样数量对这两个指标的准确性有显著影响。

297

被折叠的 条评论
为什么被折叠?



