1. Trilateration algorithm
基于测距的定位技术仿真——三边测量法 (Trilateration algorithm)
基本原理示意图如下所示:
1)已知三点位置(x1,y1),(x2,y2),(x3,y3);
2)已知未知点(x0,y0)到三点距离d1,d2,d3;
3)以d1,d2,d3为半径作三个圆,根据勾股定理,有
(x1-x0)^2 + (y1-y0)^2 =d1^2 (1)
(x2-x0)^2 + (y2-y0)^2 =d2^2 (2)
(x3-x0)^2 + (y3-y0)^2 =d3^2 (3)
联立上述三个公式必然可以求解出x0,y0。
(注:可以直接公式求解,直接算出x0,y0的表达式,或者也可以利用MATLAB构造关于x0,y0的方程组求解。)
*上述内容主要来自于https://blog.youkuaiyun.com/qq_24133491/article/details/79056761 *
2. Improved trilateration algorithm
当选取的三个锚点共线时,或选取的三个锚点不共线但三圈不相交或不相交时,由于距离估计误差,传统的三边测量法无法搜索出可行解。
改进的三边测量法的基本原理如下:
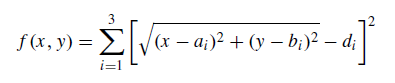
1)构建误差函数如下,则误差函数最小时即可得到目标节点位置

(x,y)是未知点,(ai,bi),di分别是锚点的位置和半径,定义
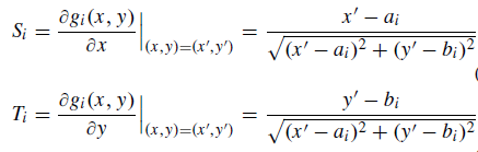
gi(x,y)关于x和y的导数如下
根据泰勒展开,可得
因此,误差函数可改写成
为了使得f(x,y)的值最小,可使得f(x,y)对x的导数为0,且f(x,y)对y的导数为0。
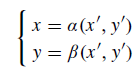
令

则可得
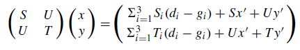
令
(注:这个公式有点错误,仅仅这个公式中的S改写成
且仅仅这个公式中的T改写成
)
可得
上述式子可以表达为

值得注意的是,由于进行泰勒展开,高阶部分被忽视了,所以会有误差,为了进一步提高精度,可以将上式改写成迭代的形式,即
迭代终止条件设置为
(注:这里作者没有介绍迭代公式的由来,结合文章的内容,本人做了一些推测,仅供参考,也欢迎大家批评指正。结合迭代终止条件可知,当此时的迭代结果与上一次的迭代结果非常相近迭代终止,我们可以得到最后的结果Xm=Xm-1,Ym=Ym-1;结合前文的求偏导公式可知,最后得到的值必然满足Xm=X’,Ym=Y’。因此得到Xm=Xm-1=X’,Ym=Ym-1=Ym-1,由于Xm=alfa(X’,Y’),Ym=beta(X’,Y’),所以可以用Xm-1取代公式中的X’,Ym-1取代公式中的Y’,固有最终的迭代公式Xm=alfa(X’,Y’)=alfa(Xm-1,Ym-1),Ym=alfa(X’,Y’)=beta(Xm-1,Ym-1))
在论文中,作者还添加了一些说明
上述思想主要来自于论文
B. Yang, L. Guo, R. Guo, M. Zhao, and T. Zhao, “A novel
trilateration algorithm for rssi-based indoor localization,”
IEEE Sensors, vol. 20, no. 14, pp. 8164 – 8172, 2020.
本文介绍了三边测量法的基本原理及其在定位技术中的应用,包括当锚点共线或三圆不相交时的问题。接着详细阐述了改进的三边测量算法,通过构建误差函数和泰勒展开进行优化,并提出了迭代公式以提高定位精度。该方法来源于B. Yang等人的研究论文。
704





