数据结构期末复习
判断题
1-1 算法分析的两个主要方面是时间复杂度和空间复杂度的分析。
答案:(T)
1-2 通过对堆栈S操作:Push(S,1), Push(S,2), Pop(S), Push(S,3), Pop(S), Pop(S)。输出的序列为:123。
答案:(F)
1-3 所谓“循环队列”是指用单向循环链表或者循环数组表示的队列。
答案:(F)
1-4 在用数组表示的循环队列中,front值一定小于等于rear值。
答案:(F)
1-5 任何最小堆中从根结点到任一叶结点路径上的所有结点是有序的(从小到大)
答案:(T)
1-6 若用链表来表示一个线性表,则表中元素的地址一定是连续的。
答案:(F)
1-7 若一个栈的输入序列为{1, 2, 3, 4, 5},则不可能得到{3, 4, 1, 2, 5}这样的出栈序列
答案:(T)
1-8 某二叉树的后序和中序遍历序列正好一样,则该二叉树中的任何结点一定都无右孩子。
答案:(T)
1-9 一棵有124个结点的完全二叉树,其叶结点个数是确定的。
答案:(T)
1-10 若A和B都是一棵二叉树的叶子结点,则存在这样的二叉树,其前序遍历序列为…A…B…,而中序遍历序列为…B…A…。
答案:(F)
1-11 无向连通图至少有一个顶点的度为1。
答案:(F)
1-12 若一个结点是某二叉树的中序遍历序列的最后一个结点,则它必是该树的前序遍历序列中的最后一个结点。
答案:(F)
1-13 如果无向图G必须进行两次广度优先搜索才能访问其所有顶点,则G一定有2个连通分量。
答案:(T)
1-14 用邻接表法存储图,占用的存储空间数只与图中结点个数有关,而与边数无关。
答案:(F)
1-15 Kruskal 算法是维护一个森林,每一步把两棵树合并成一棵
答案:(T)
1-16 希尔排序是稳定的算法
答案:(F)
1-17 在散列表中,所谓同义词就是具有相同散列地址的两个元素。
答案:(T)
1-18 在散列表中,所谓同义词就是被不同散列函数映射到同一地址的两个元素
答案:(F)
1-19 即使把2个元素散列到有100个单元的表中,仍然有可能发生冲突
答案:(T)

选择题
2-1 与数据元素本身的形式、内容、相对位置、个数无关的是数据的( C)。
A.存储结构
B.存储实现
C.逻辑结构
D.运算实现
2-2 给定有权无向图如下。关于其最小生成树,下列哪句是对的?(C)

A.边(B, A)一定在树中,树的总权重为23
B.边(D, C)一定在树中,树的总权重为20
C.最小生成树不唯一,其总权重为23
D.最小生成树唯一,其总权重为20
2-3 下面代码段的时间复杂度是(B)。
x=0;
for( i=1; i<n; i++ )
for ( j=1; j<=n-i; j++ )
x++;
A.O(n)
B.O(n2)
C.O(n3)
D.O(2n)
2-4 某线性表中最常用的操作是在最后一个元素之后插入一个元素和删除第一个元素,则采用什么存储方式最节省运算时间?(B)
A.单链表
B.仅有尾指针的单循环链表
C.仅有头指针的单循环链表
D.双链表
2-5 线性表L在什么情况下适用于使用链式结构实现?(A)
A.需不断对L进行删除插
B.需经常修改L中的结点值
C.L中含有大量的结点
D.L中结点结构复杂
2-6 设h为不带头结点的单向链表。在h的头上插入一个新结点t的语句是:(D)
A.h=t; t->next=h->next;
B.t->next=h->next; h=t;
C.h=t; t->next=h;
D.t->next=h; h=t;
2-7 设一个栈的输入序列是1、2、3、4、5,则下列序列中,是栈的合法输出序列的是?(A)
A.3 2 1 5 4
B.5 1 2 3 4
C.4 5 1 3 2
D.4 3 1 2 5
2-8 有六个元素以6、5、4、3、2、1的顺序进栈,问哪个不是合法的出栈序列?(B)
A.2 3 4 1 5 6
B.3 4 6 5 2 1
C.5 4 3 6 1 2
D.4 5 3 1 2 6
2-9 若一个栈的入栈序列为1、2、3、…、N,其输出序列为p1、p2,p3,…、pN若p1=N,则pi为:(C)
A.i
B.n−i
C.n−i+1
D.不确定
2-10 设一个堆栈的入栈顺序是1、2、3、4、5。若第一个出栈的元素是4,则最后一个出栈的元素必定是:(D)
A.1
B.3
C.5
D.1或者5
2-11 若top为指向栈顶元素的指针,判定栈S(最多容纳m个元素)为空的条件是:(B)
A.S->top == 0
B.S->top == -1
C.S->top != m-1
D.S->top == m-1
2-12 线性表、堆栈、队列的主要区别是什么?(B)
A.线性表用指针,堆栈和队列用数组
B.堆栈和队列都是插入、删除受到约束的线性表
C.线性表和队列都可以用循环链表实现,但堆栈不能
D.堆栈和队列都不是线性结构,而线性表是
2-13 树最适合于用来表示(D)
A.有序数据元素
B.无序数据元素
C.元素之间无联系的数据
D.元素之间具有分支层次关系的数据
2-14 在一棵度为4的树T中,若有20个度为4的结点,10个度为3的结点,1个度为2的结点,10个度为1的结点,则树T的叶结点个数是:(B)
A.41
B.82
C.113
D.122
2-15 如果二叉树的后序遍历结果是FDEBGCA,中序遍历结果是FDBEACG,那么该二叉树的前序遍历结果是什么?(C)
A.ABCDEFG
B.ABDFEGC
C.ABDFECG
D.ABDEFCG
2-16 若二叉搜索树是有N个结点的完全二叉树,则不正确的说法是:(B)
A.平均查找效率是O(logN)
B.最大值一定在最后一层
C.最小值一定在叶结点上
D.中位值结点在根结点或根的左子树上
2-17 已知字符集{ a, b, c, d, e, f, g, h }。若各字符的哈夫曼编码依次是 0100, 10, 0000, 0101, 001, 011, 11, 0001,则编码序列 0100011001001011110101 的译码结果是:(D)
A.acgabfh
B.adbagbb
C.afbeagd
D.afeefgd
2-18 下面关于图的存储的叙述中,哪一个是正确的?(A)
A.用相邻矩阵法存储图,占用的存储空间数只与图中结点个数有关,而与边数无关
B.用相邻矩阵法存储图,占用的存储空间数只与图中边数有关,而与结点个数无关
C.用邻接表法存储图,占用的存储空间数只与图中结点个数有关,而与边数无关
D.用邻接表法存储图,占用的存储空间数只与图中边数有关,而与结点个数无关
2-19 关于图的邻接矩阵,下列哪个结论是正确的?(B)
A.有向图的邻接矩阵总是不对称的
B.有向图的邻接矩阵可以是对称的,也可以是不对称的
C.无向图的邻接矩阵总是不对称的
D.无向图的邻接矩阵可以是不对称的,也可以是对称的
2-20 在一个无向图中,所有顶点的度数之和等于所有边数的多少倍?(C)
A.1/2
B.1
C.2
D.4
2-21 图的深度优先遍历类似于二叉树的:(A)
A.先序遍历
B.中序遍历
C.后序遍历
D.层次遍历
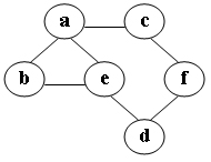
2-22 在图中自d点开始进行深度优先遍历算法可能得到的结果为:(C)

A.d,a,c,f,e,b
B.d,a,e,b,c,f
C.d,e,a,c,f,b
D.d,f,c,e,a,b
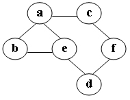
2-23 在图中自a点开始进行广度优先遍历算法可能得到的结果为:(D)
A.a, e, d, f, c, b
B.a, c, f, e, b, d
C.a, e, b, c, f, d
D.a, b, e, c, d, f
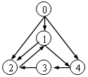
2-24 如果无向图G必须进行两次广度优先搜索才能访问其所有顶点,则下列说法中不正确的是:(B)
A.G肯定不是完全图
B.G中一定有回路
C.G一定不是连通图
D.G有2个连通分量
2-25 任何一个带权无向连通图的最小生成树—— (C)
A.是唯一的
B.是不唯一的
C.有可能不唯一
D.有可能不存在
2-26 给定有权无向图的邻接矩阵如下,其最小生成树的总权重是:(D)

A.10
B.11
C.12
D.14
2-27 下面给出的有向图中,各个顶点的入度和出度分别是:(A)

A.入度: 0, 2, 3, 1, 2; 出度: 3, 2, 1, 1, 1
B.入度: 3, 2, 1, 1, 1; 出度: 0, 2, 3, 1, 2
C.入度: 3, 4, 4, 2, 3; 出度: 3, 4, 4, 2, 3
D.入度: 0, 1, 2, 1, 1; 出度: 3, 2, 1, 1, 1
2-28 给定一有向图的邻接表如下。从顶点V1出发按深度优先搜索法进行遍历,则得到的一种顶点序列为:(B)

A.V1,V5,V4,V7,V6,V2,V3
B.V1,V5,V4,V7,V6,V3,V2
C.V1,V2,V3,V4,V7,V6,V5
D.V1,V5,V6,V4,V7,V2,V3
2-29 先序遍历图示二叉树的结果为(B)

A.A,B,C,D,H,E,I,F,G
B.A,B,D,H,I,E,C,F,G
C.H,D,I,B,E,A,F,C,G
D.H,I,D,B,E,F,G,A,C
2-30 链式栈与顺序栈相比,一个比较明显的优点是( B )。
A.插入操作更加方便
B.通常不会出现栈满的情况
C.不会出现栈空的情况
D.删除操作更加方便
本文是数据结构期末复习的判断题和选择题汇总,涵盖了算法分析、堆栈、队列、二叉树、图、散列表等核心概念的考题,包括时间复杂度、空间复杂度、数据结构的逻辑结构与存储结构、操作的正确性及各种遍历序列的性质等。
3315

被折叠的 条评论
为什么被折叠?



