701. 二叉搜索树中的插入操作
https://leetcode.cn/problems/insert-into-a-binary-search-tree/701. 二叉搜索树中的插入操作
难度中等341
给定二叉搜索树(BST)的根节点 root 和要插入树中的值 value ,将值插入二叉搜索树。 返回插入后二叉搜索树的根节点。 输入数据 保证 ,新值和原始二叉搜索树中的任意节点值都不同。
注意,可能存在多种有效的插入方式,只要树在插入后仍保持为二叉搜索树即可。 你可以返回 任意有效的结果 。
示例 1:

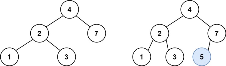
输入:root = [4,2,7,1,3], val = 5 输出:[4,2,7,1,3,5] 解释:另一个满足题目要求可以通过的树是:

示例 2:
输入:root = [40,20,60,10,30,50,70], val = 25 输出:[40,20,60,10,30,50,70,null,null,25]
示例 3:
输入:root = [4,2,7,1,3,null,null,null,null,null,null], val = 5 输出:[4,2,7,1,3,5]
提示:
- 树中的节点数将在
[0, 104]的范围内。 -108 <= Node.val <= 108- 所有值
Node.val是 独一无二 的。 -108 <= val <= 108- 保证
val在原始BST中不存在。
通过次数138,701提交次数193,292
/**
* Definition for a binary tree node.
* public class TreeNode {
* int val;
* TreeNode left;
* TreeNode right;
* TreeNode() {}
* TreeNode(int val) { this.val = val; }
* TreeNode(int val, TreeNode left, TreeNode right) {
* this.val = val;
* this.left = left;
* this.right = right;
* }
* }
*/
class Solution {
public TreeNode insertIntoBST(TreeNode root, int val) {
if(root==null)
{
TreeNode in =new TreeNode();
in.val = val;
return in;
}
insert(root,val);
return root;
}
void insert(TreeNode node, int val)
{
if(node==null) return;
if(val>node.val)
{
if(node.right!=null) insert(node.right,val);
else
{
TreeNode in =new TreeNode();
in.val = val;
node.right = in;
}
}
else if(val<node.val)
{
if(node.left!=null) insert(node.left,val);
else
{
TreeNode in =new TreeNode();
in.val = val;
node.left = in;
}
}
}
}

389

被折叠的 条评论
为什么被折叠?



