98. 验证二叉搜索树
https://leetcode.cn/problems/validate-binary-search-tree/
难度中等1683收藏分享切换为英文接收动态反馈
给你一个二叉树的根节点 root ,判断其是否是一个有效的二叉搜索树。
有效 二叉搜索树定义如下:
- 节点的左子树只包含 小于 当前节点的数。
- 节点的右子树只包含 大于 当前节点的数。
- 所有左子树和右子树自身必须也是二叉搜索树。
示例 1:

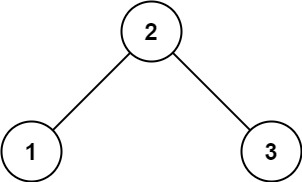
输入:root = [2,1,3] 输出:true
示例 2:

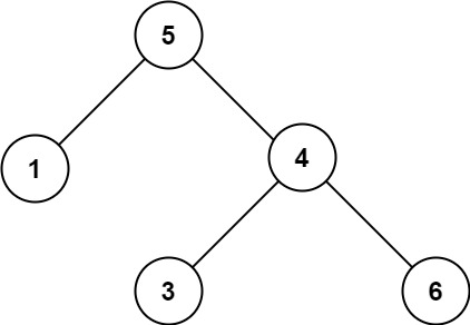
输入:root = [5,1,4,null,null,3,6] 输出:false 解释:根节点的值是 5 ,但是右子节点的值是 4 。
提示:
- 树中节点数目范围在
[1, 104]内 -231 <= Node.val <= 231 - 1
通过次数558,994提交次数1,537,310
/**
* Definition for a binary tree node.
* public class TreeNode {
* int val;
* TreeNode left;
* TreeNode right;
* TreeNode() {}
* TreeNode(int val) { this.val = val; }
* TreeNode(int val, TreeNode left, TreeNode right) {
* this.val = val;
* this.left = left;
* this.right = right;
* }
* }
*/
class Solution {
boolean ans = true;
long flag = Long.MIN_VALUE;
public boolean isValidBST(TreeNode root) {
if(root==null) return true;
isValidBST(root.left);
if(flag>=root.val) ans = false;
flag = root.val;
isValidBST(root.right);
return ans;
}
}

900

被折叠的 条评论
为什么被折叠?



