107. 二叉树的层序遍历 II
https://leetcode.cn/problems/binary-tree-level-order-traversal-ii/
难度中等598收藏分享切换为英文接收动态反馈
给你二叉树的根节点 root ,返回其节点值 自底向上的层序遍历 。 (即按从叶子节点所在层到根节点所在的层,逐层从左向右遍历)
示例 1:

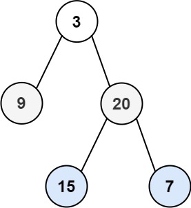
输入:root = [3,9,20,null,null,15,7] 输出:[[15,7],[9,20],[3]]
示例 2:
输入:root = [1] 输出:[[1]]
示例 3:
输入:root = [] 输出:[]
提示:
- 树中节点数目在范围
[0, 2000]内 -1000 <= Node.val <= 1000
通过次数224,023提交次数312,904
/**
* Definition for a binary tree node.
* public class TreeNode {
* int val;
* TreeNode left;
* TreeNode right;
* TreeNode() {}
* TreeNode(int val) { this.val = val; }
* TreeNode(int val, TreeNode left, TreeNode right) {
* this.val = val;
* this.left = left;
* this.right = right;
* }
* }
*/
class Solution {
public List<List<Integer>> levelOrderBottom(TreeNode root) {
List<List<Integer>> ans = new ArrayList<List<Integer>>();
//创建队列
Queue<TreeNode> queue = new LinkedList<TreeNode>();
if(root!=null) queue.offer(root);
while(!queue.isEmpty())
{
List<Integer> list = new ArrayList<Integer>();
int size = queue.size();
for(int i=0;i<size;i++)
{
TreeNode node = queue.poll();
list.add(node.val);
if(node.left!=null) queue.add(node.left);
if(node.right!=null) queue.add(node.right);
}
ans.add(list);
}
List<List<Integer>> result = new ArrayList<>();
for (int i = ans.size() - 1; i >= 0; i-- ) {
result.add(ans.get(i));
}
return result;
}
}

169

被折叠的 条评论
为什么被折叠?



