题目链接
题目描述
给你一个整数 n ,求恰由 n 个节点组成且节点值从 1 到 n 互不相同的 二叉搜索树 有多少种?返回满足题意的二叉搜索树的种数。
示例 1:

输入:n = 3
输出:5
示例 2:
输入:n = 1
输出:1
提示:
1 <= n <= 19
解题思路
动态规划法
首先明确一下二叉搜索树的定义:它或者是一棵空树,或者是具有下列性质的二叉树: 若它的左子树不空,则左子树上所有结点的值均小于它的根结点的值; 若它的右子树不空,则右子树上所有结点的值均大于它的根结点的值; 它的左、右子树也分别为二叉排序树。
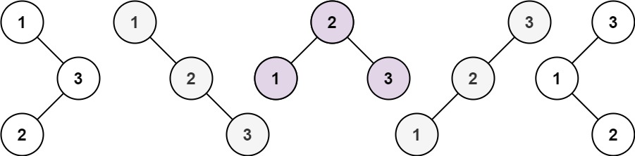
以示例1为例子,dp[3]就是以元素1为根节点的二叉搜索树数量+元素2为根节点的数量+元素3为根节点的数量。并且根据二叉搜索树的定义,可以有如下总结:
- 1为根节点的数量 = 左子树有0个元素的数量 * 右子树有2个元素的数量
- 2为根节点的数量 = 左子树有1个元素的数量 * 右子树有1个元素的数量
- 3为根节点的数量 = 左子树有2个元素的数量 * 右子树有0个元素的数量
- 重点:有2个元素的数量为
dp[2],有1个元素的数量为dp[1]
因此可以得出dp[3] = dp[0] * dp[2] + dp[1] * dp[1] + dp[2] * dp[0],归纳一下可以得到
dp[i] += dp[j-1] * dp[i-j]
其中j相当于根节点,从1遍历到i为止.j-1为j为根节点的左子树节点数量,i-j为右子树节点数量
AC代码
class Solution {
public int numTrees(int n) {
if(n == 1){
return 1;
}
int[] dp = new int[n+1];
dp[0] = 1;
for (int i = 1; i <= n; i++) {
for (int j = 1; j <=i ; j++) {
dp[i] += dp[j-1] * dp[i-j];
}
}
return dp[n];
}
}
这篇博客探讨了如何使用动态规划方法解决LeetCode上的第98题——「不同的二叉搜索树」。博主详细解释了二叉搜索树的定义,并通过示例1和示例2展示了解题思路。通过递推公式`dp[i]+=dp[j-1]*dp[i-j]`,博主展示了如何计算给定节点数n的不同二叉搜索树的数量,最终给出了AC代码实现。
1971

被折叠的 条评论
为什么被折叠?



