椭圆曲线密码学建立在抽象代数(群、环、域)与数论基础上,几个相关的数学概念陈述如下。
1.群
群是代数学中的基本概念,它是一种只含有单个运算的代数结构。设𝑆是一非空集合,把𝑆×𝑆→𝑆的一个映射∘称为S上的二元运算,为方便起见,把𝑎,𝑏∈𝑆的像∘(𝑎,𝑏)记做a∘𝑏。
非空集合𝐺对于𝐺上的二元运算∘来说作成一个群,满足如下条件:
(1) ∘是结合的,即对任何𝑎,𝑏,𝑐∈𝐺, 𝑎∘(𝑏∘c)=(𝑎∘𝑏)∘𝑐;
(2)𝐺中存在一个运算𝑒满足任意𝑎∈𝐺, 𝑎∘𝑒=𝑒∘𝑎=𝑎, 这个元素称为𝐺中的单位元;
(3) 任意𝑎∈𝐺,存在一个元素𝑎−1 ∈𝐺,满足𝑎∘𝑎−1=𝑎−1∘𝑎=𝑒, 这个元素称为𝑎逆元.如果G中的元素还满足
(4) 任意𝑎,𝑏∈𝐺, 𝑎∘𝑏=𝑏∘𝑎, 则称𝐺为交换群或Abel群
1.1.1群的阶
一个群𝐺称作有限群,如果G中含有有限多个元素。有限群中元素个数称为G的阶,用|𝐺|表示。
1.1.2元素的阶
设𝐺是群,𝑎是群的一个元素,如果存在正整数𝑚,使得𝑎𝑚=1,则称𝑎是有限阶的元素,而把最小的满足𝑎𝑚=1的正整数𝑚叫做元素𝑎的阶,用|𝑎|表示。
1.1.3 循环群
一个群G称为循环群,如果存在一个元素𝑎∈𝐺使得𝐺=〈𝑎〉,元素𝑎称为G的生成元,显然任何循环群都是交换群。
1.2环
一个集合R称为一个环,如果R有一个加法+和一个乘法∙满足:
(1) (R,+)是一个交换群;
(2) 乘法运算∙满足结合律(𝑎 ∙b) ∙c=𝑎 ∙(b ∙c);
(3) 加法运算和乘法运算满足分配率,即对任何a,b,c ∈R, 𝑎 ∙(b+c)=𝑎 ∙ b+𝑎 ∙ c, (b+c) ∙𝑎=b ∙𝑎+c ∙𝑎。
1.2.1环的特征
设R是环,如果存在正整数n使得对任何r∈R,n∙r=0, 但对于任何小于n的正整数𝑛′,n′∙r≠0, 则称n为环R的特征,否则称R的特征为0。
1.3 域
(1) 一个环称为有单位元的,如果它有乘法单位元1;
(2) 一个环称为交换环,如果其中的乘法是可交换的;
(3)一个换称为整环,如果它是一个交换的有单位元的环,1≠0且对于任意的𝑎 ≠0,b ≠0⟹𝑎𝑏≠0;
(4)一个环称为除环,如果所有非零元在乘法运算∙下构成一个群;
(5)一个交换的除环称为域。
2. 椭圆曲线基本理论
2.1椭圆曲线方程
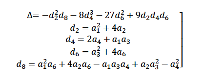
椭圆曲线E是由定义在域K上的Weierstrass方程定义:
E:y2+𝑎1xy+𝑎3y=x3+𝑎2x2+𝑎4x+𝑎6
其中𝑎1,𝑎2,𝑎3,𝑎4,𝑎6∈𝐾且Δ≠0,Δ是E的判别式:


本文深入探讨椭圆曲线密码学的数学基础,包括群、环、域的概念及其在椭圆曲线密码学中的应用。详细阐述了椭圆曲线的基本理论,如椭圆曲线方程、运算法则及秘钥协商与加解密的实现流程,展示了椭圆曲线在安全通信中的重要性。
最低0.47元/天 解锁文章
5622

被折叠的 条评论
为什么被折叠?



