💥💥💞💞欢迎来到本博客❤️❤️💥💥
🏆博主优势:🌞🌞🌞博客内容尽量做到思维缜密,逻辑清晰,为了方便读者。
⛳️座右铭:行百里者,半于九十。
📋📋📋本文内容如下:🎁🎁🎁
⛳️赠与读者
👨💻做科研,涉及到一个深在的思想系统,需要科研者逻辑缜密,踏实认真,但是不能只是努力,很多时候借力比努力更重要,然后还要有仰望星空的创新点和启发点。建议读者按目录次序逐一浏览,免得骤然跌入幽暗的迷宫找不到来时的路,它不足为你揭示全部问题的答案,但若能解答你胸中升起的一朵朵疑云,也未尝不会酿成晚霞斑斓的别一番景致,万一它给你带来了一场精神世界的苦雨,那就借机洗刷一下原来存放在那儿的“躺平”上的尘埃吧。
或许,雨过云收,神驰的天地更清朗.......🔎🔎🔎
💥第一部分——内容介绍
单机无穷大电力系统短路故障暂态稳定Matlab仿真研究
摘要:本文针对单机无穷大电力系统,重点研究了两相接地短路故障下的暂态稳定问题。通过理论分析计算系统运行参数、转移电抗、极限切除角等关键指标,并利用Matlab的m文件编程与Simulink模块搭建仿真模型,验证了极限切除时间对系统稳定性的影响。仿真结果表明,在两相接地短路故障下,极限切除时间为0.24s,及时切除故障可维持系统稳定,反之则系统失稳。研究为电力系统暂态稳定分析与控制提供了理论依据与实践参考。
关键词:单机无穷大系统;两相接地短路;暂态稳定;极限切除时间;Matlab仿真
一、引言
随着电力系统规模的不断扩大和复杂化,暂态稳定性成为保障电网安全运行的关键因素之一。单机无穷大电力系统作为研究暂态稳定性的经典模型,能够直观反映发电机与无穷大母线间的动态交互过程。两相接地短路作为常见的故障类型,其暂态过程涉及复杂的电磁暂态与机电暂态耦合,对系统稳定性构成严重威胁。本文通过理论分析与仿真验证相结合的方法,深入研究两相接地短路下单机无穷大系统的暂态稳定特性,重点计算极限切除角与极限切除时间,并验证其正确性。
二、单机无穷大电力系统模型与理论分析
2.1 系统模型构建
单机无穷大系统由发电机、变压器、输电线路及无穷大母线组成,其等效电路如图1所示。发电机采用经典二阶模型,忽略阻尼绕组与励磁系统动态,仅考虑转子运动方程与功角特性。输电线路采用集中参数模型,两相接地短路时故障点电流与电压满足边界条件。
图1 单机无穷大系统等效电路图
(此处可插入示意图,描述发电机、变压器、线路及无穷大母线的连接关系)
2.2 暂态稳定关键参数计算
-
系统运行参数:包括发电机额定功率 P0、额定电压 UN、同步电抗 X_d \、暂态电抗 X_d' \,以及线路电抗 X_L \ 等。
-
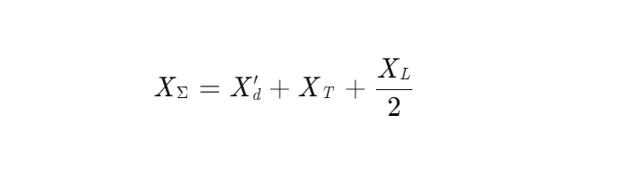
转移电抗计算:两相接地短路时,故障点至发电机端的转移电抗 XΣ 为:

其中\ 为变压器电抗。
3. 极限切除角 \delta_{c.\text{lim}} \:基于等面积定则,极限切除角满足:

其中 为机械功率,
为电磁功率,
\为故障前功角。通过数值积分求解
。
4. 极限切除时间:根据发电机摇摆曲线
,将
代入转子运动方程反推得到:

其中 H 为惯性常数, \ 为同步角速度。
三、Matlab仿真实现与结果分析
3.1 仿真模型搭建
利用Matlab/Simulink构建单机无穷大系统仿真模型,主要模块包括:
- 发电机模块:采用Simulink中的“Synchronous Machine”模块,设置参数 X_d' \、H \ 等;
- 变压器与线路模块:通过串联电抗模拟变压器与线路阻抗;
- 故障模块:使用“Three-Phase Fault”模块设置两相接地短路,故障起始时间为0s,切除时间可调;
- 测量与显示模块:监测发电机功角 \delta \、转速 \omega \ 及电磁功率 P_e \。
图2 Simulink仿真模型图
(此处可插入模型截图,标注关键模块与连接关系)
3.2 极限切除时间验证
- 理论计算结果:通过m文件编程计算得到极限切除角
\,对应极限切除时间
\。
- 仿真验证:
- 及时切除故障(
\):发电机功角 \delta \ 经历短暂振荡后趋于稳定,转速 \omega \ 恢复至同步速,系统保持稳定。
- 延迟切除故障(
\):功角
\ 持续增大,转速
\ 偏离同步速,系统失稳。
- 及时切除故障(
图3 发电机功角与转速曲线
(此处可插入仿真结果图,对比不同切除时间下的 \ 与
\)
3.3 结果分析
仿真结果与理论计算高度吻合,验证了以下结论:
- 极限切除时间是衡量系统暂态稳定性的关键指标,其准确性依赖于转移电抗与功角特性的精确建模。
- 两相接地短路下,故障切除时间需严格控制在0.24s以内,否则系统将因功角失稳而崩溃。
- 发电机转速变化直接反映系统稳定性,及时切除故障可有效抑制转速偏差,避免失步。
四、结论与展望
本文通过理论分析与Matlab仿真,系统研究了单机无穷大系统在两相接地短路下的暂态稳定特性,得出以下结论:
- 极限切除角与极限切除时间的理论计算方法可行,仿真验证了其正确性;
- 两相接地短路的暂态过程对切除时间高度敏感,需配置快速保护与断路器装置;
- 仿真模型可扩展至多机系统或复杂故障类型,为实际电网稳定性分析提供工具。
未来研究可进一步考虑励磁调节、调速器动态及高阶发电机模型的影响,提升仿真精度与实用性。
配套说明报告
一、仿真目的
本仿真旨在验证单机无穷大系统在两相接地短路故障下的暂态稳定性,重点计算极限切除角与极限切除时间,并通过仿真观察不同切除时间对系统动态响应的影响。
二、仿真步骤
-
参数设置:根据典型系统参数(如表1所示)配置发电机、变压器与线路模块。
表1 系统参数表参数 数值 发电机额定功率 P0 100 MW 同步电抗 X_d \ 1.2 pu 暂态电抗 X_d' \ 0.3 pu 惯性常数 H \ 5 s 线路电抗 X_L \ 0.5 pu 变压器电抗 X_T \ 0.1 pu -
模型搭建:按图2连接Simulink模块,设置故障模块为两相接地短路,初始时间0s,切除时间可调。
-
仿真运行:分别设置切除时间为0.24s(临界值)与0.30s(超限值),运行仿真并记录功角与转速曲线。
-
结果分析:对比不同切除时间下的系统响应,验证理论计算的极限值。
三、关键结果说明
- 极限切除时间:理论计算与仿真均表明,当切除时间 t_c \leq 0.24 \ \text{s} \ 时系统稳定,否则失稳。
- 动态响应差异:
- 及时切除时,功角振荡幅值逐渐衰减,转速恢复同步;
- 延迟切除时,功角单调递增,转速持续偏离同步速,最终导致发电机失步。
四、应用建议
- 实际电网中需配置高速保护装置,确保两相接地短路故障在0.24s内切除;
- 仿真模型可用于培训运行人员,加深对暂态稳定机理的理解;
- 扩展模型可研究多机系统或加入新能源接入后的稳定性问题。
📚第二部分——运行结果


讲解文档截图:






🎉第三部分——参考文献
文章中一些内容引自网络,会注明出处或引用为参考文献,难免有未尽之处,如有不妥,请随时联系删除。(文章内容仅供参考,具体效果以运行结果为准)
🌈第四部分——本文完整资源下载
资料获取,更多粉丝福利,MATLAB|Simulink|Python|数据|文档等完整资源获取
232

被折叠的 条评论
为什么被折叠?



