💥💥💞💞欢迎来到本博客❤️❤️💥💥
🏆博主优势:🌞🌞🌞博客内容尽量做到思维缜密,逻辑清晰,为了方便读者。
⛳️座右铭:行百里者,半于九十。
📋📋📋本文内容如下:🎁🎁🎁
⛳️赠与读者
👨💻做科研,涉及到一个深在的思想系统,需要科研者逻辑缜密,踏实认真,但是不能只是努力,很多时候借力比努力更重要,然后还要有仰望星空的创新点和启发点。建议读者按目录次序逐一浏览,免得骤然跌入幽暗的迷宫找不到来时的路,它不足为你揭示全部问题的答案,但若能解答你胸中升起的一朵朵疑云,也未尝不会酿成晚霞斑斓的别一番景致,万一它给你带来了一场精神世界的苦雨,那就借机洗刷一下原来存放在那儿的“躺平”上的尘埃吧。
或许,雨过云收,神驰的天地更清朗.......🔎🔎🔎
💥第一部分——内容介绍

基于扩展描述函数法的LLC谐振变换器小信号分析设计及参数计算研究
摘要:本文聚焦于LLC谐振变换器,运用扩展描述函数法开展小信号分析设计研究。首先阐述了LLC谐振变换器的工作原理与特性,接着详细介绍了基于扩展描述函数法的小信号分析设计流程,涵盖状态方程建立、谐波近似、小信号扰动线性化等关键步骤。在参数设计方面,结合额定功率、输入输出电压、谐振频率等条件,计算了变压器变比、谐振电感、谐振电容、励磁电感等参数。通过Mathcad进行理论计算,绘制Bode图,并与理论预期进行对比分析。控制方式采用开环控制进行扫频分析,同时模型预留了闭环控制模块接口。研究结果表明,基于扩展描述函数法的小信号分析设计方法能有效分析LLC谐振变换器的动态特性,为变换器的优化设计和稳定运行提供了理论依据。
关键词:LLC谐振变换器;扩展描述函数法;小信号分析;参数设计;Bode图
一、引言
在电力电子技术领域,高频、高效、高功率密度是开关电源发展的重要趋势。传统的PWM变换器在高频工作时,由于硬开关模式会产生较大的开关损耗和电磁干扰(EMI),难以满足现代电子设备对电源性能的要求。而谐振变换器凭借其软开关特性,能够有效降低开关损耗,提高转换效率,逐渐成为研究热点。LLC谐振变换器作为谐振变换器的一种典型拓扑结构,具有电流应力小、可实现软开关、电压变化范围大等优点,在电动汽车充电、新能源发电、数据中心电源等众多领域得到了广泛应用。
然而,LLC谐振变换器是一个强非线性系统,其动态特性较为复杂。为了实现对变换器的精确控制和优化设计,需要建立其小信号模型,以分析系统的频率响应和稳定性。目前,针对LLC谐振变换器的小信号建模方法主要有离散时域模型、广义平均方法、J.Groves模型等,但这些方法存在模型复杂、计算量大、适用范围有限等问题。扩展描述函数法(EDF)作为一种有效的非线性系统分析方法,能够简化建模过程,提高建模精度,为LLC谐振变换器的小信号分析提供了一种新的思路。
本文以额定功率为20kW(为进行输入电压扫频,功率设为10kW)的LLC谐振变换器为研究对象,输入电压为DC700V,输出电压为DC250V,谐振频率设定为80kHz,开关频率设置为70kHz。运用扩展描述函数法进行小信号分析设计,计算相关参数,并通过Mathcad进行理论计算和Bode图绘制,为LLC谐振变换器的设计和控制提供理论支持。
二、LLC谐振变换器工作原理
2.1 主电路拓扑结构
LLC谐振变换器的主电路拓扑结构主要由开关网络、谐振网络、变压器、整流网络和负载组成。本文采用半桥拓扑结构,开关网络由两个开关管Q1和Q2组成,它们交替导通,产生方波电压。谐振网络由谐振电感Lr、谐振电容Cr和变压器的励磁电感Lm构成。变压器实现电压变换和电气隔离,整流网络采用全波整流电路,将交流电压转换为直流电压,最后通过输出电容Co滤波后为负载供电。
2.2 工作原理分析
LLC谐振变换器具有两个谐振频率,分别是串联谐振频率fs和并联谐振频率fp。当开关频率fs等于串联谐振频率fr时,谐振网络呈现纯阻性,此时变换器的增益为1,且与负载无关,称为负载无关点。根据开关频率与谐振频率的关系,LLC谐振变换器的工作区域可分为三个:
- fs > fr:此时谐振网络呈感性,开关管能够实现零电压开通(ZVS),整流二极管能够实现零电流关断(ZCS),变换器工作在感性区域,具有较高的效率。
- fs = fr:变换器工作在负载无关点,增益稳定,效率最高。
- fs < fr:谐振网络呈容性,开关管难以实现ZVS,会增加开关损耗,降低变换器的效率,因此一般避免工作在此区域。
在一个开关周期内,LLC谐振变换器的工作过程可分为多个阶段,以开关频率fs小于串联谐振频率fr为例,其工作波形可分为12个时段进行分析。在不同时段,开关管的导通状态、谐振电流和励磁电流的方向以及能量的传输方向都有所不同,但总体上实现了能量的从输入到输出的传输,并通过软开关技术降低了开关损耗。
三、基于扩展描述函数法的小信号分析设计
3.1 扩展描述函数法概述
扩展描述函数法是一种用于分析非线性系统的方法,它是对传统描述函数法的扩展和改进。该方法通过将非线性环节用其描述函数来表示,将非线性系统转化为线性系统进行分析。对于LLC谐振变换器这种强非线性系统,扩展描述函数法能够有效地简化建模过程,提高建模精度。其基本步骤包括列出状态方程、进行谐波近似、引入小信号扰动、线性化处理等。
3.2 小信号分析设计流程
3.2.1 列出状态方程
根据LLC谐振变换器的电路拓扑结构,选取适当的状态变量,如谐振电感电流iLr、谐振电容电压vCr和励磁电感电流iLm等,列出系统的状态方程。状态方程描述了状态变量随时间的变化关系,是进行小信号分析的基础。
3.2.2 谐波近似
由于LLC谐振变换器中存在非线性元件,状态变量通常包含多个谐波分量。为了简化分析,采用谐波近似方法,只考虑基波分量,忽略高次谐波的影响。这样可以将非线性状态方程转化为线性状态方程,便于后续的分析和计算。
3.2.3 引入小信号扰动
在稳态工作点附近引入小信号扰动,将状态变量和输入变量表示为稳态分量和小信号分量之和。例如,iLr = ILr0 + i˜Lr,其中ILr0为稳态分量,i˜Lr为小信号分量。
3.2.4 线性化处理
将引入小信号扰动后的状态方程进行线性化处理,忽略高阶小量,得到小信号状态方程。小信号状态方程描述了小信号分量之间的线性关系,是建立小信号模型的关键。
3.2.5 建立小信号模型
根据小信号状态方程,推导出系统的传递函数,建立小信号模型。传递函数描述了系统输出小信号与输入小信号之间的频率响应关系,通过分析传递函数的特性,可以了解系统的稳定性和动态性能。
四、LLC谐振变换器参数设计
4.1 变压器变比n设计
变压器变比n是LLC谐振变换器的重要参数之一,它决定了输入输出电压的转换关系。根据输入输出电压的要求,变压器变比n的计算公式为:

4.2 谐振电感Lr设计
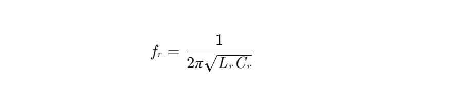
谐振电感Lr的设计需要考虑谐振频率fr、开关频率fs以及变换器的功率等级等因素。谐振频率fr的计算公式为:

在已知谐振频率fr = 80kHz的情况下,需要结合谐振电容Cr的值来确定Lr。同时,为了实现软开关,谐振电感Lr的选择还需要满足一定的条件。一般来说,可以通过以下步骤进行设计:
- 根据变换器的功率等级和输入输出电压,初步估算谐振电感Lr的取值范围。
- 结合谐振频率的要求,选择合适的谐振电容Cr。
- 根据谐振频率公式计算谐振电感Lr的值,并进行适当的调整和优化。
假设通过初步估算和计算,得到谐振电感Lr = 64.8μH。
4.3 谐振电容Cr设计
谐振电容Cr的设计与谐振电感Lr密切相关,同样需要考虑谐振频率和变换器的性能要求。在已知谐振频率fr和谐振电感Lr的情况下,可以根据谐振频率公式计算谐振电容Cr的值:

4.4 励磁电感Lm设计
励磁电感Lm与谐振电感Lr的比值k是LLC谐振变换器设计的关键参数之一,它对变换器的频率调节范围和轻载效率有重要影响。一般来说,k的取值范围为3 - 7,增大k可以扩展频率调节范围,但会降低轻载效率。励磁电感Lm的计算公式为:

4.5 输出电容Co设计
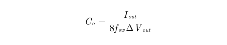
输出电容Co的作用是滤波,减小输出电压的纹波。输出电容Co的计算公式为:

其中,Iout为输出电流,fsw为开关频率,ΔVout为输出电压纹波。已知功率P = 10kW,输出电压Vout = 250V,则输出电流Iout = P/Vout = 10000/250 = 40A。假设输出电压纹波ΔVout = 1V,开关频率fsw = 70kHz,代入公式可得:

五、Mathcad计算与Bode图分析
5.1 Mathcad计算
利用Mathcad软件,根据上述参数设计结果和扩展描述函数法推导出的传递函数,进行理论计算。首先定义系统的参数,如谐振电感Lr、谐振电容Cr、励磁电感Lm、变压器变比n等。然后根据小信号分析设计得到的传递函数表达式,在Mathcad中输入相应的公式,计算传递函数的系数和特征值。
5.2 Bode图绘制
在Mathcad中,利用其强大的绘图功能,绘制系统的Bode图。Bode图包括幅频特性和相频特性两部分,它能够直观地展示系统的频率响应特性。通过观察Bode图,可以分析系统的增益裕度和相位裕度,判断系统的稳定性。同时,还可以比较不同参数下系统的Bode图,研究参数变化对系统性能的影响。
5.3 结果对比分析
将Mathcad计算得到的Bode图与理论预期进行对比分析。理论预期是根据LLC谐振变换器的工作原理和特性,对系统的频率响应进行预测。如果计算结果与理论预期相符,说明基于扩展描述函数法的小信号分析设计方法是正确的,所设计的参数能够满足系统的性能要求。如果存在差异,则需要分析原因,对参数进行调整和优化。
六、控制方式设计
6.1 开环控制
本文采用开环控制进行扫频分析,开环控制是指系统的输出量对控制作用没有影响的控制方式。在开环控制下,通过改变开关频率,扫描输入电压的变化范围,观察系统的输出响应,分析系统的频率特性和稳定性。开环控制的优点是结构简单,易于实现,但控制精度较低,抗干扰能力较差。
6.2 闭环控制预留
为了实现对LLC谐振变换器的精确控制,提高系统的稳定性和动态性能,模型内部预留了闭环控制模块接口。闭环控制是指系统的输出量反馈到输入端,与输入信号进行比较,根据误差信号对系统进行调节的控制方式。当需要采用闭环控制时,只需连接相应的闭环模块,如电压闭环PI控制模块,将控制方式切换为闭环控制即可。闭环控制能够根据系统的实际输出情况及时调整控制信号,提高系统的控制精度和抗干扰能力。
七、结论
本文运用扩展描述函数法对LLC谐振变换器进行了小信号分析设计,详细介绍了小信号分析设计的流程和方法。结合额定功率、输入输出电压、谐振频率等条件,计算了变压器变比、谐振电感、谐振电容、励磁电感等参数。通过Mathcad进行理论计算,绘制了Bode图,并与理论预期进行了对比分析,验证了基于扩展描述函数法的小信号分析设计方法的正确性。同时,设计了开环控制和预留了闭环控制模块接口,为LLC谐振变换器的不同控制需求提供了解决方案。研究结果表明,基于扩展描述函数法的小信号分析设计方法能够有效分析LLC谐振变换器的动态特性,为变换器的优化设计和稳定运行提供了理论依据。未来的研究可以进一步优化参数设计方法,提高系统的性能和效率,同时探索更先进的控制策略,以满足不同应用场景的需求。
📚第二部分——运行结果








🎉第三部分——参考文献
文章中一些内容引自网络,会注明出处或引用为参考文献,难免有未尽之处,如有不妥,请随时联系删除。(文章内容仅供参考,具体效果以运行结果为准)
🌈第四部分——Mathcad+Simulink仿真实现
资料获取,更多粉丝福利,MATLAB|Simulink|Python资源获取

1619

被折叠的 条评论
为什么被折叠?



