emmm迁移一下我的笔记好了...
partition 和single是对的
double是错误的
快排的partition算法
第一种是单向扫描法 - 算法导论
主要思想是,j 从 left 开始扫描,直到 j<right,这for循环过程中保证的是 i 及其左侧都是比 pivot 小的数
private static int partition(int[] arr, int left, int right) {
int pivot = arr[right];
int i=left-1;
for(int j=left;j<=right-1;j++){ // for j left to right-1
if(arr[j]<pivot){
i++;
if(i!=j)
swap(arr,i,j);
}
}
i++;
swap(arr,i,right);
return i;
}
第二种是双向扫描法,有多种具体实现办法,如下为“哨兵法” fivejoy.github.io中记录 (当时记录时更理解挖坑填数法可见 也是很神奇哈哈)
private static int partition(int[] nums,int left,int right){
int i=left;
int j=right;
int temp=nums[left];
while(i<j) { //!=也可以啊
while(i<j&&nums[j]>temp)
j--;
while(i<j&&nums[i]<=temp)
i++;
if(i<j)
swap(nums,i,j);
}
nums[left]=nums[i];
nums[i]=temp;
return i;
}
快排
public static void solution(int[] arr){
if(null==arr||arr.length<2){
return;
}
quickSort(arr,0,arr.length-1);
}
private static void quickSort(int[] arr, int left, int right) {
if(left>=right)
return;
int g=partitionMOSINgle(arr,left,right);
quickSort(arr,left,g-1);
quickSort(arr,g+1,right);
}
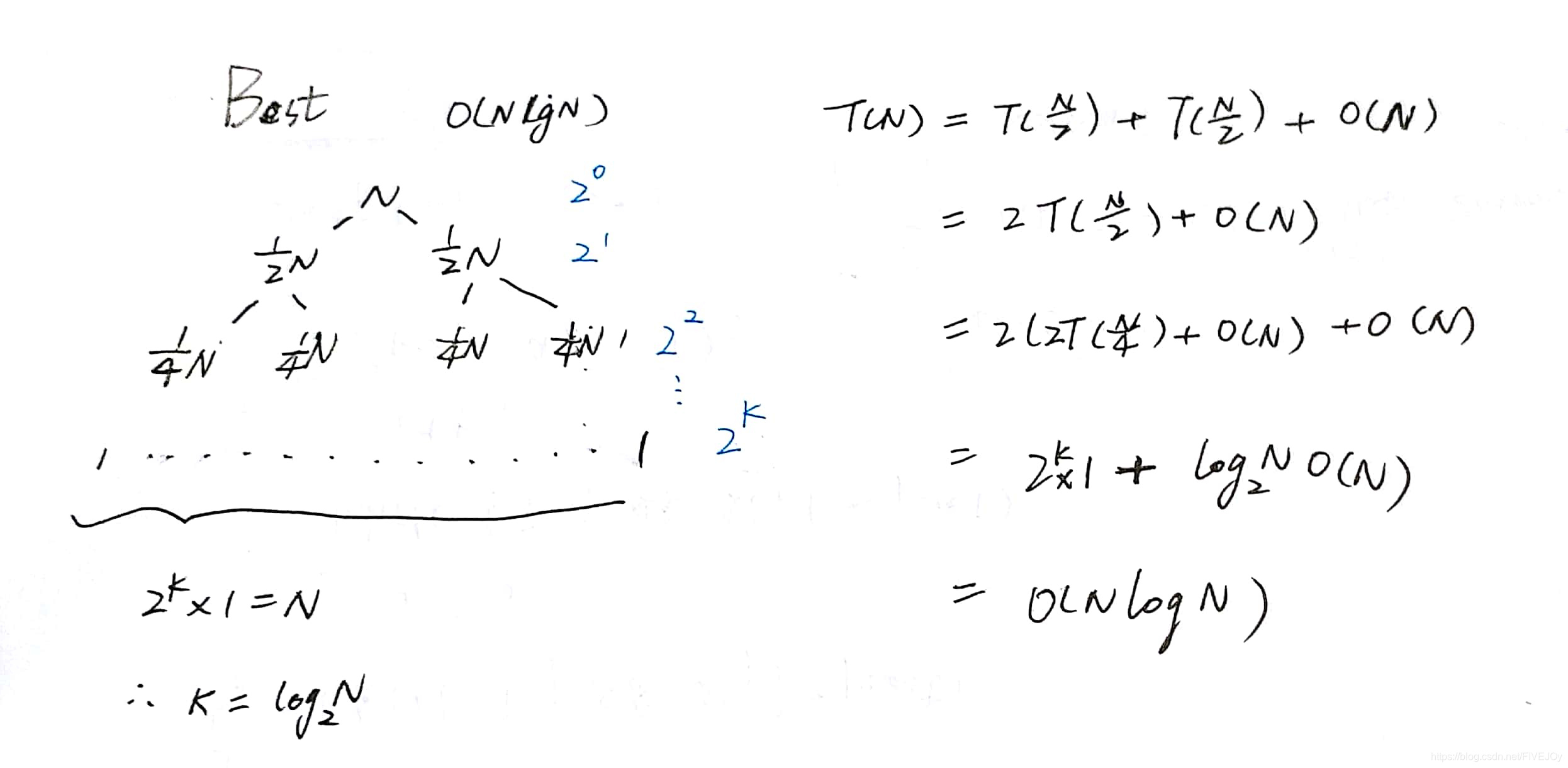
快排时间复杂度
快速排序的最好情况:每次选取的主元可正好将数组a中的元素平均分成两份 每次将问题分为两个等分的问题然后向下递归T(N)=O(NlogN)
快速排序的最坏情况:每次选取的主元都将数组a分为1个元素+N-1个元素两份·
计算方法如下



以下为快排中有必要了解的事情:
其中在partition选择pivot时,有多种方法,上面都选择的是取两侧,但是当序列有序时就比较容易出现最坏时间复杂度情况,即每次都是把序列分为N-1,1 的partition 。MOOC给出了其余三种选择方式
① 随机取pivot 但random()并不便宜
private static int selectPivot(int[] arr,int left,int right) {
int i=left+(int)Math.random()*(right-left);
swap(arr,left,i);
return arr[i];
}
② 取 头中尾处元素 的中位数为pivot
③ 同理可以试试 5或者7个数取中位数
为什么插入排序比快排慢?
每次选择完pivot & 子集划分完后 ,pivot可被一次性放到其正确位置【保证最快!】。而在插入排序的每次交换中,元素所在的位置都是待定的,暂时的,可能下次循环又要后错一位【所以插入排序比快排慢咯】
如果有元素正好 = pivot 怎么办?MOOC
①停下并交换
所有元素都相等 eg. 1 1 1 1 1 1 1 ,此时会做出很多无谓的交换。但主元一定会换到比较中间的位置
② 不理它,继续移动。 但是最后主元会放到比较靠近边儿的位置—造成主元选取时①方法可能遇到的很囧的情况
SO所以选择① 吧
数据规模
快排对大规模数据做的不错,虽然归并和堆排也是O(NlgN),但快排的常数项更小(nowcoder)
而在小规模数据中,因为采用递归,所以递归的弊端包括需要占用额外系统堆栈空间,每次调用系统堆栈时需要把很多东西压入栈中,返回时也不断POP。所以对(e.g. N<100)小规模数据可能并不如插入排序块 (插入排序的常数项低,所以当N不大时 O(N^2)<O(NlogN))
所以当数据规模未知时,可以设定一个cutOff阈值,小于阈值则使用简单排序算法,大于则使用快排。这个思想来自如Arrays.sort(),其使用的cutOff是60
以上两种partition实现的快排均经过随机数验证,验证方法如下
// for test
public static void comparator(int[] arr) {
Arrays.sort(arr);
}
// for test
public static int[] generateRandomArray(int maxSize, int maxValue) {
int[] arr = new int[(int) ((maxSize + 1) * Math.random())];
for (int i = 0; i < arr.length; i++) {
arr[i] = (int) ((maxValue + 1) * Math.random()) - (int) (maxValue * Math.random());
}
return arr;
}
// for test
public static int[] copyArray(int[] arr) {
if (arr == null) {
return null;
}
int[] res = new int[arr.length];
for (int i = 0; i < arr.length; i++) {
res[i] = arr[i];
}
return res;
}
// for test
public static boolean isEqual(int[] arr1, int[] arr2) {
if ((arr1 == null && arr2 != null) || (arr1 != null && arr2 == null)) {
return false;
}
if (arr1 == null && arr2 == null) {
return true;
}
if (arr1.length != arr2.length) {
return false;
}
for (int i = 0; i < arr1.length; i++) {
if (arr1[i] != arr2[i]) {
return false;
}
}
return true;
}
// for test
public static void printArray(int[] arr) {
if (arr == null) {
return;
}
for (int i = 0; i < arr.length; i++) {
System.out.print(arr[i] + " ");
}
System.out.println();
}
public static void main(String[] args){
int testTime = 500000;
int maxSize = 100;
int maxValue = 100;
boolean succeed = true;
int i=0;
for ( i = 0; i < testTime; i++) {
int[] arr1 = generateRandomArray(maxSize, maxValue);
int[] arr2 = copyArray(arr1);
solution(arr1);
comparator(arr2);
if (!isEqual(arr1, arr2)) {
succeed = false;
printArray(arr1);
printArray(arr2);
break;
}
}
System.out.println("has been tested for "+i+"times");
System.out.println(succeed ? "Congratulations!" : "Sorry Wrong !");
}
以下是partition算法的常见应用
应用一:
数组中出现次数超过一半的数字(就是一个数组中有一个数总是出现,出现次数甚至>arr.length/2)from 剑指offer 面试题29
解法一:先排序,最中间的数,使用快排的话时间复杂度O(nlogn)
解法二: 基于partition算法,O(n) 会改变数组状态,因为用到了swap
同1中所想,若排序,则数组中间的数字必为出现次数最多的数,同时排序数组最中间的数,也就是整个数组中第length/2大的数
注意下面一句话要好好理解,才能明白怎么用partition做。
先对数组partition,获得选中pivot的下标为g ,如果g=N/2,则表示这个数字就是整个数组中第length./2.那如果g<N/2则表示所求数字一定在g的右侧,否则在左侧
无效情况:①传入数组为null ② 传入数组中最多出现的数出现次数并未超过一半
无效情况可以通过 返回0+使用全局变量 标记
boolean invalidArray=true;
public static int moreThanHalfNums(int[] a){
int left=0,right=a.length-1,mid=left+(right-left)>>1;
int g=partition(a,left,right);
while(g!=mid) {
if (g < mid) {
left=g+1;
g=partition(a,left,right);
} else {
right=g-1;
g=partition(a,left,right);
}
}
int result=a[g];
//检查一下这个数是不是真的出现了>N/2次
checkInvaid(a,g);
return result;
}
数组中第K的数字 int getKthMax(int[] a,int k)
同理,把上面的方法中的mid替换为K就可以了
解法三:根据数字出现次数的O(N)算法 eMm不是很好理解。。
遍历数组,声明temp,count
保存当前数字为temp,如果下一个数字和temp相同,则次数-1,如果相同,次数+1,如果数字为零,则保存下一个数字为temp,且将次数设为1.
由于要找的数字出现次数比其他所有数字出现次数之和大,因此要找的数一定是最后一个将count设置为1的temp
用例二 输出数组中最小的前K个数
解法一:partition算法 类似用例二中解法二的推广 ,but需要修改数组,否则就得用额外空间
解法二:O(Nlogk) 容器法
创建大小为K的数据容器
每次读一个数,如果容器未满,将数填入容器;如果容器已满,找到容器中最大的数,如果这个最大的数比当前数小,则丢弃当前数,否则替换。
所以对于这个容器来说,需要满足三种操作:① 找到最大数;②删除最大数;③ 插入新数
所以如果使用二叉树实现这个数据容器,则可以满足在O(logk)时间复杂度内实现这三步,对于N个数字,总时间O(Nlogk)
二叉树中的最大堆可以O(1)找到最大值
解法二同时适用于海量数据输入,
由于内存大小有限,所以不能将海量数据一次性载入内存,这时可以从你辅助存储空间(硬盘每次读入数据),此时只要求内存能够容纳数据容器的大小即可。
如何利用数组实现最大堆。。。。。?

本文深入探讨了快速排序算法的原理及其实现,包括单向扫描法和双向扫描法的partition算法,详细解析了快排的时间复杂度,以及在不同数据规模下的表现。同时,介绍了几种pivot选择策略,并对比了快排与插入排序的优劣。此外,还提供了快速排序在实际问题中的应用案例。
683

被折叠的 条评论
为什么被折叠?



