模型引入损失函数
主要介绍三种
- L1Loss
- MSELoss(平方损失函数)
- CrossEntropyLoss(交叉熵损失函数)
L1Loss


对于训练得出的结果和实际的结果target的作差绝对值作为损失,分为两种情况
- 求出的形式为平均值形式
mean - 求出的形式为和的形式
sum
这个形式可以在reduction中指定,默认为平均值mean形式

我们可以看到其他的两个类的初始化参数已经废弃了,就reduction还在使用了

我们可以看到需要input和target同维度,使用方法为
loss = nn.L1Loss()
input = torch.randn(3, 5, requires_grad=True)
target = torch.randn(3, 5)
output = loss(input, target)
output.backward()
MSELoss
为平方损失函数

具体的定义与L1Loss相似,唯一的区别就是损失函数的计算变成了input和target差值的平方(L1是差值的绝对值)
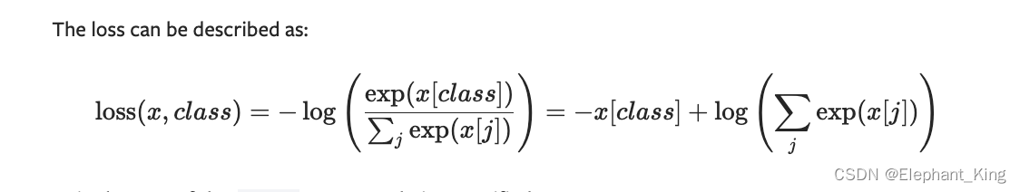
CrossEntropyLoss
为交叉熵损失函数



具体的公式定义为
x[class]代表预测正确的概率class可以等同于我们之前的target

也分为平均值mean与总和sum的方式
使用方法为
>>> loss = nn.CrossEntropyLoss()
>>> input = torch.randn(3, 5, requires_grad=

最低0.47元/天 解锁文章
2491

被折叠的 条评论
为什么被折叠?



