描述
操作给定的二叉树,将其变换为源二叉树的镜像。
数据范围:二叉树的节点数 0≤n≤1000 , 二叉树每个节点的值0≤val≤1000
要求: 空间复杂度 O(n) 。本题也有原地操作,即空间复杂度O(1) 的解法,时间复杂度 O(n)
比如:
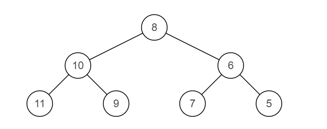
源二叉树

镜像二叉树

示例1
输入:
{8,6,10,5,7,9,11}
返回值:
{8,10,6,11,9,7,5}
说明:
如题面所示
示例2
输入:
{}
返回值:
{}
思路:
递归处理左右子树,然后进行交换子树即可,根节点不用弄。
题解:
/**
* struct TreeNode {
* int val;
* struct TreeNode *left;
* struct TreeNode *right;
* TreeNode(int x) : val(x), left(nullptr), right(nullptr) {}
* };
*/
class Solution {
public:
/**
* 代码中的类名、方法名、参数名已经指定,请勿修改,直接返回方法规定的值即可
*
*
* @param pRoot TreeNode类
* @return TreeNode类
*/
TreeNode* Mirror(TreeNode* pRoot) {
// write code here
//特判
if(pRoot == nullptr) return nullptr;
//递归处理左右子树
TreeNode* left = Mirror(pRoot->left);
TreeNode* right = Mirror(pRoot->right);
//交换过来变为镜像
swap(pRoot->right,pRoot->left);
return pRoot;
}
};
489

被折叠的 条评论
为什么被折叠?



