题源:
描述
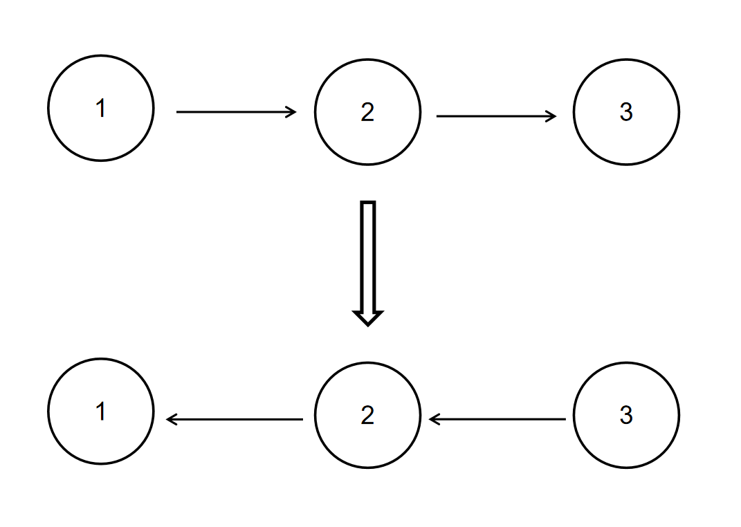
给定一个单链表的头结点pHead(该头节点是有值的,比如在下图,它的val是1),长度为n,反转该链表后,返回新链表的表头。
数据范围:0≤n≤1000
要求:空间复杂度 O(1) ,时间复杂度 O(n) 。
如当输入链表{1,2,3}时,
经反转后,原链表变为{3,2,1},所以对应的输出为{3,2,1}。
以上转换过程如下图所示:
示例1
输入:
{1,2,3}
返回值:
{3,2,1}
示例2
输入:
{}
返回值:
{}
说明:
空链表则输出空
题解:
迭代:
/*
struct ListNode {
int val;
struct ListNode *next;
ListNode(int x) :
val(x), next(NULL) {
}
};*/
class Solution {
public:
ListNode* ReverseList(ListNode* pHead) {
ListNode* cur = pHead, *pre = nullptr;
while (cur != nullptr) {
ListNode* tmp = cur->next; // 暂存后继节点 cur.next
cur->next = pre; // 修改 next 引用指向
pre = cur; // pre 暂存 cur
cur = tmp; // cur 访问下一节点
}
return pre;
}
};
递归:
/*
struct ListNode {
int val;
struct ListNode *next;
ListNode(int x) :
val(x), next(NULL) {
}
};*/
class Solution {
public:
ListNode* ReverseList(ListNode* pHead) {
return recur(pHead,nullptr);
}
ListNode* recur(ListNode* cur,ListNode* pre){
//递归出口
if(cur == nullptr) return pre;
//递归后续节点
ListNode* res = recur(cur->next,cur);
//修改节点指向
cur->next = pre;
return res;
}
};
给定一个带有值的单链表,长度为n,本文介绍了两种方法(迭代和递归)来反转该链表,要求空间复杂度为O(1),时间复杂度为O(n)。并提供了示例输入和输出。
1255

被折叠的 条评论
为什么被折叠?



