老张的眉头已经紧锁三天了。作为某工业变频器企业的硬件负责人,他刚刚接到客户通知--由于国际大厂的CAN收发器交期从12周延长到28周,他"又是断供!”老张叹了口气,这已们负责的一个重点项目面临停产风险。“经是今年第三次遭遇供应链危机。就在团队焦头烂额之际,年轻的工程师小李推开了办公室的门,“张工,或许我们可以试试国产方案--纳芯微的NCA1051。"

-
CAN收发器
在现代工业自动化、汽车电子和智能楼宇控制系统中,控制器局域网(CAN)总线因多主工作方式、传输速度快、通信距离远等特性,已成为不可或缺的通信技术。但是在CAN总线系统中,两位核心成员之间却有“矛盾”--CAN控制器(如MCU)输出的数字信号(TX/RX),无法直接在物理CAN总线(由两根双绞线CAN-H与CAN-L组成,传输差分拟信号)上进行长距离、抗干扰的传输。
CAN收发器作为用于实现控制器局域网(CAN)通信的物理层接口芯片,正是解决这一“矛盾”的关键,它负责在CAN控制器和物理CAN总线之间进行信号转换:将CAN控制器的数字信号(TX/RX)转换成在总线上传输的差分信号(CAN-H/CAN-L):将总线上的差分信号转换成CAN控制器能理解的数字信号,是沟通两者的桥梁
-
国产NCA1051收发器
几年前,当国产芯片还被视为“备胎”时,纳芯微电子(简称纳芯微)的工程师们已经在实验室里默默耕耘。他们知道,要打破国外垄断,必须拿出真本事,下狠功夫。NCA1051的诞生凝聚了纳芯微在芯片领域多年的技术积累。

NCA1051是纳芯微一款高速CAN收发器,可提供控制器局域网(CAN)协议控制器和物理两线CAN总线之间的接口。NCA1051实现ISO11898-2:2016和SAE J2284-1至SAE J2284-5中定义的CAN物理层,可在CAN FD快速阶段以高达5Mbit/s的数据传输速率进行可靠通信。NCA1051提供过热保护和传输数据显性超时功能。这些功能使NCA1051成为所有类型HS-CAN网络的绝佳选择,在不需要通过总线具有唤醒功能的静默模式的节点中。

-
核心技术优势
NCA1051 CAN收发器的设计深度贴合工业级与汽车级电子应用的实际需求,能满足大部分应用场景对高质量通信品质的苛刻要求。
- 1.高速传输+低延迟,保障实时控制
NCA1051支持CAN FD快速阶段最高 5Mbit/s的数据速率,远超传统CAN收发器(1Mbit/s),可满足变频控制、运动控制、汽车电子等场景中“大量实时数据交互”需求(如电机转速、传感器数据、控制指令的同步传输)
环路延迟<250ns,远低于行业平均水平(通常300ns+),确保控制指令“即时下发一即时响应”,避免因延迟导致的控制精度下降
- 2.强大的总线故障保护,应对复杂环境
工业环境复杂多变,总线容易遭受各种电压冲击,如接线错误、雷击感应、电源浪涌等高压冲击。NCA1051的总线故障保护达到-70V~70V,当总线意外遭遇高电压时,芯片能有效保护自身及后续电路,大大提高了系统的可靠性。搭配过流保护(限制短路电流)、过热保护(温度超阈值自动关断),进一步提升系统在复杂环境下的鲁棒性。
- 3.宽电压兼容+无源特性,降本增效
·NCA1051其3V~5V宽电源电压范围,可直接与3.3VMCU(如STM32系列)、5V MCU(如8051系列)连接,无需额外电平转换芯片,简化了系统结构,降低了整体成本。
无源特性:电源断开时,CAN-H/CAN-L引脚呈现高阻抗无源状态,不会影响总线其他节点的正常通信,特别适合多节点串联的大型网络(如楼宇自动化系统)。
- 4.静默模式+TXD超时保护,保障网络稳定
·NCA1051具备静默模式,通过S引脚高电平激活,此时发射器禁用、接收器正常工作,可防止故障控制器长期占用总线,避免整个网络瘫痪。
TXD显性超时保护:若TXD引脚因硬件/软件故障长期保持低电平(显性状态),超过800us~4500us后,芯片会自动禁用发射器,释放总线为隐性状态,确保其他节点正常通信。
- 5.宽工温+低功耗,多场景适配
·NCA1051工作温度覆盖-40℃~125℃,既能适应北方极寒地区的户外设备(如充电桩、户外传感器),也能耐受工业变频器、汽车发动机舱等高温环境,能够适应工业、汽车复杂极端的工况环境,
其隐性模式下典型电流仅5mA,静默模式2.5mA,搭配电源断开时的低漏电流特性,适合电池供电的工业传感器等低功耗场景
-
典型应用场景
NCA1051的卓越特性使其在多个领域展现出了广泛应用价值
- 1.工业自动化与控制
在工业自动化领域,NCA1051可用于工业控制器、传感器和驱动系统实现各控制模块之间的可靠通信。高达5Mbit/s的数据传输能力,适合需要高速数据交换的工业场景。
- 2.汽车电子与交通设备
可用于车身电子、车载传感器新能源汽车辅助控制系统(非动力总成)等应用场景。符合SAEJ2284标准,宽温设计耐受发动机舱高温,ESD防护能力强,支持NMEA2000、ISO11783等车载CAN协议。
- 3.变频空调控制
NCA1051在工业变频空调压缩机电路设计中表现卓越。其高可靠性和高速通信能力确保了空调系统在各种工况下的稳定运行,同时其国产化身份也为客户提供了高性价比的解决方案。
- 4.楼宇自动化
在楼宇自动化领域,NCA1051可用于安防系统和中央空调控制等,实现各个子系统之间的高效、可靠通信。其支持110个节点的扩展能力,满足大型楼宇多子系统互联需求,无源特性确保单个节点断电不影响整体网络,宽电压兼容适配不同品牌的控制器
-
国产化优势与供应链安全
在全球芯片供应波动加剧的背景下,NCA1051的国产化身份成为核心竞争力之一,可有效保证产品供应的安全和可靠:
自主知识产权:采用完全正向设计,拥有全部核心技术专利,不依赖国外授权,从根源上避免“技术卡脖子”。
稳定供应链保障:纳芯微电子作为国内高性能模拟芯片领军企业,已构建成熟的晶圆代工、封装测试供应链体系,交期稳定在4~8 周,远低于国际大厂的超长交期,有效解决“断供停产”风险。
全产业链支持:依托纳芯微在“信号感知、系统互联、功率驱动”的完整产业布局,可为客户提供“CAN 收发器+传感器+电源管理”的一站式解决方案,简化技术对接与供应链管理。
对于许多企业来说,选择国产芯片不仅是成本考量,更是供应链安全的战略需要。
-
CAN总线节点数计算
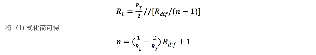
一个CAN 网络中,总线所能支持挂载的最大节点数是衡量 CAN 收发器性能的一个重要参数。影响 CAN 总线节点数量的因素可以从 CAN 收发器的物理层和协议层两个方面去考虑。首先物理层方面,总线节点的输出差分电压大小决定了CAN 总线电平能否被正常识别,通讯能否正常进行,主要由总线负载电阻 RL,来决定,而 RL,取决千总线终端匹配电阻以及各节点总线差分输入电阻 Rdif,我们可以通过如下方式从物理层角度去估算一个 CAN 网络的最大节点数。

上图为挂载n个 CAN 节点的总线网络拓扑示意图,其中 RT为终端匹配电阻,Rdif 为 CAN 收发器的总线差分输入电阻。 可以通过电路等效的方法得到如下所示简易拓扑图:

如上图所示, Node1作为信号发送,Noden 作为信号接收。从Node1端看进去的线路等效电阻为

RT为终端匹配电阻,此处取 120Ω; Rdif为差分输入电阻,这里取 20kQ;RL 可支持的负载电阻范围为 45Q~700Ω,当RL,=45Ω时,n取最大值为 112。所以在此参数条件下的 CAN 总线网络中,最多可支持挂载 112个CAN节点。
从协议层方面来考虑,当总线节点数越多,总线越长,线路寄生越大,对于本地节点信号自发自收的工况下,总线寄生越大,有可能导致回环回来的信号衰减较多,CAN控制器的采样发生错误,导致通讯异常;而对于相距较远两个节点之间进行通信的工况下,中间节点越多,线路越长,导致信号传播延时较长,接收端在接收到发送端发出的CAN信号后会进行帧内应答(ACK),传播延时较长可能导致应答不及时,通讯失败。所以在计算CAN总线最大挂载节点数时,应考虑线路寄生以及传播延时的影响,具体要求为由线路寄生较大引起的信号衰减不应使得CAN控制器的采样出现偏差,导致通讯异常;同时信号在传输路径上的传播延时应小于1/2的位时间,保证接收节点能够及时应答,不会导致通讯失败。

被折叠的 条评论
为什么被折叠?



