剑指 Offer 52. 两个链表的第一个公共节点
输入两个链表,找出它们的第一个公共节点。
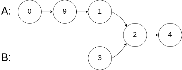
如下面的两个链表 :
在节点 c1 开始相交。
示例 1:
输入:intersectVal = 8, listA = [4,1,8,4,5], listB = [5,0,1,8,4,5], skipA = 2, skipB = 3
输出:Reference of the node with value = 8
输入解释:相交节点的值为 8 (注意,如果两个列表相交则不能为 0)。从各自的表头开始算起,链表 A 为 [4,1,8,4,5],链表 B 为 [5,0,1,8,4,5]。在 A 中,相交节点前有 2 个节点;在 B 中,相交节点前有 3 个节点。
示例 2:
输入:intersectVal = 2, listA = [0,9,1,2,4], listB = [3,2,4], skipA = 3, skipB = 1
输出:Reference of the node with value = 2
输入解释:相交节点的值为 2 (注意,如果两个列表相交则不能为 0)。从各自的表头开始算起,链表 A 为 [0,9,1,2,4],链表 B 为 [3,2,4]。在 A 中,相交节点前有 3 个节点;在 B 中,相交节点前有 1 个节点。
示例 3:
输入:intersectVal = 0, listA = [2,6,4], listB = [1,5], skipA = 3, skipB = 2
输出:null
输入解释:从各自的表头开始算起,链表 A 为 [2,6,4],链表 B 为 [1,5]。由于这两个链表不相交,所以 intersectVal 必须为 0,而 skipA 和 skipB 可以是任意值。
解释:这两个链表不相交,因此返回 null。
注意:
- 如果两个链表没有交点,返回
null. - 在返回结果后,两个链表仍须保持原有的结构。
- 可假定整个链表结构中没有循环。
- 程序尽量满足 O(n) 时间复杂度,且仅用 O(1) 内存。
- 本题与主站 160 题相同:https://leetcode-cn.com/problems/intersection-of-two-linked-lists/
/**
* Definition for singly-linked list.
* public class ListNode {
* int val;
* ListNode next;
* ListNode(int x) {
* val = x;
* next = null;
* }
* }
*/
public class Solution {
public ListNode getIntersectionNode(ListNode headA, ListNode headB) {
if(headA==null||headB==null)
return null;
HashSet<ListNode> hash = new HashSet<>();
while(headA!=null){
hash.add(headA);
headA = headA.next;
}
while(headB!=null){
if(hash.contains(headB))
return headB;
headB = headB.next;
}
return null;
}
}
/**
* Definition for singly-linked list.
* public class ListNode {
* int val;
* ListNode next;
* ListNode(int x) {
* val = x;
* next = null;
* }
* }
*/
public class Solution {
public ListNode getIntersectionNode(ListNode headA, ListNode headB) {
if(headA==null||headB==null)
return null;
ListNode recA = headA;
ListNode recB = headB;
while(recA!=recB){
recA = recA!=null?recA.next:headB;
recB = recB!=null?recB.next:headA;
}
return recA;
}
}
寻找链表交点:算法优化的链表公共节点查找
本文探讨如何高效地在两个链表中找到第一个公共节点,介绍两种解决方案,并重点讲解如何优化时间复杂度至O(n)。实例展示了不同场景下链表相交的情况及注意事项。




1489

被折叠的 条评论
为什么被折叠?



