图的深度优先搜索(Depth First Search),和树的先序遍历比较类似; 广度优先搜索算法(Breadth First Search),又称为"宽度优先搜索"或"横向优先搜索"。
深度优先搜索
深度优先搜索介绍
它的思想: 假设初始状态是图中所有顶点均未被访问,则从某个顶点v出发,首先访问该顶点,然后依次从它的各个未被访问的邻接点出发深度优先搜索遍历图,直至图中所有和v有路径相通的顶点都被访问到。 若此时尚有其他顶点未被访问到,则另选一个未被访问的顶点作起始点,重复上述过程,直至图中所有顶点都被访问到为止。
显然,深度优先搜索是一个递归的过程。
深度优先搜索图解
无向图的深度优先搜索
下面以"无向图"为例,来对深度优先搜索进行演示。

对上面的图G1进行深度优先遍历,从顶点A开始。

第1步: 访问A。
第2步: 访问(A的邻接点)C。 在第1步访问A之后,接下来应该访问的是A的邻接点,即"C,D,F"中的一个。但在本文的实现中,顶点ABCDEFG是按照顺序存储,C在"D和F"的前面,因此,先访问C。
第3步: 访问(C的邻接点)B。 在第2步访问C之后,接下来应该访问C的邻接点,即"B和D"中一个(A已经被访问过,就不算在内)。而由于B在D之前,先访问B。
第4步: 访问(C的邻接点)D。 在第3步访问了C的邻接点B之后,B没有未被访问的邻接点;因此,返回到访问C的另一个邻接点D。
第5步: 访问(A的邻接点)F。 前面已经访问了A,并且访问完了"A的邻接点B的所有邻接点(包括递归的邻接点在内)";因此,此时返回到访问A的另一个邻接点F。
第6步: 访问(F的邻接点)G。
第7步: 访问(G的邻接点)E。
因此访问顺序是: A -> C -> B -> D -> F -> G -> E
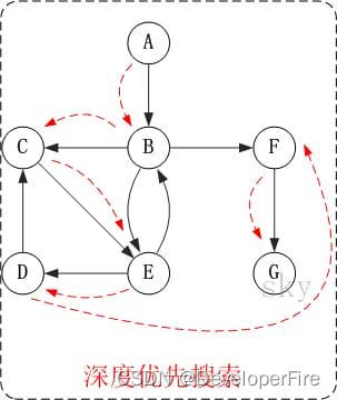
有向图的深度优先搜索
下面以"有向图"为例,来对深度优先搜索进行演示。

对上面的图G2进行深度优先遍历,从顶点A开始。

第1步: 访问A。
第2步: 访问B。 在访问了A之后,接下来应该访问的是A的出边的另一个顶点,即顶点B。
第3步: 访问C。 在访问了B之后,接下来应该访问的是B的出边的另一个顶点,即顶点C,E,F。在本文实现的图中,顶点ABCDEFG按照顺序存储,因此先访问C。
第4步: 访问E。 接下来访问C的出边的另一个顶点,即顶点E。
第5步: 访问D。 接下来访问E的出边的另一个顶点,即顶点B,D。顶点B已经被访问过,因此访问顶点D。
第6步: 访问F。 接下应该回溯"访问A的出边的另一个顶点F"。
第7步: 访问G。
因此访问顺序是: A -> B -> C -> E -> D -> F -> G
广度优先搜索
广度优先搜索介绍
广度优先搜索算法(Breadth First Search),又称为"宽度优先搜索"或"横向优先搜索",简称BFS。
它的思想是: 从图中某顶点v出发,在访问了v之后依次访问v的各个未曾访问过的邻接点,然后分别从这些邻接点出发依次访问它们的邻接点,并使得“先被访问的顶点的邻接点先于后被访问的顶点的邻接点被访问,直至图中所有已被访问的顶点的邻接点都被访问到。如果此时图中尚有顶点未被访问,则需要另选一个未曾被访问过的顶点作为新的起始点,重复上述过程,直至图中所有顶点都被访问到为止。
换句话说,广度优先搜索遍历图的过程是以v为起点,由近至远,依次访问和v有路径相通且路径长度为1,2...的顶点。
广度优先搜索图解
无向图的广度优先搜索
下面以"无向图"为例,来对广度优先搜索进行演示。还是以上面的图G1为例进行说明。

第1步: 访问A。
第2步: 依次访问C,D,F。 在访问了A之后,接下来访问A的邻接点。前面已经说过,在本文实现中,顶点ABCDEFG按照顺序存储的,C在"D和F"的前面,因此,先访问C。再访问完C之后,再依次访问D,F。
第3步: 依次访问B,G。 在第2步访问完C,D,F之后,再依次访问它们的邻接点。首先访问C的邻接点B,再访问F的邻接点G。
第4步: 访问E。 在第3步访问完B,G之后,再依次访问它们的邻接点。只有G有邻接点E,因此访问G的邻接点E。
因此访问顺序是: A -> C -> D -> F -> B -> G -> E
有向图的广度优先搜索
下面以"有向图"为例,来对广度优先搜索进行演示。还是以上面的图G2为例进行说明。

第1步: 访问A。
第2步: 访问B。
第3步: 依次访问C,E,F。 在访问了B之后,接下来访问B的出边的另一个顶点,即C,E,F。前面已经说过,在本文实现中,顶点ABCDEFG按照顺序存储的,因此会先访问C,再依次访问E,F。
第4步: 依次访问D,G。 在访问完C,E,F之后,再依次访问它们的出边的另一个顶点。还是按照C,E,F的顺序访问,C的已经全部访问过了,那么就只剩下E,F;先访问E的邻接点D,再访问F的邻接点G。
因此访问顺序是: A -> B -> C -> E -> F -> D -> G
相关实现
邻接矩阵实现无向图
import java.io.IOException;
import java.util.Scanner;
public class MatrixUDG {
private char[] mVexs; // 顶点集合
private int[][] mMatrix; // 邻接矩阵
/*
* 创建图(自己输入数据)
*/
public MatrixUDG() {
// 输入"顶点数"和"边数"
System.out.printf("input vertex number: ");
int vlen = readInt();
System.out.printf("input edge number: ");
int elen = readInt();
if ( vlen < 1 || elen < 1 || (elen > (vlen*(vlen - 1)))) {
System.out.printf("input error: invalid parameters!\n");
return ;
}
// 初始化"顶点"
mVexs = new char[vlen];
for (int i = 0; i < mVexs.length; i++) {
System.out.printf("vertex(%d): ", i);
mVexs[i] = readChar();
}
// 初始化"边"
mMatrix = new int[vlen][vlen];
for (int i = 0; i < elen; i++) {
// 读取边的起始顶点和结束顶点
System.out.printf("edge(%d):", i);
char c1 = readChar();
char c2 = readChar();
int p1 = getPosition(c1);
int p2 = getPosition(c2);
if (p1==-1 || p2==-1) {
System.out.printf("input error: invalid edge!\n");
return ;
}
mMatrix[p1][p2] = 1;
mMatrix[p2][p1] = 1;
}
}
/*
* 创建图(用已提供的矩阵)
*
* 参数说明:
* vexs -- 顶点数组
* edges -- 边数组
*/
public MatrixUDG(char[] vexs, char[][] edges) {
// 初始化"顶点数"和"边数"
int vlen = vexs.length;
int elen = edges.length;
// 初始化"顶点"
mVexs = new char[vlen];
for (int i = 0; i < mVexs.length; i++)
mVexs[i] = vexs[i];
// 初始化"边"
mMatrix = new int[vlen][vlen];
for (int i = 0; i < elen; i++) {
// 读取边的起始顶点和结束顶点
int p1 = getPosition(edges[i][0]);
int p2 = getPosition(edges[i][1]);
mMatrix[p1][p2] = 1;
mMatrix[p2][p1] = 1;
}
}
/*
* 返回ch位置
*/
private int getPosition(char ch) {
for(int i=0; i<mVexs.length; i++)
if(mVexs[i]==ch)
return i;
return -1;
}
/*
* 读取一个输入字符
*/
private char readChar() {
char ch='0';
do {
try {
ch = (char)System.in.read();
} catch (IOException e) {
e.printStackTrace();
}
} while(!((ch>='a'&&ch<='z') || (ch>='A'&&ch<='Z')));
return ch;
}
/*
* 读取一个输入字符
*/
private int readInt() {
Scanner scanner = new Scanner(System.in);
return scanner.nextInt();
}
/*
* 返回顶点v的第一个邻接顶点的索引,失败则返回-1
*/
private int firstVertex(int v) {
if (v<0 || v>(mVexs.length-1))
return -1;
for (int i = 0; i < mVexs.length; i++)
if (mMatrix[v][i] == 1)
return i;
return -1;
}
/*
* 返回顶点v相对于w的下一个邻接顶点的索引,失败则返回-1
*/
private int nextVertex(int v, int w) {
if (v<0 || v>(mVexs.length-1) || w<0 || w>(mVexs.length-1))
return -1;
for (int i = w + 1; i < mVexs.length; i++)
if (mMatrix[v][i] == 1)
return i;
return -1;
}
/*
* 深度优先搜索遍历图的递归实现
*/
private void DFS(int i, boolean[] visited) {
visited[i] = true;
System.out.printf("%c ", mVexs[i]);
// 遍历该顶点的所有邻接顶点。若是没有访问过,那么继续往下走
for (int w = firstVertex(i); w >= 0; w = nextVertex(i, w)) {
if (!visited[w])
DFS(w, visited);
}
}
/*
* 深度优先搜索遍历图
*/
public void DFS() {
boolean[] visited = new boolean[mVexs.length]; // 顶点访问标记
// 初始化所有顶点都没有被访问
for (int i = 0; i < mVexs.length; i++)
visited[i] = false;
System.out.printf("DFS: ");
for (int i = 0; i < mVexs.length; i++) {
if (!visited[i])
DFS(i, visited);
}
System.out.printf("\n");
}
/*
* 广度优先搜索(类似于树的层次遍历)
*/
public void BFS() {
int head = 0;
int rear = 0;
int[] queue = new int[mVexs.length]; // 辅组队列
boolean[] visited = new boolean[mVexs.length]; // 顶点访问标记
for (int i = 0; i < mVexs.length; i++)
visited[i] = false;
System.out.printf("BFS: ");
for (int i = 0; i < mVexs.length; i++) {
if (!visited[i]) {
visited[i] = true;
System.out.printf("%c ", mVexs[i]);
queue[rear++] = i; // 入队列
}
while (head != rear) {
int j = queue[head++]; // 出队列
for (int k = firstVertex(j); k >= 0; k = nextVertex(j, k)) { //k是为访问的邻接顶点
if (!visited[k]) {
visited[k] = true;
System.out.printf("%c ", mVexs[k]);
queue[rear++] = k;
}
}
}
}
System.out.printf("\n");
}
/*
* 打印矩阵队列图
*/
public void print() {
System.out.printf("Martix Graph:\n");
for (int i = 0; i < mVexs.length; i++) {
for (int j = 0; j < mVexs.length; j++)
System.out.printf("%d ", mMatrix[i][j]);
System.out.printf("\n");
}
}
public static void main(String[] args) {
char[] vexs = {'A', 'B', 'C', 'D', 'E', 'F', 'G'};
char[][] edges = new char[][]{
{'A', 'C'},
{'A', 'D'},
{'A', 'F'},
{'B', 'C'},
{'C', 'D'},
{'E', 'G'},
{'F', 'G'}};
MatrixUDG pG;
// 自定义"图"(输入矩阵队列)
//pG = new MatrixUDG();
// 采用已有的"图"
pG = new MatrixUDG(vexs, edges);
pG.print(); // 打印图
pG.DFS(); // 深度优先遍历
pG.BFS(); // 广度优先遍历
}
}邻接表实现的无向图
import java.io.IOException;
import java.util.Scanner;
public class ListUDG {
// 邻接表中表对应的链表的顶点
private class ENode {
int ivex; // 该边所指向的顶点的位置
ENode nextEdge; // 指向下一条弧的指针
}
// 邻接表中表的顶点
private class VNode {
char data; // 顶点信息
ENode firstEdge; // 指向第一条依附该顶点的弧
};
private VNode[] mVexs; // 顶点数组
/*
* 创建图(自己输入数据)
*/
public ListUDG() {
// 输入"顶点数"和"边数"
System.out.printf("input vertex number: ");
int vlen = readInt();
System.out.printf("input edge number: ");
int elen = readInt();
if ( vlen < 1 || elen < 1 || (elen > (vlen*(vlen - 1)))) {
System.out.printf("input error: invalid parameters!\n");
return ;
}
// 初始化"顶点"
mVexs = new VNode[vlen];
for (int i = 0; i < mVexs.length; i++) {
System.out.printf("vertex(%d): ", i);
mVexs[i] = new VNode();
mVexs[i].data = readChar();
mVexs[i].firstEdge = null;
}
// 初始化"边"
//mMatrix = new int[vlen][vlen];
for (int i = 0; i < elen; i++) {
// 读取边的起始顶点和结束顶点
System.out.printf("edge(%d):", i);
char c1 = readChar();
char c2 = readChar();
int p1 = getPosition(c1);
int p2 = getPosition(c2);
// 初始化node1
ENode node1 = new ENode();
node1.ivex = p2;
// 将node1链接到"p1所在链表的末尾"
if(mVexs[p1].firstEdge == null)
mVexs[p1].firstEdge = node1;
else
linkLast(mVexs[p1].firstEdge, node1);
// 初始化node2
ENode node2 = new ENode();
node2.ivex = p1;
// 将node2链接到"p2所在链表的末尾"
if(mVexs[p2].firstEdge == null)
mVexs[p2].firstEdge = node2;
else
linkLast(mVexs[p2].firstEdge, node2);
}
}
/*
* 创建图(用已提供的矩阵)
*
* 参数说明:
* vexs -- 顶点数组
* edges -- 边数组
*/
public ListUDG(char[] vexs, char[][] edges) {
// 初始化"顶点数"和"边数"
int vlen = vexs.length;
int elen = edges.length;
// 初始化"顶点"
mVexs = new VNode[vlen];
for (int i = 0; i < mVexs.length; i++) {
mVexs[i] = new VNode();
mVexs[i].data = vexs[i];
mVexs[i].firstEdge = null;
}
// 初始化"边"
for (int i = 0; i < elen; i++) {
// 读取边的起始顶点和结束顶点
char c1 = edges[i][0];
char c2 = edges[i][1];
// 读取边的起始顶点和结束顶点
int p1 = getPosition(edges[i][0]);
int p2 = getPosition(edges[i][1]);
// 初始化node1
ENode node1 = new ENode();
node1.ivex = p2;
// 将node1链接到"p1所在链表的末尾"
if(mVexs[p1].firstEdge == null)
mVexs[p1].firstEdge = node1;
else
linkLast(mVexs[p1].firstEdge, node1);
// 初始化node2
ENode node2 = new ENode();
node2.ivex = p1;
// 将node2链接到"p2所在链表的末尾"
if(mVexs[p2].firstEdge == null)
mVexs[p2].firstEdge = node2;
else
linkLast(mVexs[p2].firstEdge, node2);
}
}
/*
* 将node节点链接到list的最后
*/
private void linkLast(ENode list, ENode node) {
ENode p = list;
while(p.nextEdge!=null)
p = p.nextEdge;
p.nextEdge = node;
}
/*
* 返回ch位置
*/
private int getPosition(char ch) {
for(int i=0; i<mVexs.length; i++)
if(mVexs[i].data==ch)
return i;
return -1;
}
/*
* 读取一个输入字符
*/
private char readChar() {
char ch='0';
do {
try {
ch = (char)System.in.read();
} catch (IOException e) {
e.printStackTrace();
}
} while(!((ch>='a'&&ch<='z') || (ch>='A'&&ch<='Z')));
return ch;
}
/*
* 读取一个输入字符
*/
private int readInt() {
Scanner scanner = new Scanner(System.in);
return scanner.nextInt();
}
/*
* 深度优先搜索遍历图的递归实现
*/
private void DFS(int i, boolean[] visited) {
ENode node;
visited[i] = true;
System.out.printf("%c ", mVexs[i].data);
node = mVexs[i].firstEdge;
while (node != null) {
if (!visited[node.ivex])
DFS(node.ivex, visited);
node = node.nextEdge;
}
}
/*
* 深度优先搜索遍历图
*/
public void DFS() {
boolean[] visited = new boolean[mVexs.length]; // 顶点访问标记
// 初始化所有顶点都没有被访问
for (int i = 0; i < mVexs.length; i++)
visited[i] = false;
System.out.printf("DFS: ");
for (int i = 0; i < mVexs.length; i++) {
if (!visited[i])
DFS(i, visited);
}
System.out.printf("\n");
}
/*
* 广度优先搜索(类似于树的层次遍历)
*/
public void BFS() {
int head = 0;
int rear = 0;
int[] queue = new int[mVexs.length]; // 辅组队列
boolean[] visited = new boolean[mVexs.length]; // 顶点访问标记
for (int i = 0; i < mVexs.length; i++)
visited[i] = false;
System.out.printf("BFS: ");
for (int i = 0; i < mVexs.length; i++) {
if (!visited[i]) {
visited[i] = true;
System.out.printf("%c ", mVexs[i].data);
queue[rear++] = i; // 入队列
}
while (head != rear) {
int j = queue[head++]; // 出队列
ENode node = mVexs[j].firstEdge;
while (node != null) {
int k = node.ivex;
if (!visited[k])
{
visited[k] = true;
System.out.printf("%c ", mVexs[k].data);
queue[rear++] = k;
}
node = node.nextEdge;
}
}
}
System.out.printf("\n");
}
/*
* 打印矩阵队列图
*/
public void print() {
System.out.printf("List Graph:\n");
for (int i = 0; i < mVexs.length; i++) {
System.out.printf("%d(%c): ", i, mVexs[i].data);
ENode node = mVexs[i].firstEdge;
while (node != null) {
System.out.printf("%d(%c) ", node.ivex, mVexs[node.ivex].data);
node = node.nextEdge;
}
System.out.printf("\n");
}
}
public static void main(String[] args) {
char[] vexs = {'A', 'B', 'C', 'D', 'E', 'F', 'G'};
char[][] edges = new char[][]{
{'A', 'C'},
{'A', 'D'},
{'A', 'F'},
{'B', 'C'},
{'C', 'D'},
{'E', 'G'},
{'F', 'G'}};
ListUDG pG;
// 自定义"图"(输入矩阵队列)
//pG = new ListUDG();
// 采用已有的"图"
pG = new ListUDG(vexs, edges);
pG.print(); // 打印图
pG.DFS(); // 深度优先遍历
pG.BFS(); // 广度优先遍历
}
}邻接矩阵实现的有向图
import java.io.IOException;
import java.util.Scanner;
public class MatrixDG {
private char[] mVexs; // 顶点集合
private int[][] mMatrix; // 邻接矩阵
/*
* 创建图(自己输入数据)
*/
public MatrixDG() {
// 输入"顶点数"和"边数"
System.out.printf("input vertex number: ");
int vlen = readInt();
System.out.printf("input edge number: ");
int elen = readInt();
if ( vlen < 1 || elen < 1 || (elen > (vlen*(vlen - 1)))) {
System.out.printf("input error: invalid parameters!\n");
return ;
}
// 初始化"顶点"
mVexs = new char[vlen];
for (int i = 0; i < mVexs.length; i++) {
System.out.printf("vertex(%d): ", i);
mVexs[i] = readChar();
}
// 初始化"边"
mMatrix = new int[vlen][vlen];
for (int i = 0; i < elen; i++) {
// 读取边的起始顶点和结束顶点
System.out.printf("edge(%d):", i);
char c1 = readChar();
char c2 = readChar();
int p1 = getPosition(c1);
int p2 = getPosition(c2);
if (p1==-1 || p2==-1) {
System.out.printf("input error: invalid edge!\n");
return ;
}
mMatrix[p1][p2] = 1;
}
}
/*
* 创建图(用已提供的矩阵)
*
* 参数说明:
* vexs -- 顶点数组
* edges -- 边数组
*/
public MatrixDG(char[] vexs, char[][] edges) {
// 初始化"顶点数"和"边数"
int vlen = vexs.length;
int elen = edges.length;
// 初始化"顶点"
mVexs = new char[vlen];
for (int i = 0; i < mVexs.length; i++)
mVexs[i] = vexs[i];
// 初始化"边"
mMatrix = new int[vlen][vlen];
for (int i = 0; i < elen; i++) {
// 读取边的起始顶点和结束顶点
int p1 = getPosition(edges[i][0]);
int p2 = getPosition(edges[i][1]);
mMatrix[p1][p2] = 1;
}
}
/*
* 返回ch位置
*/
private int getPosition(char ch) {
for(int i=0; i<mVexs.length; i++)
if(mVexs[i]==ch)
return i;
return -1;
}
/*
* 读取一个输入字符
*/
private char readChar() {
char ch='0';
do {
try {
ch = (char)System.in.read();
} catch (IOException e) {
e.printStackTrace();
}
} while(!((ch>='a'&&ch<='z') || (ch>='A'&&ch<='Z')));
return ch;
}
/*
* 读取一个输入字符
*/
private int readInt() {
Scanner scanner = new Scanner(System.in);
return scanner.nextInt();
}
/*
* 返回顶点v的第一个邻接顶点的索引,失败则返回-1
*/
private int firstVertex(int v) {
if (v<0 || v>(mVexs.length-1))
return -1;
for (int i = 0; i < mVexs.length; i++)
if (mMatrix[v][i] == 1)
return i;
return -1;
}
/*
* 返回顶点v相对于w的下一个邻接顶点的索引,失败则返回-1
*/
private int nextVertex(int v, int w) {
if (v<0 || v>(mVexs.length-1) || w<0 || w>(mVexs.length-1))
return -1;
for (int i = w + 1; i < mVexs.length; i++)
if (mMatrix[v][i] == 1)
return i;
return -1;
}
/*
* 深度优先搜索遍历图的递归实现
*/
private void DFS(int i, boolean[] visited) {
visited[i] = true;
System.out.printf("%c ", mVexs[i]);
// 遍历该顶点的所有邻接顶点。若是没有访问过,那么继续往下走
for (int w = firstVertex(i); w >= 0; w = nextVertex(i, w)) {
if (!visited[w])
DFS(w, visited);
}
}
/*
* 深度优先搜索遍历图
*/
public void DFS() {
boolean[] visited = new boolean[mVexs.length]; // 顶点访问标记
// 初始化所有顶点都没有被访问
for (int i = 0; i < mVexs.length; i++)
visited[i] = false;
System.out.printf("DFS: ");
for (int i = 0; i < mVexs.length; i++) {
if (!visited[i])
DFS(i, visited);
}
System.out.printf("\n");
}
/*
* 广度优先搜索(类似于树的层次遍历)
*/
public void BFS() {
int head = 0;
int rear = 0;
int[] queue = new int[mVexs.length]; // 辅组队列
boolean[] visited = new boolean[mVexs.length]; // 顶点访问标记
for (int i = 0; i < mVexs.length; i++)
visited[i] = false;
System.out.printf("BFS: ");
for (int i = 0; i < mVexs.length; i++) {
if (!visited[i]) {
visited[i] = true;
System.out.printf("%c ", mVexs[i]);
queue[rear++] = i; // 入队列
}
while (head != rear) {
int j = queue[head++]; // 出队列
for (int k = firstVertex(j); k >= 0; k = nextVertex(j, k)) { //k是为访问的邻接顶点
if (!visited[k]) {
visited[k] = true;
System.out.printf("%c ", mVexs[k]);
queue[rear++] = k;
}
}
}
}
System.out.printf("\n");
}
/*
* 打印矩阵队列图
*/
public void print() {
System.out.printf("Martix Graph:\n");
for (int i = 0; i < mVexs.length; i++) {
for (int j = 0; j < mVexs.length; j++)
System.out.printf("%d ", mMatrix[i][j]);
System.out.printf("\n");
}
}
public static void main(String[] args) {
char[] vexs = {'A', 'B', 'C', 'D', 'E', 'F', 'G'};
char[][] edges = new char[][]{
{'A', 'B'},
{'B', 'C'},
{'B', 'E'},
{'B', 'F'},
{'C', 'E'},
{'D', 'C'},
{'E', 'B'},
{'E', 'D'},
{'F', 'G'}};
MatrixDG pG;
// 自定义"图"(输入矩阵队列)
//pG = new MatrixDG();
// 采用已有的"图"
pG = new MatrixDG(vexs, edges);
pG.print(); // 打印图
pG.DFS(); // 深度优先遍历
pG.BFS(); // 广度优先遍历
}
}邻接表实现的有向图
import java.io.IOException;
import java.util.Scanner;
public class ListDG {
// 邻接表中表对应的链表的顶点
private class ENode {
int ivex; // 该边所指向的顶点的位置
ENode nextEdge; // 指向下一条弧的指针
}
// 邻接表中表的顶点
private class VNode {
char data; // 顶点信息
ENode firstEdge; // 指向第一条依附该顶点的弧
};
private VNode[] mVexs; // 顶点数组
/*
* 创建图(自己输入数据)
*/
public ListDG() {
// 输入"顶点数"和"边数"
System.out.printf("input vertex number: ");
int vlen = readInt();
System.out.printf("input edge number: ");
int elen = readInt();
if ( vlen < 1 || elen < 1 || (elen > (vlen*(vlen - 1)))) {
System.out.printf("input error: invalid parameters!\n");
return ;
}
// 初始化"顶点"
mVexs = new VNode[vlen];
for (int i = 0; i < mVexs.length; i++) {
System.out.printf("vertex(%d): ", i);
mVexs[i] = new VNode();
mVexs[i].data = readChar();
mVexs[i].firstEdge = null;
}
// 初始化"边"
//mMatrix = new int[vlen][vlen];
for (int i = 0; i < elen; i++) {
// 读取边的起始顶点和结束顶点
System.out.printf("edge(%d):", i);
char c1 = readChar();
char c2 = readChar();
int p1 = getPosition(c1);
int p2 = getPosition(c2);
// 初始化node1
ENode node1 = new ENode();
node1.ivex = p2;
// 将node1链接到"p1所在链表的末尾"
if(mVexs[p1].firstEdge == null)
mVexs[p1].firstEdge = node1;
else
linkLast(mVexs[p1].firstEdge, node1);
}
}
/*
* 创建图(用已提供的矩阵)
*
* 参数说明:
* vexs -- 顶点数组
* edges -- 边数组
*/
public ListDG(char[] vexs, char[][] edges) {
// 初始化"顶点数"和"边数"
int vlen = vexs.length;
int elen = edges.length;
// 初始化"顶点"
mVexs = new VNode[vlen];
for (int i = 0; i < mVexs.length; i++) {
mVexs[i] = new VNode();
mVexs[i].data = vexs[i];
mVexs[i].firstEdge = null;
}
// 初始化"边"
for (int i = 0; i < elen; i++) {
// 读取边的起始顶点和结束顶点
char c1 = edges[i][0];
char c2 = edges[i][1];
// 读取边的起始顶点和结束顶点
int p1 = getPosition(edges[i][0]);
int p2 = getPosition(edges[i][1]);
// 初始化node1
ENode node1 = new ENode();
node1.ivex = p2;
// 将node1链接到"p1所在链表的末尾"
if(mVexs[p1].firstEdge == null)
mVexs[p1].firstEdge = node1;
else
linkLast(mVexs[p1].firstEdge, node1);
}
}
/*
* 将node节点链接到list的最后
*/
private void linkLast(ENode list, ENode node) {
ENode p = list;
while(p.nextEdge!=null)
p = p.nextEdge;
p.nextEdge = node;
}
/*
* 返回ch位置
*/
private int getPosition(char ch) {
for(int i=0; i<mVexs.length; i++)
if(mVexs[i].data==ch)
return i;
return -1;
}
/*
* 读取一个输入字符
*/
private char readChar() {
char ch='0';
do {
try {
ch = (char)System.in.read();
} catch (IOException e) {
e.printStackTrace();
}
} while(!((ch>='a'&&ch<='z') || (ch>='A'&&ch<='Z')));
return ch;
}
/*
* 读取一个输入字符
*/
private int readInt() {
Scanner scanner = new Scanner(System.in);
return scanner.nextInt();
}
/*
* 深度优先搜索遍历图的递归实现
*/
private void DFS(int i, boolean[] visited) {
ENode node;
visited[i] = true;
System.out.printf("%c ", mVexs[i].data);
node = mVexs[i].firstEdge;
while (node != null) {
if (!visited[node.ivex])
DFS(node.ivex, visited);
node = node.nextEdge;
}
}
/*
* 深度优先搜索遍历图
*/
public void DFS() {
boolean[] visited = new boolean[mVexs.length]; // 顶点访问标记
// 初始化所有顶点都没有被访问
for (int i = 0; i < mVexs.length; i++)
visited[i] = false;
System.out.printf("DFS: ");
for (int i = 0; i < mVexs.length; i++) {
if (!visited[i])
DFS(i, visited);
}
System.out.printf("\n");
}
/*
* 广度优先搜索(类似于树的层次遍历)
*/
public void BFS() {
int head = 0;
int rear = 0;
int[] queue = new int[mVexs.length]; // 辅组队列
boolean[] visited = new boolean[mVexs.length]; // 顶点访问标记
for (int i = 0; i < mVexs.length; i++)
visited[i] = false;
System.out.printf("BFS: ");
for (int i = 0; i < mVexs.length; i++) {
if (!visited[i]) {
visited[i] = true;
System.out.printf("%c ", mVexs[i].data);
queue[rear++] = i; // 入队列
}
while (head != rear) {
int j = queue[head++]; // 出队列
ENode node = mVexs[j].firstEdge;
while (node != null) {
int k = node.ivex;
if (!visited[k])
{
visited[k] = true;
System.out.printf("%c ", mVexs[k].data);
queue[rear++] = k;
}
node = node.nextEdge;
}
}
}
System.out.printf("\n");
}
/*
* 打印矩阵队列图
*/
public void print() {
System.out.printf("List Graph:\n");
for (int i = 0; i < mVexs.length; i++) {
System.out.printf("%d(%c): ", i, mVexs[i].data);
ENode node = mVexs[i].firstEdge;
while (node != null) {
System.out.printf("%d(%c) ", node.ivex, mVexs[node.ivex].data);
node = node.nextEdge;
}
System.out.printf("\n");
}
}
public static void main(String[] args) {
char[] vexs = {'A', 'B', 'C', 'D', 'E', 'F', 'G'};
char[][] edges = new char[][]{
{'A', 'B'},
{'B', 'C'},
{'B', 'E'},
{'B', 'F'},
{'C', 'E'},
{'D', 'C'},
{'E', 'B'},
{'E', 'D'},
{'F', 'G'}};
ListDG pG;
// 自定义"图"(输入矩阵队列)
//pG = new ListDG();
// 采用已有的"图"
pG = new ListDG(vexs, edges);
pG.print(); // 打印图
pG.DFS(); // 深度优先遍历
pG.BFS(); // 广度优先遍历
}
}
本文详细介绍了图的深度优先搜索(DFS)和广度优先搜索(BFS)算法,分别以无向图和有向图为例进行了演示,并提供了邻接矩阵和邻接表两种数据结构的实现。这两种搜索算法在遍历图的过程中有不同的策略,DFS侧重于递归地深入探索,而BFS则按照距离从近到远的顺序遍历。
769

被折叠的 条评论
为什么被折叠?



