摘 要
本论文设计并实现了一个基于Spring Boot框架、Java编程语言和MySQL数据库的社区配送系统。该系统旨在为社区用户、商户用户、配送用户及管理员提供高效便捷的服务,解决现代社区配送中存在的问题。系统包括多个模块,以支持不同角色的操作需求,商品管理、订单管理、配送管理、用户管理等。社区用户可以浏览商品信息、下单、查看配送状态、发表商品评价等;商户用户能够管理商品信息、处理订单、查看用户评价;配送用户则负责订单的配送并跟踪配送进度;管理员则通过后台系统对平台用户、商品、订单、配送等进行全方位的管理。系统通过Spring Boot框架实现了高效的后端开发,利用MySQL数据库存储并管理数据,确保数据的安全性与可靠性。系统设计上注重模块化和可扩展性,能够适应不同社区的需求,并具有较强的可维护性和易于扩展的架构。该系统能够提高社区配送的效率和用户体验,为商户和配送用户提供便捷的操作平台,具有较高的实用价值和推广潜力。
关键词:社区配送系统;SpringBoot;Java;MySQL
ABSTRACT
This paper designs and implements a community delivery system based on the Spring Boot framework, Java programming language, and MySQL database. The system aims to provide efficient and convenient services for community users, merchant users, delivery users, and administrators, and solve the problems that exist in modern community delivery. The system includes multiple modules to support the operational needs of different roles, such as product management, order management, delivery management, user management, etc. Community users can browse product information, place orders, check delivery status, post product reviews, etc; Merchant users can manage product information, process orders, and view user reviews; The delivery user is responsible for the delivery of the order and tracking the delivery progress; Administrators manage platform users, products, orders, delivery, and other aspects comprehensively through the backend system. The system implements efficient backend development through the Spring Boot framework, utilizing MySQL database to store and manage data, ensuring data security and reliability. The system design emphasizes modularity and scalability, which can adapt to the needs of different communities, and has strong maintainability and an easily expandable architecture. This system can improve the efficiency and user experience of community delivery, provide a convenient operating platform for merchants and delivery personnel, and has high practical value and promotion potential.
Keywords: community delivery system; SpringBoot; Java; MySQL
目 录
1绪论
1.1课题研究背景及意义
随着电子商务的快速发展,社区配送作为新兴的配送模式,已逐渐成为现代城市生活的重要组成部分。社区用户对于快速、便捷的配送服务需求日益增加,尤其是在大城市中,传统配送方式已无法满足高效、个性化的配送需求。因此,建立一个高效、智能的社区配送系统成为当务之急。
本课题基于Spring Boot框架、Java编程语言和MySQL数据库,设计并实现了一个社区配送系统,旨在提升配送效率和服务质量,解决当前配送过程中信息不对称、配送效率低下、用户体验差等问题。该系统通过精准的角色权限管理和信息流通机制,确保了社区用户、商户、配送用户和管理员之间的高效协作与顺畅操作。
本研究具有重要意义,不仅能够优化社区配送流程,提高资源利用率,还能为电商平台、商户和配送用户提供便捷的管理工具,进一步推动社区电商与智能配送的发展,提升整体运营效率和用户满意度。
1.2国内外发展现状分析
近年来,随着互联网和电子商务的快速发展,社区配送已成为全球范围内的重要配送方式之一。国内外多个企业和平台纷纷推出了社区配送服务,以满足日益增长的即时配送需求。
在国外,尤其是欧美和亚洲的发达国家,社区配送的模式发展较为成熟。例如,Amazon Prime Now、Instacart等平台已实现了基于大数据和人工智能的高效配送服务,结合用户需求、地理位置、物流配送等因素,优化配送路径和时间。配送服务多样化,包括生鲜、日用商品、药品等,满足了不同用户的个性化需求。此外,国外的配送系统往往注重智能化,通过机器人、无人机等新技术提升配送效率。
在国内,社区配送市场近年来呈现爆发式增长,尤其是在一线城市和二线城市中,平台如美团、京东到家、达达等已经建立起了较为完善的社区配送网络。这些平台依托强大的技术支持,整合物流、商户和配送用户资源,实现了快速、高效的配送服务。尤其是在疫情期间,社区配送需求大幅增长,推动了智能配送、无人配送等新技术的快速应用。国内的配送服务已涵盖生鲜、餐饮、日用商品等多个领域,覆盖面和服务内容日益丰富。
总体而言,国内外社区配送系统的研究和应用正向智能化、自动化方向发展,但仍面临配送效率、成本控制和用户体验等方面的挑战。随着技术的进步,未来社区配送将更加智能、便捷,提供更加个性化的服务。
1.3论文组织结构
本论文共分为七个主要章节,具体结构如下:
1. 绪论:介绍研究背景与意义,回顾国内外研究现状,并概述论文的组织结构。
2. 相关技术介绍:详细介绍与本研究相关的技术,包括Java语言、B/S框架、SpringBoot框架、Vue技术和MySQL数据库。
3. 需求分析:对系统的功能需求和非功能需求进行分析,明确用户和管理员的需求,并进行可行性分析,包括技术、操作和经济可行性。
4. 系统设计:涵盖系统架构设计、总体流程设计和功能设计,并进行数据库的概念设计与表设计。
5. 系统实现:具体描述各个功能模块的实现过程,展示系统如何根据需求进行开发。
6. 系统测试:阐述测试的目的、方法和内容,分析测试结果并得出结论,以验证系统的稳定性和功能完整性。
7. 总结:总结研究的主要成果和贡献,指出存在的不足及未来的研究方向。
2相关技术简介
2.1Java语言
Java语言是一种广泛使用的高级编程语言,具有平台无关性、面向对象特性和丰富的标准库[1]。Java通过Java虚拟机(JVM)实现跨平台运行,开发者可以编写一次代码,在任何支持JVM的环境中执行。Java的面向对象特性使得代码复用和模块化变得更加容易,促进了软件的维护和扩展。Java支持多线程编程,允许开发者在同一程序中同时执行多个任务,提升了应用程序的性能。
Java语言的语法结构简洁且易于理解,吸引了大量开发者[2]。Java的标准库包含数据结构、输入输出处理、网络编程等众多功能模块。这使得开发者在构建应用程序时能够高效利用已有工具,减少重复劳动。Java广泛应用于企业级应用、移动应用、Web开发和大数据处理等领域。
2.2 B/S框架
B/S(Browser/Server)架构是一种基于浏览器和服务器的系统架构模式,用户通过浏览器与服务器进行交互。B/S架构简化了客户端的部署和管理,用户无需在本地安装复杂的软件,只需使用标准浏览器即可访问应用程序。服务器端负责处理业务逻辑和数据存储,客户端则主要负责展示用户界面和数据交互[3]。B/S架构的设计使得系统更新和维护集中在服务器端,降低了维护成本。
B/S架构通常采用Web技术进行实现,包括HTML、CSS和JavaScript等。用户在浏览器中发起请求,服务器响应并返回数据。数据传输通常通过HTTP或HTTPS协议进行,B/S架构的灵活性使其适用于在线购物、信息管理系统和社交网络等各类应用场景[4]。由于其易于扩展性,B/S架构可以方便地支持大规模用户访问,适应不断变化的业务需求。
2.3 SpringBoot框架
SpringBoot框架是基于Spring框架的开源项目,简化Java应用程序的开发过程。SpringBoot通过约定优于配置的理念,减少了传统Spring应用的繁琐配置,开发者可以快速搭建和部署应用程序。框架提供了一系列默认配置,支持自动化配置,简化了应用启动的复杂性[5]。SpringBoot内置了嵌入式Web服务器,使得开发者能够独立运行Java应用,无需外部容器。
SpringBoot支持微服务架构,开发者可以轻松创建和管理多个微服务。框架集成了丰富的功能模块,包括安全、数据访问和消息中间件等,支持RESTful API和JSON数据格式的处理[6]。SpringBoot还提供了强大的监控和管理功能,允许开发者实时监控应用的健康状态和性能指标。借助SpringBoot,开发者能够高效构建和维护现代企业级应用,满足复杂业务需求。
2.4 Vue技术
Vue是一种渐进式JavaScript框架,专注于构建用户界面。Vue采用组件化的开发模式,允许开发者将应用程序拆分为独立的、可重用的组件,从而提高了开发效率和代码的可维护性[7]。框架的核心库专注于视图层,支持数据绑定和DOM操作,提供了简洁的API。Vue的虚拟DOM机制提升了应用的性能,减少了实际DOM操作的次数。
Vue支持双向数据绑定,能够自动更新视图与模型之间的变化。开发者可以通过Vue的指令系统,简化数据展示和事件处理。Vue还支持路由管理和状态管理,使得开发复杂单页面应用变得更加容易[8]。借助Vue的生态系统,开发者能够使用多种工具和库来扩展功能,满足不同的业务需求。Vue在前端开发中逐渐成为主流选择,受到广泛关注和应用。
2.5 MySQL数据库
MySQL是一种开源关系型数据库管理系统,广泛应用于Web应用和企业级数据存储。MySQL支持结构化查询语言,允许开发者通过标准语句进行数据的创建、读取、更新和删除操作[9]。数据库通过表格形式组织数据,支持数据完整性和约束条件的定义。MySQL的存储引擎机制使得用户可以根据具体需求选择不同的存储引擎,以优化性能和功能。
MySQL具有高性能和可扩展性,支持大规模数据存储和高并发访问。系统提供了丰富的用户权限管理和数据加密安全特性。MySQL能够与多种编程语言和框架兼容,广泛应用于内容管理系统、电子商务平台和数据分析等各种场景。
3系统需求分析
3.1系统功能需求分析
本论文设计与实现的基于Spring Boot的社区配送系统,涵盖了多个用户角色和功能模块,旨在为不同用户群体提供高效、便捷的配送信息服务。系统通过对社区用户、商家用户、配送用户和管理员四类用户的需求分析,提出了具体的功能设计和实现方案。以下是各角色用户功能的详细分析。
(1)社区用户功能分析:
1.注册登录:社区用户可以通过注册和登录功能进入平台,享受个性化服务和操作权限。
2.首页:首页展示了最新的商品信息、促销活动和平台公告,帮助用户快速了解平台内容。
3.网站公告:用户可以查看平台发布的所有公告,获取重要的运营信息和通知。
4.社区资讯:社区资讯功能为用户提供最新的社区动态和活动信息,增强社区互动。
5.商品信息:展示商品的详细信息,包括价格、描述和库存,帮助用户做出购买决定。
6.修改密码:用户可以修改自己的账户密码,确保账号的安全性。
7.我的账户:用户可以查看和管理自己的个人信息、账户余额、积分等内容。
8.个人中心:个人中心集中展示用户的订单历史、收藏商品等内容,方便用户查看和管理。
9.个人首页:个人首页展示了用户的基本信息和最近的活动,提供个性化的主页展示。
10.下单信息:用户可以查看并管理自己已提交的订单信息,包括订单状态、配送情况等。
11.配送信息:用户可以查看与订单配送相关的详细信息,包括物流状态和预计到达时间。
12.商品评价:用户可以对购买的商品进行评价,帮助其他用户参考和选择商品。
13.收藏:用户可以将感兴趣的商品或商户添加到收藏夹,便于日后查看和购买。
14.评论管理:用户可以查看、修改或删除自己发布的评论,管理个人发布的评价内容。
(2)商家用户功能分析:
1.注册登录:商户用户通过注册和登录进入商户后台,管理商品和订单,优化销售。
2.个人信息:商户可以管理自己的个人信息,包括店铺名称、联系方式等,确保信息准确。
3.后台首页:商户后台首页显示店铺运营数据,包括商品管理、订单处理等重要信息。
4.商品信息管理:商户可以新增、修改或删除商品信息,确保商品展示的实时性和准确性。
5.下单信息管理:商户可以查看和管理订单,处理订单发货、退款等事宜。
6.商品评价管理:商户可以管理商品的用户评价,回应客户意见并优化商品服务。
(3)配送用户功能分析:
1.注册登录:配送用户通过注册和登录进入配送管理后台,接收配送任务并跟踪订单状态。
2.个人信息:配送用户可以查看和修改自己的个人信息,如联系方式、配送区域等。
3.后台首页:配送用户通过后台首页查看待配送任务的概览,实时掌握配送情况。
4.下单信息管理:配送用户管理自己的配送任务,更新配送状态并确保订单准时送达。
5.配送信息管理:配送用户查看并更新订单的配送进度,确保商品顺利到达用户手中。
(4)管理员功能分析:
1.登录:管理员通过登录进入后台管理系统,获得对平台功能的全面控制和管理权限。
2.后台首页:管理员在后台首页查看平台的关键运营数据,如用户活动、订单情况等。
3.系统用户管理:管理员可以管理所有平台用户的信息,包括社区用户、商户、配送用户和其他管理员。
4.商品信息管理:管理员负责商品信息的管理,添加、修改和删除商品,确保商品信息更新及时。
5.下单信息管理:管理员查看所有用户的订单信息,监控订单处理情况,处理异常订单。
6.配送信息管理:管理员管理配送信息,监控配送进度并协调配送用户处理问题。
7.商品评价管理:管理员查看和管理商品的用户评价,删除违规评论并回应用户反馈。
8.系统管理:轮播图管理:管理员可以添加、修改和删除平台首页的轮播图,调整首页展示内容。
9.网站公告管理:管理员发布和管理平台公告,确保重要信息及时传达给所有用户。
10.资源管理:管理员管理社区资讯及分类内容,确保资讯信息的实时更新与有效分类。
3.2系统非功能性分析
社区配送系统在撰写系统毕业论文时,非功能性需求分析是一个重要的部分。非功能性需求主要关注的是系统如何运行,而不是它具体完成什么功能。这些需求包括性能、可用性、安全性、可维护性、可扩展性、易用性等方面。以下是一个关于社区配送系统非功能性需求分析的概要。
性能需求:系统需确保快速响应和高吞吐量,以支持大量用户同时访问,即使在高峰时段也能保持流畅的操作体验,避免因延迟或卡顿影响用户体验。
可用性:安系统必须具备高可用性,采用冗余部署、负载均衡等策略,确保即使部分组件故障也能迅速恢复服务,减少服务中断时间,保障用户业务的连续性。
安全性:鉴于系统处理用户敏感信息,如个人信息等,必须实施严格的安全措施,包括数据加密、访问控制、防攻击机制等,以保护用户数据免受未授权访问或泄露。
可维护性:系统设计应注重可维护性,采用模块化、标准化的架构,提供详尽的开发文档和用户手册,确保系统易于理解和维护,降低长期运维成本。
可扩展性:随着业务的发展,系统可能需要扩展功能或提升性能。因此,系统需具备灵活的可扩展性,能够轻松添加新模块、优化性能,以应对未来增长的需求。
易用性:用户界面应直观易用,符合用户习惯,提供清晰的导航和友好的操作反馈,帮助用户快速上手并高效完成任务,提升整体用户满意度。
3.3系统可行性分析
通过社区配送系统的可行性分析,我们可以从技术可行性、经济可行性、操作可行性三个维度进行深入探讨,以确保系统的开发与应用具有坚实的可行性基础。
3.3.1技术可行性
Springboot作为目前流行的Java企业级应用开发框架,以其“约定优于配置”的原则,极大地简化了开发流程,降低了技术门槛。同时,结合MyBatis Plus这一强大的ORM框架,可以高效实现数据持久化操作。前端采用Vue框架,不仅提升了用户界面的交互体验,也实现了前后端分离的现代Web架构。MySQL数据库作为后端数据存储,以其高性能和稳定性为系统提供了可靠的数据支持。综上所述,从技术角度来看,该系统的开发具备高度可行性。
3.3.2经济可行性
考虑到Springboot、Vue、MyBatis Plus及MySQL等均为开源技术,无需支付高昂的许可费用,大大降低了系统的开发成本。同时,这些技术拥有广泛的用户群体和成熟的社区支持,便于获取技术支持和资源共享。此外,系统的实施将显著提升社区配送系统的效率和用户体验,从而带来潜在的经济效益。因此,从经济角度来看,社区配送系统的开发同样具备可行性。
3.3.3操作可行性
系统设计应遵循用户友好原则,确保用户能够轻松上手并高效使用。通过合理的界面布局、直观的操作流程以及详尽的帮助文档,可以大大降低用户的学习成本,提高系统的操作可行性。此外,系统还应具备完善的权限管理和数据安全机制,确保操作的安全性和合规性。
从技术、经济、操作三个维度来看,社区配送系统的开发均具备高度的可行性。
3.4系统用例分析
3.4.1社区用户用例分析
详细用例图如图3-1所示。

图3-1社区用户用例图
3.4.2管理员用例分析
详细用例图如图3-2所示。

图3-2管理员用例图
3.4.3商家用户用例分析
详细用例图如图3-3所示。

图3-3商家用户用例图
3.4.4配送用户用例分析
详细用例图如图3-4所示。

图3-4配送用户用例图
4系统设计
4.1系统架构设计
系统采用SpringBoot 框架开发,该系统分为VIEW层、Controller层、Model层、DAO层和持久化数据存储层,VIEW层支持电脑浏览器访问系统。VIEW 层与 Controller 层紧密结合并系协同工作,共同完成前台页面的数据展示;Controller层为控制层,通过接收前端请求的参数进行业务处理,返回指定的路径或数据;Model层主要是服务层,用于业务逻辑处理;DAO 和持久化层,主要用于访问数据库和持久化数据[10]。整个系统架构如图4-1所示。

图4-1 系统架构图。
4.2系统结构设计
社区配送系统的整体结构设计如图4-2所示。

图4-2整体功能结构设计图
4.3系统功能设计
4.3.1系统开发流程
社区配送系统开发时,首先进行需求分析,进而对系统进行总体的设计规划,设计系统功能模块,数据库的选择等,本系统的开发流程如图4-3所示。

图4-3系统开发流程图
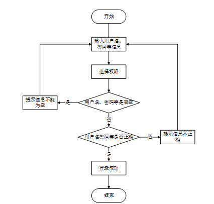
4.3.2 用户登录流程
为了保证系统的安全性,要使用本系统对系统信息进行管理,必须先登陆到系统中。如图4-4所示。

图4-4 登录流程图
4.3.3 系统操作流程
用户打开并进入系统后,会先显示登录界面,输入正确的用户名和密码,系统自动检测信息,若信息无误,则用户会进入系统功能界面,进行操作,否则会提示错误无法登录,操作流程如图4-5所示。

图4-5 系统操作流程图
4.3.4 添加信息流程
管理员可以对网站公告、社区资讯等进行信息的添加,用户可以对自己权限内的信息进行添加,输入信息后,系统会自行验证输入的信息和数据,若信息正确,会将其添加到数据库内,若信息有误,则会提示重新输入信息,添加信息流程如图4-6所示。

图4-6 添加信息流程图
4.3.5 修改信息流程
管理员可以对网站公告、社区资讯等进行的修改,用户可以对自己权限内的信息进行修改,首先进入修改信息界面,输入修改信息数据,系统进行数据的判断验证,修改信息合法则修改成功,信息更新至数据库,信息不合法则修改失败,重新输入。修改信息流程图如图4-7所示。

图4-7 修改信息流程图
4.3.6 删除信息流程
管理员可以对网站公告、社区资讯等进行信息的删除,对要删除的信息进行选中后,点击删除按钮,系统会询问是否确定,若点击确定,则系统会删除掉选中的信息,并在数据库内对信息进行删除,删除信息流程图如图4-8所示。

图4-8 删除信息流程图
4.4数据库设计
在进行数据库设计时,概念设计帮助明确系统的整体结构和需求。在这一阶段,需要确定实体、属性以及它们之间的关系,为后续的数据库表设计奠定基础。接下来,将深入探讨数据库表设计的具体细节,实现更高效的数据存储和管理。
4.4.1 概念设计
概念设计是数据库设计的第一步,其主要目标是对系统的数据需求进行全面的理解和抽象[11]。在这一阶段,通过建立实体-关系模型(ER模型)来识别系统中的关键实体、属性及其相互关系。概念设计的输出是一个清晰的ER图,作为后续数据库表设计的基础。以下将展示系统的全局E-R图。

图4-9数据库E-R图
4.4.2数据库表设计
这一阶段的重点是将概念模型转换为实际的数据库结构,包括表的创建、字段的定义及数据类型的选择。每个实体通常对应于数据库中的一张表,而实体的属性则转化为表的列[12]。以下是系统的数据库表设计展示。
表 4-1-access_token(登陆访问时长)
| 编号 | 字段名 | 类型 | 长度 | 是否非空 | 是否主键 | 注释 |
| 1 | token_id | int | 是 | 是 | 临时访问牌ID | |
| 2 | token | varchar | 64 | 否 | 否 | 临时访问牌 |
| 3 | info | text | 65535 | 否 | 否 | 信息 |
| 4 | maxage | int | 是 | 否 | 最大寿命:默认2小时 | |
| 5 | create_time | timestamp | 是 | 否 | 创建时间 | |
| 6 | update_time | timestamp | 是 | 否 | 更新时间 | |
| 7 | user_id | int | 是 | 否 | 用户编号 |
表 4-2-article(文章)
| 编号 | 字段名 | 类型 | 长度 | 是否非空 | 是否主键 | 注释 |
| 1 | article_id | mediumint | 是 | 是 | 文章id | |
| 2 | title | varchar | 125 | 是 | 是 | 标题 |
| 3 | type | varchar | 64 | 是 | 否 | 文章分类 |
| 4 | hits | int | 是 | 否 | 点击数 | |
| 5 | praise_len | int | 是 | 否 | 点赞数 | |
| 6 | create_time | timestamp | 是 | 否 | 创建时间 | |
| 7 | update_time | timestamp | 是 | 否 | 更新时间 | |
| 8 | source | varchar | 255 | 否 | 否 | 来源 |
| 9 | url | varchar | 255 | 否 | 否 | 来源地址 |
| 10 | tag | varchar | 255 | 否 | 否 | 标签 |
| 11 | content | longtext | 4294967295 | 否 | 否 | 正文 |
| 12 | img | varchar | 255 | 否 | 否 | 封面图 |
| 13 | description | text | 65535 | 否 | 否 | 文章描述 |
表 4-3-article_type(文章分类)
| 编号 | 字段名 | 类型 | 长度 | 是否非空 | 是否主键 | 注释 |
| 1 | type_id | smallint | 是 | 是 | 分类ID | |
| 2 | display | smallint | 是 | 否 | 显示顺序 | |
| 3 | name | varchar | 16 | 是 | 否 | 分类名称 |
| 4 | father_id | smallint | 是 | 否 | 上级分类ID | |
| 5 | description | varchar | 255 | 否 | 否 | 描述 |
| 6 | icon | text | 65535 | 否 | 否 | 分类图标 |
| 7 | url | varchar | 255 | 否 | 否 | 外链地址 |
| 8 | create_time | timestamp | 是 | 否 | 创建时间 | |
| 9 | update_time | timestamp | 是 | 否 | 更新时间 |
表 4-4-auth(用户权限管理)
| 编号 | 字段名 | 类型 | 长度 | 是否非空 | 是否主键 | 注释 |
| 1 | auth_id | int | 是 | 是 | 授权ID | |
| 2 | user_group | varchar | 64 | 否 | 否 | 用户组 |
| 3 | mod_name | varchar | 64 | 否 | 否 | 模块名 |
| 4 | table_name | varchar | 64 | 否 | 否 | 表名 |
| 5 | page_title | varchar | 255 | 否 | 否 | 页面标题 |
| 6 | path | varchar | 255 | 否 | 否 | 路由路径 |
| 7 | parent | varchar | 64 | 否 | 否 | 父级菜单 |
| 8 | parent_sort | int | 是 | 否 | 父级菜单排序 | |
| 9 | position | varchar | 32 | 否 | 否 | 位置 |
| 10 | mode | varchar | 32 | 是 | 否 | 跳转方式 |
| 11 | add | tinyint | 是 | 否 | 是否可增加 | |
| 12 | del | tinyint | 是 | 否 | 是否可删除 | |
| 13 | set | tinyint | 是 | 否 | 是否可修改 | |
| 14 | get | tinyint | 是 | 否 | 是否可查看 | |
| 15 | field_add | text | 65535 | 否 | 否 | 添加字段 |
| 16 | field_set | text | 65535 | 否 | 否 | 修改字段 |
| 17 | field_get | text | 65535 | 否 | 否 | 查询字段 |
| 18 | table_nav_name | varchar | 500 | 否 | 否 | 跨表导航名称 |
| 19 | table_nav | varchar | 500 | 否 | 否 | 跨表导航 |
| 20 | option | text | 65535 | 否 | 否 | 配置 |
| 21 | create_time | timestamp | 是 | 否 | 创建时间 | |
| 22 | update_time | timestamp | 是 | 否 | 更新时间 |
表 4-5-code_token(验证码)
| 编号 | 字段名 | 类型 | 长度 | 是否非空 | 是否主键 | 注释 |
| 1 | code_token_id | int | 是 | 是 | 验证码ID | |
| 2 | token | varchar | 255 | 否 | 否 | 令牌 |
| 3 | code | varchar | 255 | 否 | 否 | 验证码 |
| 4 | expire_time | timestamp | 是 | 否 | 失效时间 | |
| 5 | create_time | timestamp | 是 | 否 | 创建时间 | |
| 6 | update_time | timestamp | 是 | 否 | 更新时间 |
表 4-6-collect(收藏)
| 编号 | 字段名 | 类型 | 长度 | 是否非空 | 是否主键 | 注释 |
| 1 | collect_id | int | 是 | 是 | 收藏ID | |
| 2 | user_id | int | 是 | 是 | 收藏人ID | |
| 3 | source_table | varchar | 255 | 否 | 否 | 来源表 |
| 4 | source_field | varchar | 255 | 否 | 否 | 来源字段 |
| 5 | source_id | int | 是 | 否 | 来源ID | |
| 6 | title | varchar | 255 | 否 | 否 | 标题 |
| 7 | img | varchar | 255 | 否 | 否 | 封面 |
| 8 | create_time | timestamp | 是 | 否 | 创建时间 | |
| 9 | update_time | timestamp | 是 | 否 | 更新时间 |
表 4-7-comment(评论)
| 编号 | 字段名 | 类型 | 长度 | 是否非空 | 是否主键 | 注释 |
| 1 | comment_id | int | 是 | 是 | 评论ID | |
| 2 | user_id | int | 是 | 是 | 评论人ID | |
| 3 | reply_to_id | int | 是 | 否 | 回复评论ID | |
| 4 | content | longtext | 4294967295 | 否 | 否 | 内容 |
| 5 | nickname | varchar | 255 | 否 | 否 | 昵称 |
| 6 | avatar | varchar | 255 | 否 | 否 | 头像地址 |
| 7 | create_time | timestamp | 是 | 否 | 创建时间 | |
| 8 | update_time | timestamp | 是 | 否 | 更新时间 | |
| 9 | source_table | varchar | 255 | 否 | 否 | 来源表 |
| 10 | source_field | varchar | 255 | 否 | 否 | 来源字段 |
| 11 | source_id | int | 是 | 否 | 来源ID |
表 4-8-commodity_evaluation(商品评价)
| 编号 | 字段名 | 类型 | 长度 | 是否非空 | 是否主键 | 注释 |
| 1 | commodity_evaluation_id | int | 是 | 是 | 商品评价ID | |
| 2 | community_users | int | 否 | 否 | 社区用户 | |
| 3 | user_name | varchar | 64 | 否 | 否 | 用户姓名 |
| 4 | merchant_user | int | 否 | 否 | 商户用户 | |
| 5 | name_of_commodity | varchar | 64 | 否 | 否 | 商品名称 |
| 6 | commodity_type | varchar | 64 | 否 | 否 | 商品类型 |
| 7 | evaluation_time | datetime | 否 | 否 | 评价时间 | |
| 8 | evaluation_content | text | 65535 | 否 | 否 | 评价内容 |
| 9 | examine_state | varchar | 16 | 是 | 否 | 审核状态 |
| 10 | examine_reply | varchar | 16 | 否 | 否 | 审核回复 |
| 11 | create_time | datetime | 是 | 否 | 创建时间 | |
| 12 | update_time | timestamp | 是 | 否 | 更新时间 | |
| 13 | source_table | varchar | 255 | 否 | 否 | 来源表 |
| 14 | source_id | int | 否 | 否 | 来源ID | |
| 15 | source_user_id | int | 否 | 否 | 来源用户 |
表 4-9-commodity_information(商品信息)
| 编号 | 字段名 | 类型 | 长度 | 是否非空 | 是否主键 | 注释 |
| 1 | commodity_information_id | int | 是 | 是 | 商品信息ID | |
| 2 | merchant_user | int | 否 | 否 | 商户用户 | |
| 3 | name_of_commodity | varchar | 64 | 否 | 否 | 商品名称 |
| 4 | commodity_type | varchar | 64 | 否 | 否 | 商品类型 |
| 5 | cover_image | varchar | 255 | 否 | 否 | 封面图片 |
| 6 | commodity_number | varchar | 64 | 否 | 否 | 商品编号 |
| 7 | quantity_of_goods | double | 否 | 否 | 商品数量 | |
| 8 | commodity_price | double | 否 | 否 | 商品价格 | |
| 9 | commodity_introduction | text | 65535 | 否 | 否 | 商品简介 |
| 10 | hits | int | 是 | 否 | 点击数 | |
| 11 | praise_len | int | 是 | 否 | 点赞数 | |
| 12 | collect_len | int | 是 | 否 | 收藏数 | |
| 13 | comment_len | int | 是 | 否 | 评论数 | |
| 14 | examine_state | varchar | 16 | 是 | 否 | 审核状态 |
| 15 | examine_reply | varchar | 16 | 否 | 否 | 审核回复 |
| 16 | order_information_limit_times | int | 是 | 否 | 购买限制次数 | |
| 17 | create_time | datetime | 是 | 否 | 创建时间 | |
| 18 | update_time | timestamp | 是 | 否 | 更新时间 |
表 4-10-community_users(社区用户)
| 编号 | 字段名 | 类型 | 长度 | 是否非空 | 是否主键 | 注释 |
| 1 | community_users_id | int | 是 | 是 | 社区用户ID | |
| 2 | user_name | varchar | 64 | 否 | 否 | 用户姓名 |
| 3 | user_age | varchar | 64 | 否 | 否 | 用户年龄 |
| 4 | user_gender | varchar | 64 | 否 | 否 | 用户性别 |
| 5 | examine_state | varchar | 16 | 是 | 否 | 审核状态 |
| 6 | user_id | int | 是 | 否 | 用户ID | |
| 7 | create_time | datetime | 是 | 否 | 创建时间 | |
| 8 | update_time | timestamp | 是 | 否 | 更新时间 |
表 4-11-distribution_information(配送信息)
| 编号 | 字段名 | 类型 | 长度 | 是否非空 | 是否主键 | 注释 |
| 1 | distribution_information_id | int | 是 | 是 | 配送信息ID | |
| 2 | community_users | int | 否 | 否 | 社区用户 | |
| 3 | user_name | varchar | 64 | 否 | 否 | 用户姓名 |
| 4 | name_of_commodity | varchar | 64 | 否 | 否 | 商品名称 |
| 5 | commodity_type | varchar | 64 | 否 | 否 | 商品类型 |
| 6 | commodity_number | varchar | 64 | 否 | 否 | 商品编号 |
| 7 | commodity_price | varchar | 64 | 否 | 否 | 商品价格 |
| 8 | purchase_quantity | varchar | 64 | 否 | 否 | 购买数量 |
| 9 | total_amount | varchar | 64 | 否 | 否 | 合计金额 |
| 10 | contact_phone | varchar | 64 | 否 | 否 | 联系电话 |
| 11 | delivery_address | varchar | 64 | 否 | 否 | 配送地址 |
| 12 | distribution_user | int | 否 | 否 | 配送用户 | |
| 13 | name_of_personnel | varchar | 64 | 否 | 否 | 人员姓名 |
| 14 | order_receiving_time | datetime | 否 | 否 | 接单时间 | |
| 15 | order_status | varchar | 64 | 否 | 否 | 订单状态 |
| 16 | distribution_remarks | text | 65535 | 否 | 否 | 配送备注 |
| 17 | create_time | datetime | 是 | 否 | 创建时间 | |
| 18 | update_time | timestamp | 是 | 否 | 更新时间 | |
| 19 | source_table | varchar | 255 | 否 | 否 | 来源表 |
| 20 | source_id | int | 否 | 否 | 来源ID | |
| 21 | source_user_id | int | 否 | 否 | 来源用户 |
表 4-12-distribution_user(配送用户)
| 编号 | 字段名 | 类型 | 长度 | 是否非空 | 是否主键 | 注释 |
| 1 | distribution_user_id | int | 是 | 是 | 配送用户ID | |
| 2 | name_of_personnel | varchar | 64 | 否 | 否 | 人员姓名 |
| 3 | age_of_personnel | varchar | 64 | 否 | 否 | 人员年龄 |
| 4 | gender_of_staff | varchar | 64 | 否 | 否 | 人员性别 |
| 5 | examine_state | varchar | 16 | 是 | 否 | 审核状态 |
| 6 | user_id | int | 是 | 否 | 用户ID | |
| 7 | create_time | datetime | 是 | 否 | 创建时间 | |
| 8 | update_time | timestamp | 是 | 否 | 更新时间 |
表 4-13-hits(用户点击)
| 编号 | 字段名 | 类型 | 长度 | 是否非空 | 是否主键 | 注释 |
| 1 | hits_id | int | 是 | 是 | 点赞ID | |
| 2 | user_id | int | 是 | 否 | 点赞人 | |
| 3 | create_time | timestamp | 是 | 否 | 创建时间 | |
| 4 | update_time | timestamp | 是 | 否 | 更新时间 | |
| 5 | source_table | varchar | 255 | 否 | 否 | 来源表 |
| 6 | source_field | varchar | 255 | 否 | 否 | 来源字段 |
| 7 | source_id | int | 是 | 否 | 来源ID |
表 4-14-merchant_user(商户用户)
| 编号 | 字段名 | 类型 | 长度 | 是否非空 | 是否主键 | 注释 |
| 1 | merchant_user_id | int | 是 | 是 | 商户用户ID | |
| 2 | merchant_name | varchar | 64 | 否 | 否 | 商户名称 |
| 3 | merchant_address | varchar | 64 | 否 | 否 | 商户地址 |
| 4 | contact_phone | varchar | 16 | 否 | 否 | 联系电话 |
| 5 | merchant_certificate | varchar | 255 | 否 | 否 | 商户证书 |
| 6 | examine_state | varchar | 16 | 是 | 否 | 审核状态 |
| 7 | user_id | int | 是 | 否 | 用户ID | |
| 8 | create_time | datetime | 是 | 否 | 创建时间 | |
| 9 | update_time | timestamp | 是 | 否 | 更新时间 |
表 4-15-notice(公告)
| 编号 | 字段名 | 类型 | 长度 | 是否非空 | 是否主键 | 注释 |
| 1 | notice_id | mediumint | 是 | 是 | 公告ID | |
| 2 | title | varchar | 125 | 是 | 否 | 标题 |
| 3 | content | longtext | 4294967295 | 否 | 否 | 正文 |
| 4 | create_time | timestamp | 是 | 否 | 创建时间 | |
| 5 | update_time | timestamp | 是 | 否 | 更新时间 |
表 4-16-order_information(下单信息)
| 编号 | 字段名 | 类型 | 长度 | 是否非空 | 是否主键 | 注释 |
| 1 | order_information_id | int | 是 | 是 | 下单信息ID | |
| 2 | community_users | int | 否 | 否 | 社区用户 | |
| 3 | user_name | varchar | 64 | 否 | 否 | 用户姓名 |
| 4 | merchant_user | int | 否 | 否 | 商户用户 | |
| 5 | name_of_commodity | varchar | 64 | 否 | 否 | 商品名称 |
| 6 | commodity_type | varchar | 64 | 否 | 否 | 商品类型 |
| 7 | commodity_number | varchar | 64 | 否 | 否 | 商品编号 |
| 8 | commodity_price | varchar | 64 | 否 | 否 | 商品价格 |
| 9 | purchase_quantity | double | 否 | 否 | 购买数量 | |
| 10 | total_amount | double | 否 | 否 | 合计金额 | |
| 11 | contact_phone | varchar | 16 | 否 | 否 | 联系电话 |
| 12 | delivery_address | varchar | 64 | 否 | 否 | 配送地址 |
| 13 | order_time | datetime | 否 | 否 | 下单时间 | |
| 14 | ordering_remarks | text | 65535 | 否 | 否 | 下单备注 |
| 15 | pay_state | varchar | 16 | 是 | 否 | 支付状态 |
| 16 | pay_type | varchar | 16 | 否 | 否 | 支付类型: 微信、支付宝、网银 |
| 17 | distribution_information_limit_times | int | 是 | 否 | 接单配送限制次数 | |
| 18 | commodity_evaluation_limit_times | int | 是 | 否 | 评价商品限制次数 | |
| 19 | create_time | datetime | 是 | 否 | 创建时间 | |
| 20 | update_time | timestamp | 是 | 否 | 更新时间 | |
| 21 | source_table | varchar | 255 | 否 | 否 | 来源表 |
| 22 | source_id | int | 否 | 否 | 来源ID | |
| 23 | source_user_id | int | 否 | 否 | 来源用户 |
表 4-17-praise(点赞)
| 编号 | 字段名 | 类型 | 长度 | 是否非空 | 是否主键 | 注释 |
| 1 | praise_id | int | 是 | 是 | 点赞ID | |
| 2 | user_id | int | 是 | 是 | 点赞人 | |
| 3 | create_time | timestamp | 是 | 否 | 创建时间 | |
| 4 | update_time | timestamp | 是 | 否 | 更新时间 | |
| 5 | source_table | varchar | 255 | 否 | 否 | 来源表 |
| 6 | source_field | varchar | 255 | 否 | 否 | 来源字段 |
| 7 | source_id | int | 是 | 否 | 来源ID | |
| 8 | status | tinyint | 是 | 否 | 点赞状态:1为点赞,0已取消 |
表 4-18-schedule(日程管理)
| 编号 | 字段名 | 类型 | 长度 | 是否非空 | 是否主键 | 注释 |
| 1 | schedule_id | smallint | 是 | 是 | 日程ID | |
| 2 | content | varchar | 255 | 否 | 否 | 日程内容 |
| 3 | scheduled_time | datetime | 否 | 否 | 计划时间 | |
| 4 | user_id | int | 是 | 否 | 用户ID | |
| 5 | create_time | datetime | 否 | 否 | 创建时间 | |
| 6 | update_time | datetime | 否 | 否 | 更新时间 |
表 4-19-score(评分)
| 编号 | 字段名 | 类型 | 长度 | 是否非空 | 是否主键 | 注释 |
| 1 | score_id | int | 是 | 是 | 评分ID | |
| 2 | user_id | int | 是 | 否 | 评分人 | |
| 3 | nickname | varchar | 64 | 否 | 否 | 昵称 |
| 4 | score_num | double | 是 | 否 | 评分 | |
| 5 | create_time | timestamp | 是 | 否 | 创建时间 | |
| 6 | update_time | timestamp | 是 | 否 | 更新时间 | |
| 7 | source_table | varchar | 255 | 否 | 否 | 来源表 |
| 8 | source_field | varchar | 255 | 否 | 否 | 来源字段 |
| 9 | source_id | int | 是 | 否 | 来源ID |
表 4-20-slides(轮播图)
| 编号 | 字段名 | 类型 | 长度 | 是否非空 | 是否主键 | 注释 |
| 1 | slides_id | int | 是 | 是 | 轮播图ID | |
| 2 | title | varchar | 64 | 否 | 否 | 标题 |
| 3 | content | varchar | 255 | 否 | 否 | 内容 |
| 4 | url | varchar | 255 | 否 | 否 | 链接 |
| 5 | img | varchar | 255 | 否 | 否 | 轮播图 |
| 6 | hits | int | 是 | 否 | 点击量 | |
| 7 | create_time | timestamp | 是 | 否 | 创建时间 | |
| 8 | update_time | timestamp | 是 | 否 | 更新时间 |
表 4-21-upload(文件上传)
| 编号 | 字段名 | 类型 | 长度 | 是否非空 | 是否主键 | 注释 |
| 1 | upload_id | int | 是 | 是 | 上传ID | |
| 2 | name | varchar | 64 | 否 | 否 | 文件名 |
| 3 | path | varchar | 255 | 否 | 否 | 访问路径 |
| 4 | file | varchar | 255 | 否 | 否 | 文件路径 |
| 5 | display | varchar | 255 | 否 | 否 | 显示顺序 |
| 6 | father_id | int | 否 | 否 | 父级ID | |
| 7 | dir | varchar | 255 | 否 | 否 | 文件夹 |
| 8 | type | varchar | 32 | 否 | 否 | 文件类型 |
表 4-22-user(用户账户)
| 编号 | 字段名 | 类型 | 长度 | 是否非空 | 是否主键 | 注释 |
| 1 | user_id | int | 是 | 是 | 用户ID | |
| 2 | state | smallint | 是 | 否 | 账户状态:(1可用|2异常|3已冻结|4已注销) | |
| 3 | user_group | varchar | 32 | 否 | 否 | 所在用户组 |
| 4 | login_time | timestamp | 是 | 否 | 上次登录时间 | |
| 5 | phone | varchar | 11 | 否 | 否 | 手机号码 |
| 6 | phone_state | smallint | 是 | 否 | 手机认证:(0未认证|1审核中|2已认证) | |
| 7 | username | varchar | 16 | 是 | 否 | 用户名 |
| 8 | nickname | varchar | 16 | 否 | 否 | 昵称 |
| 9 | password | varchar | 64 | 是 | 否 | 密码 |
| 10 | | varchar | 64 | 否 | 否 | 邮箱 |
| 11 | email_state | smallint | 是 | 否 | 邮箱认证:(0未认证|1审核中|2已认证) | |
| 12 | avatar | varchar | 255 | 否 | 否 | 头像地址 |
| 13 | open_id | varchar | 255 | 否 | 否 | 针对获取用户信息字段 |
| 14 | create_time | timestamp | 是 | 否 | 创建时间 |
表 4-23-user_group(用户组)
| 编号 | 字段名 | 类型 | 长度 | 是否非空 | 是否主键 | 注释 |
| 1 | group_id | mediumint | 是 | 是 | 用户组ID | |
| 2 | display | smallint | 是 | 否 | 显示顺序 | |
| 3 | name | varchar | 16 | 是 | 否 | 名称 |
| 4 | description | varchar | 255 | 否 | 否 | 描述 |
| 5 | source_table | varchar | 255 | 否 | 否 | 来源表 |
| 6 | source_field | varchar | 255 | 否 | 否 | 来源字段 |
| 7 | source_id | int | 是 | 否 | 来源ID | |
| 8 | register | smallint | 否 | 否 | 注册位置 | |
| 9 | create_time | timestamp | 是 | 否 | 创建时间 | |
| 10 | update_time | timestamp | 是 | 否 | 更新时间 |
5系统实现
5.1社区用户功能实现
5.1.1首页
首页是系统的主界面,展示平台的核心内容,包括轮播图、最新网站公告、社区资讯、商品信息等。用户可以通过首页快速访问各个功能模块,还可以根据关键词搜索相关内容,如图所示。

图5-1系统首页界面图
5.1.2社区资讯
点击系统导航栏上的“社区资讯”菜单按钮,将进入社区资讯列表,用户可以查看系统发布的所有社区资讯内容。点击某社区资讯后进入详情页,可以查看该资讯的详细内容,用户可以点赞、收藏、评论等。社区资讯列表页面如图所示。

图5-2社区资讯列表界面图
5.1.3商品信息模块
用户点击首页“商品信息”按钮,会进入商品列表,支持通过商品名称进行搜索和筛选商品分类,用户点击可查看商品详情,包括名称、价格、库存、图片、详细描述等,用户可以进行加入购物车、立即购买、评论、收藏等操。商品信息界面如下图所示。

图5-3商品信息界面图
5.1.4个人中心
点击系统左上角的“个人中心”菜单按钮,用户可以查看下单信息和配送信息状态,可以提交对商家和商品评价,可以查看和删除收藏的内容,可以管理评论记录和被回复信息等。个人中心页面如图所示。

图5-4个人中心界面图
5.2管理员功能实现
5.2.1后台首页界面
管理员登录进入后台首页,可以查看商品信息金额统计、商品信息数量统计等统计图,以便于了解销售情况。后台首页界面如下图所示。

图5-5后台首页界面图
5.2.2系统用户管理
社区配送系统中的管理人员是可以对社区用户、商家用户、配送用户和管理员进行管理的,包括对用户信息进行增删改查等操作,也可以对管理员进行管控。界面如下图所示。

图5-6用户管理界面图
5.2.3 轮播图管理界面
管理员点击“轮播图管理”菜单,可以对前台展示的轮播图进行设置,界面如下图所示。

图5-7轮播图管理界面图
5.2.4网站公告管理界面
管理员点击“网站公告管理”这个菜单,可以对系统中的网站公告信息进行管理,包括网站公告信息的增删改查等操作。网站公告管理界面如下图所示。

图5-8网站公告管理界面图
5.2.5 资源管理界面
管理员点击“资源管理”菜单,管理员可以上传、编辑或删除系统的资源,如文章、图片、视频等。这些资源可用于社区资讯模块的展示。管理员还可以对解读进行分类和标签化,方便用户查找和使用,界面如下图所示。

图5-9资源管理界面图
5.3商家用户功能实现
5.3.1 商品信息管理界面
商家用户点击“商品信息”这一菜单会显示商品信息、分类列表、订单列表、订单售后四个子菜单,点击“商品信息”可以查看商品信息和用户评论,可以添加新的商品信息,还可以进行查询、重置、删除等操作。商品信息界面如下图所示。

图5-10商品信息添加界面图
5.4配送用户功能实现
5.4.1 配送信息管理界面
配送用户点击“配送信息管理”这一菜单,可以查看自己的配送任务,可以进行查看详情、查询、重置等操作。配送信息列表界面如下图所示。

图5-11配送信息列表界面图
6系统测试
6.1测试目的
测试的主要目的是确保系统的功能和性能满足预期的需求,同时识别和修复潜在的缺陷。通过系统测试,可以验证各个功能模块的正确性和稳定性,确保系统在不同使用场景下的表现符合设计要求。测试目的包括确认系统功能的完整性、验证数据处理的准确性、评估系统的性能和安全性。测试还可以提高用户满意度,保证用户在使用系统时获得流畅和可靠的体验。通过全面的测试,可以降低后期维护成本,减少系统上线后出现故障的风险,从而保障系统的长期稳定运行。
6.2测试方法
在本系统中,测试方法主要依赖于测试用例的设计与执行。测试用例是根据系统需求文档编写的,覆盖所有功能模块及其边界情况。每个测试用例包含输入数据、预期结果和实际结果的对比,以验证系统的功能是否按预期工作。
常见的测试用例包括功能测试用例、边界测试用例和异常测试用例[13]。功能测试用例针对系统的各项功能进行验证;边界测试用例则侧重于输入数据的边界条件,验证系统在极端情况下是否能够稳定运行;异常测试用例则用于验证系统在处理错误输入或异常情况时的反应。本文选择功能测试用例进行系统测试。
在测试执行过程中,记录每个用例的执行结果,并根据实际结果与预期结果的对比,判断系统是否存在缺陷。通过系统化的测试用例执行,可以有效提高测试的覆盖率和效率,为系统的最终上线提供保障。
6.3测试内容
通过对系统中所含的主要实体对象及其功能操作进行测试用例设计。以下是详细的测试:
表6-1用户注册登录测试表
用户注册登录测试用例:
| 用例说明 | 测试目的 | 测试步骤 | 预期结果 | 输出结果 | 通过情况 |
| 用户注册、登录 | 测试用户正确注册、登录 |
| 用户注册成功,登录成功 | 结果输出符合预期 | 通过 |
表6-2商品信息测试表
商品信息用例:
| 用例说明 | 测试目的 | 测试步骤 | 预期结果 | 输出结果 | 通过情况 |
| 商品信息 | 测试用户商品信息功能 |
| 用户商品信息成功,生成订单列表 | 结果输出符合预期 | 通过 |
表6-3社区资讯评论测试表
社区资讯评论测试用例:
| 用例说明 | 测试目的 | 测试步骤 | 预期结果 | 输出结果 | 通过情况 |
| 社区资讯评论 | 测试用户社区资讯评论功能 | 1、在首页点击社区资讯并看详情; 2、点击评论,输入相关信息点击提交 | 生成新的评论信息 | 结果输出符合预期 | 通过 |
表6-4社区资讯添加测试表
管理员社区资讯添加测试用例:
| 用例说明 | 测试目的 | 测试步骤 | 预期结果 | 输出结果 | 通过情况 |
| 社区资讯添加测试 | 测试管理员添加社区资讯功能 |
| 社区资讯添加成功 | 结果输出符合预期 | 通过 |
表6-5网站公告删除测试表
网站公告删除测试用例:
| 用例说明 | 测试目的 | 测试步骤 | 预期结果 | 输出结果 | 通过情况 |
| 网站公告删除测试 | 测试网站公告删除功能 |
| 网站公告删除成功,前端不在展示该网站公告 | 结果输出符合预期 | 通过 |
6.4测试结论
经过上述测试,并对测试数据结果综合分析。社区配送系统具备简便,数据透明等特性。完全符合社区配送系统的要求。
结 论
通过对基于Spring Boot、Java和MySQL的社区配送系统的设计与实现,本课题展示了一种高效、可扩展的解决方案,旨在提升社区配送的服务质量和操作效率。系统通过细分角色和功能模块,充分满足了不同用户群体的需求,包括社区用户、商户用户、配送用户和管理员。社区用户可以轻松浏览商品、下单并追踪配送进度;商户用户能够高效地管理商品信息、处理订单并查看用户反馈;配送用户可以实时查看配送任务并管理配送进度;管理员则能够全面管理平台数据,确保系统的正常运营。
该系统利用Spring Boot框架构建了高效的后端架构,采用MySQL数据库作为数据存储,确保了数据的安全性和高效性。此外,系统的设计注重了模块化开发,具备良好的扩展性和可维护性。通过实践证明,该系统不仅能够提高配送效率,优化用户体验,还能降低管理成本,提升商户的运营能力。
总体来说,本课题的实现提供了一种现代社区配送问题的有效解决方案,具有较高的实用价值和推广潜力。未来,可以根据实际需求对系统进行进一步的优化和功能扩展,如增加智能推荐、优化配送路线等,以适应更为复杂的社区配送场景。
参考文献
- 冯志林.Java EE程序设计与开发实践教程[M].机械工业出版社:202105.353.
- 尹应荆.JAVA编程语言在计算机软件开发中的应用[J].石河子科技,2023,(05):45-47.
- 刘江涛,王亮亮,吴庆茹,等.基于B/S模式的铁路勘测设计案例信息化管理系统设计与实现[J].铁路计算机应用,2021,30(03):32-35.
- 张丹丹,李弘.基于B/S架构的办公管理系统设计与开发[J].铁路通信信号工程技术,2024,21(09):44-48+106.
- 王志亮,纪松波.基于SpringBoot的Web前端与数据库的接口设计[J].工业控制计算机,2023,36(03):51-53.
- 熊永平.基于SpringBoot框架应用开发技术的分析与研究[J].电脑知识与技术,2021,15(36):76-77.
- 赵媛.基于Vue的Web系统前端性能优化分析[J].电脑编程技巧与维护,2024,(09):44-46.
- 秦冬.浅析Vue框架在前端开发中的应用[J].信息与电脑(理论版),2024,36(13):61-63.
- 李艳杰.MySQL数据库下存储过程的综合运用研究[J].现代信息科技,2023,7(11):80-82+88.
- 陈倩怡,何军.Vue+Springboot+MyBatis技术应用解析[J].电脑编程技巧与维护,2020,(01):14-15+28.
- 周晓玉,崔文超.基于Web技术的数据库应用系统设计[J].信息与电脑(理论版),2023,35(09):189-191.
- 马艳艳,吴晓光.计算机软件与数据库的设计策略分析[J].电子技术,2024,53(05):104-105.
- 李俊萌.计算机软件测试技术与开发应用策略分析[J].信息记录材料,2023,24(03):50-52.
- 向育程,段元梅.基于Java的网上商城系统[J].电脑编程技巧与维护,2024,(08):32-34.
- 马哈沙提·吐苏别克,哈丽代·江特拉克.牛羊冷鲜肉配送管理系统设计与研究[J].畜禽业,2020,31(10):18-19.DOI:10.19567/j.cnki.1008-0414.2020.10.009.
- 张韵淇.华润万家连锁超市配送管理对策研究[J].农家参谋,2020,(23):147-148.
- Alvin R ,Tony T ,Venkat B .Advanced Distribution Management Systems: Connectivity Through Standardized Interoperability Protocols[J].IEEE Power and Energy Magazine,2020,18(1):26-33.
- 孙凤娇,郭相臣,齐东东,等.基于Arduino的饮用水配送管理系统[J].电子世界,2018,(12):159+161.DOI:10.19353/j.cnki.dzsj.2018.12.089.
- Zengyu Cai,Yuanbo Liu,Yong Gan,Jingxiao Li,Yuan Feng.Design and Implementation of Online Mall System based on Java Web[J].International Journal of Performability Engineering,2019,15(12):3237-3244.
- Yong Peng,Shi Wang.Research and design of online drug mall system based on SOA[J].International Journal of Biomedical Engineering and Technology,2023,42(1):64-77.
- Husein, S. M. A.,Braimah, A.,Birteeb, P. T..Distribution of Sheep Fattening Practices and Marketing Systems in the Sagnarigu Municipality inNorthern Ghana[J].Journal of Scientific Research and Reports,2024,30(10):739-755.
致 谢
本论文的完成离不开众多导师、同学以及亲友的支持与帮助。在此,首先向我的导师表示最诚挚的感谢。在整个研究和写作过程中,导师以严谨治学的态度和丰富的专业知识给予了我无私的指导,从论文选题到最终定稿的每一个环节,都为我提供了宝贵的建议与意见,使我得以不断完善研究内容、拓展学术视野。导师耐心细致的指导不仅帮助我解决了许多学术难题,也让我在研究能力与学术写作方面得到了显著的提升。导师的鼓励与支持是我完成这篇论文的重要动力,也让我深刻体会到学术研究的严谨性与意义。
我还要感谢在学习生活中给予我帮助和支持的同学、朋友以及家人。论文撰写过程中,许多同学与我共同探讨问题,分享经验与资料,使我的研究更加全面深入。朋友们的关心和陪伴让我在繁忙的研究过程中能够调节心情,保持良好的状态。特别感谢我的家人,他们始终给予我无条件的理解和支持,为我创造了安心学习与研究的环境。正是因为有了大家的帮助和支持,我才能克服论文写作中的重重困难并顺利完成。再次向所有支持和帮助过我的人表达衷心的感谢。
附录
系统核心代码设计
用户注册
注册页UserController.java,传入user对象,并将"user_id"、 "state"、 "user_group"、"login_time"、"phone"、"phone_state"、 "username"、"nickname"、"password"、"email"、"email_state"、"avatar"、"create_time"输入,重点是 "username"、"nickname"、"password"必须输入,通过获取username,数据库查询是否有该用户,如果存在,则提示“用户已存在”,否则执行将UserId置为空(数据库表中该字段已设置自动递增),代码如图所示。

注册核心代码图
用户登录
登录页,首先传入"username"、"email"、"phone"、"password",用户可通过用户名、邮箱、手机号进行登陆,通过判断resultList来确定查询结果,然后执行查询用户组UserGroup,用户组里面不存在,依然报“用户不存在”,执行完以上代码,最后涉及到用户带有“审核”的,会查询examine_state(用户的审核状态),数据库表user_group中含有source_table和source_field进行查询,以上步骤完成,对输入的密码进行存储Token到数据库,匹对账号和密码,数据库中的AccessToken为令牌,用于身份认证,代码如图所示。

用户登录核心代码图
修改密码
修改密码,通过请求data,获取旧密码,并将新密码重新赋值,期间都是需要通过加密,代码如图所示。

修改密码核心代码图
修改数据
修改一个数据,原理与add基本一致,不同点在于通过readConfig()读取关键字,以及通过readQuery()获取URL后面?指定位置的标识,转成Map对象后,执行update操作,同样通过拼接的sql语句执行,执行过程读取query,toWhereSql()语句完成数据库操作,body为修改对象的值,代码如图所示。

修改数据核心代码图
删除数据
删除一条数据,通过readQuery(),获取URL后面的对象地址,删除FROM具体的table,query删除查询FindConfig语句,代码如图示。

删除数据核心代码图
获取列表
通过请求的参数获取列表数据,代码如图所示。

获取列表核心代码图
图片上传
通过请求的参数获取列表数据,代码如图4-13所示。

图片上传核心代码图
请关注点赞+私信博主,免费领取项目源码
2161

被折叠的 条评论
为什么被折叠?



