目 录
摘 要
随着校园生活的多样性与个性化需求的不断增加,学生对于校园美食的需求越来越高,面对丰富多元的美食,学生常常出现选择困难的情况。因此,本研究引入k-means算法设计并实现一个便捷智能的校园美食推荐系统,以帮助学生更好地选择心仪的美食,提升就餐体验。该系统采用Java语言和Spring Boot框架进行后端业务开发,使用Vue框架构建前端交互界面,配合MySQL数据库实现数据的高效管理和安全传输储存。同时系统通过k-means算法进行聚类分析,通过收集分析用户历史行为数据以实现个性化推荐,为用户推荐更符合其喜好的美食内容。针对普通用户和管理员两大角色,本系统设计了数据分析、角色管理、美食分类管理、周边美食管理、系统管理、留言管理、美食公告管理、新闻管理、交流管理等核心功能,通过实现模块化功能和细化管理流程,优化了系统的整体性能与用户体验。通过系统测试与用户反馈,证明该系统具备良好的稳定性和可扩展性,能够有效管理效率和用户体验。本研究的成功实现,不仅能够有效满足用户的个性化美食需求,优化学生就餐体验,提升校园生活质量,还能通过数据分析为学校食堂或餐饮商家的管理提供有益的参考,具有积极的实际应用意义。
关键词:校园美食推荐系统;SpringBoot框架;Java语言;k-means算法
Abstract
With the increasing diversity and personalized needs of campus life, students' demand for campus cuisine is becoming higher and higher. Faced with a rich and diverse range of food, students often encounter difficulties in choosing. Therefore, this study introduces the k-means algorithm to design and implement a convenient and intelligent campus food recommendation system, in order to help students better choose their favorite foods and enhance their dining experience. The system adopts Java language and Spring Boot framework for backend business development, uses Vue framework to build frontend interactive interface, and cooperates with MySQL database to achieve efficient data management and secure transmission and storage. At the same time, the system uses the k-means algorithm for clustering analysis, collects and analyzes user historical behavior data to achieve personalized recommendations, and recommends food content that is more in line with users' preferences. For the two main roles of ordinary users and administrators, this system has designed core functions such as data analysis, role management, food classification management, surrounding food management, system management, message management, food announcement management, news management, and communication management. By implementing modular functions and refining management processes, the overall performance and user experience of the system have been optimized. Through system testing and user feedback, it has been proven that the system has good stability and scalability, and can effectively manage efficiency and user experience. The successful implementation of this study not only effectively meets users' personalized food needs, optimizes students' dining experience, and improves the quality of campus life, but also provides useful references for the management of school canteens or catering businesses through data analysis, with positive practical application significance.
Key Words:Campus food recommendation system; SpringBoot framework; Java language; k-means algorithm
1 前言
1.1 研究背景与意义
1.1.1 研究背景
随着社会经济的发展和人们生活水平的提高,学生的饮食需求日益多样化,尤其是在校园环境中,面对丰富的美食选择,学生们时常出现选择困难症,难以找到适合自己口味的餐厅或美食。同时,传统的美食推荐方式往往依赖于人为的推荐,容易出现推荐不精准的问题,难以满足用户个性化的需求。因此,构建一个智能精准的校园美食推荐系统显得尤为重要,能够为学生提供更加准确和个性化的美食选择。此外,计算机技术的迅速发展,尤其在数据挖掘和智能算法方面,使得美食推荐系统的实现成为可能。k-means算法作为一种经典的聚类分析方法,以其简单、高效的特点,被广泛地应用与数据分析与推荐系统。因此,引入基于机器学习的k-means算法,结合Java、Spring Boot和Vue等现代开发框架,可以构建出功能丰富且用户友好的校园美食推荐平台,有效提升推荐的准确性和用户体验。
1.1.2 研究意义
本研究旨在引入信息化技术设计和实现一套功能全面和用户友好的校园美食推荐系统,以满足学生日益增长的个性化美食需求,并提升他们的就餐体验。基于SpringBoot的校园美食推荐系统的开发,通过k-means算法实现聚类分析,根据学生的历史行为数据进行分析预测,实现个性化推荐,让学生能够更轻松地找到符合自己口味的美食,提升就餐体验,从而改善校园生活质量。系统还能够收集和分析用户及校园周边美食相关数据,为管理员的运营决策提供有价值的数据支持,实现数据驱动决策,提升运营效率和质量。通过系统的角色管理、交流功能与反馈建议模块,能够增强用户与用户、用户与管理员之间的互动交流,实现信息的及时反馈与共享,有助于营造好的社区氛围。本研究的实现不仅为校园美食推荐提供了解决方案,也为相关领域的智能推荐系统开发提供了一定的参考和思路,推动智能技术在日常生活中的应用,具有重要理论价值和实践意义。
1.2 国内外研究现状
1.2.1 国内研究现状
随着国内信息技术的迅猛发展,智能推荐系统已经逐渐被应用于各个领域,包括电商、社交媒体及餐饮行业。在美食推荐方面,相关研究也逐渐增多。近年来,各大高校和餐饮企业开始关注用户需求,通过数据分析与机器学习技术,为学生提供个性化的美食推荐服务。国内的校园美食推荐系统主要由美团、饿了吗及大众点评等大型互联网公司和一些创业公司进行研发,多采用移动端优先的设计思路,强调便捷性和即时性,以满足学生随时随地查询美食的需求。例如,美团、大众点评等平台利用大数据分析用户评论和评分数据,通过协同过滤、基于内容的过滤和深度学习算法为用户提供个性化的美食推荐服务。同时,针对校园环境的一些特定需求,如“吃货部落”、“餐饮智能推荐”等创业项目则重点关注如何提供更加专业和精细化的服务,并通过与校园食堂合作,提供在线点餐、预订座位等功能,提升用户的就餐体验。然而,现阶段的美食推荐系统仍然面临一些挑战,如数据获取途径相对单一、算法应用的局限性以及用户体验设计不足等,且面向校园学生类的,针对性的校园美食推荐系统较少。因此,进一步推动算法研究与实践,结合用户反馈进行系统优化,实现一个校园美食推荐系统可以丰富信息技术及推荐算法在餐饮和校园领域的研究与应用。
1.2.2 国外研究现状
国外方面,关于美食推荐系统的研究相对较为成熟,特别是在欧美国家,许多大型餐饮企业和线上美食平台都结合用户数据与高效算法,构建了复杂的推荐引擎。国外研究主要集中在利用用户的历史行为数据(如浏览历史、购买记录)、社交网络数据以及位置信息来提供个性化的美食推荐。例如,像Yelp和Zomato等针对美食推荐的商业服务平台,依托于成熟的互联网生态和广泛的数据来源,通过对用户的评分、评论以及行为数据进行综合分析,采用混合推荐方法,为用户提供精准的美食推荐。国外的美食推荐系统不仅依赖传统的协同过滤算法,还结合了深度学习、自然语言处理等先进技术,以提高推荐的准确性和用户体验。同时Facebook的研究支出利用深度学习技术来分析用户的食物偏好,能够进一步提升推荐的准确性和个性化水平。此外,国外公司还专注于满足特定用户的餐饮需求,例如素食者、健康饮食爱好者或高端餐饮消费者,以实现更加细分化的餐饮推荐服务。如专注于食品搭配研究的公司Foodpairing通过科学的方法帮助用户找到最佳的食物组合;还有向印度市场的EatTreat美食推荐应用,则根据用户的健康状况和饮食偏好来推荐适合的菜品。
无论是国外还是国内,美食推荐系统都在不断向着更加智能化、个性化、多样化的方向发展,旨在为用户提供更佳的服务体验,同时也帮助商家更好地理解和满足顾客需求。
1.3 论文章节安排
本文主要围绕如何基于SpringBoot架构设计与实现一套校园美食推荐系统,主要包含绪论、关键技术介绍、系统分析、系统设计、系统实现、系统测试、结论等内容,具体论文章节和结构如下。
前言:本章主要介绍校园美食推荐系统的研究背景和意义、国内外研究现状及论文的整体结构安排。
相关技术介绍:本章详细描述Java语言、SpringBoot框架、MySQL数据库等关键技术各自的特点及其在项目中的作用。
系统分析:本章从需求分析入手,明确系统的功能需求和非功能需求,包含可行性、功能、用例及性能等方面,为系统开发奠定基础。
系统设计:本章主要从软件工程的角度,对系统的架构、功能、数据库等方面对系统进行详细设计。
系统实现:本章介绍系统开发实现过程,具体描述关键模块的实现细节并给出界面截图。
系统测试:本章说明系统测试方案、测试用例及测试结果,以验证系统功能和性能。
总结与展望:本章主要总结研究成果,指出系统不足之处,并对未来工作提出展望。
2 相关技术介绍
校园美食推荐系统使用Java语言作为主要语言,基于SpringBoot框架,结合Vue.js框架等技术开发而成,存储数据使用的是使用较为广泛的MySQL数据库。同时借助K-Means算法实现个性化推荐。系统所使用的系统开发环境如下表2.1所示。
表2.1系统开发环境
| 开发环境类型 | 开发技术和工具名称 |
| 操作系统版本 | Win10 |
| 数据库环境 | MySQL5.7 |
| JDK版本 | JDK1.8.0_191 |
| 开发语言 | Java |
| 主要技术 | SpringBoot2、Vue.js、K-Means、Apache Tomcat8.5、Webpack 4.0、Element UI、Navicat、bootstrap…… |
| 浏览器 | Chrome |
2.1 Java语言
Java是一种广泛使用的高级编程语言,具有跨平台和面向对象的特性,以其"编写一次,到处运行"的理念而闻名。它具有强大的跨平台能力、垃圾回收机制和丰富的标准库支持,非常适合构建大型企业级应用程序[1]。Java的强类型系统和面向对象特性使得代码结构清晰,易于维护和扩展。同时Java成熟生态和丰富的库使得开发者能够高效构建复杂的应用程序[2]。在校园美食推荐系统设计与实现中,Java主要用于后端逻辑的实现,为服务提供稳定和高效的支持。
2.2 MySQL数据库
MySQL是一款广受欢迎的关系数据库管理系统,它能够高效地存储和处理大量的数据[3]。MySQL在Web应用程序中有着卓越的表现,是众多开发者的首选。MySQL遵循SQL语言的标准,这是一种通用的数据库操作语言,简单易学,功能强大,结合Apache服务器,MySQL可以构建出一个优秀的开发环境[4]。本校园美食推荐系统选择MySQL数据库作为数据储存单元,用来存储和管理所有必要的业务数据,通过合理设计数据库结构和表关系,可以确保数据的一致性和完整性,同时利用MySQL的强大查询功能快速响应前端的各种数据请求,为用户提供流畅的服务体验。
2.3 SpringBoot框架
Spring Boot是Spring框架的一个子项目,能够简化基于Spring的应用开发,通过自动配置和起步依赖(starter dependencies)极大地减少了设置和配置的工作量[5]。Spring Boot通过提供默认配置来简化Spring应用的设置,使得开发者可以快速上手而无需进行复杂的XML配置。同时Spring Boot提供了生产就绪功能,包括度量收集、健康检查等,非常适合构建微服务架构下的独立应用程序和服务[6]。在校园美食推荐系统中,Spring Boot 作为基础框架,主要用于实现后端业务逻辑,创建处理前端请求的RESTful API,管理与MySQL数据库的数据交互,并通过Spring Security增强系统的安全性。此外,借助Spring Boot Actuator提供的监控和维护功能,确保了系统的稳定性和可靠性,从而实现了一个高效、安全且易于维护的系统。
2.4 B/S模式
B/S模式,即浏览器/服务器模式,是一种常见的网络应用架构模式。在B/S模式中,用户通过浏览器作为客户端与服务器进行交互[7]。在浏览器/服务器(browser / Server Architecture)系统中,用户只需通过浏览器,就能够轻松地向分布在网络各处的众多服务器发送海量的请求。B/S系统大大地简化了客户端的工作,让用户体验更加便捷[8]。本校园美食推荐系统的实现采用B/S架构,能够让用户无需安装额外软件,通过网页浏览器即可快速访问系统,实现系统功能操作。
2.5 Vue.js框架
Vue.js作为一个渐进式JavaScript框架,旨在构建用户界面和单页应用程序。它通过灵活的组件化结构和数据双向绑定,使开发者能够轻松地管理和更新视图,同时提供了清晰的API[9]。这种易用性不仅加速了开发流程,还提高了应用的可维护性。Vue支持虚拟DOM,提高了渲染性能,同时具备健全的生态系统,拥有丰富的工具和插件,如Vue Router和Vuex,使得开发复杂的Web应用变得更加高效和便捷。在校园美食推荐系统中,Vue.js用于前端页面的构建,提供动态的数据展示和用户交互功能,如搜索栏、推荐列表等。
2.6 K-Means算法
K-Means是一种常用的聚类分析方法,用于将一组对象划分为多个簇(clusters),使同一簇内的对象尽可能相似,而不同簇之间的对象尽可能不同[10]。在校园美食推荐系统中,K-Means算法被用来根据用户的点击、评论、收藏及点赞等行为数据进行统计、分析与预测,进而为每个用户提供个性化的美食内容推荐。
3 需求分析
3.1 可行性分析
通过综合考虑技术、经济、操作等因素,可以对基于SpringBoot的校园美食推荐系统的可行性进行全面评估。这将有助于确定项目的成功概率,并为项目规划提供坚实的基础。
3.1.1 技术可行性分析
当前,SpringBoot框架已被广泛应用于Web开发领域,具有丰富的开发社区支持和技术文档。本系统采用Spring Boot作为后端框架,利用Vue.js技术进行前端开发,结合MySQL数据库用于数据存储,这种组合不仅提供了强大的功能支持,还具有良好的扩展性和灵活性。Spring Boot的自动配置和优化特性,加上MySQL的强大查询能力和数据管理功能,确保了系统的高性能和稳定性。Vue.js能够提供的全面API支持和组件库,有助于快速构建高效的应用界面。此外,K-Means作为一种成熟的聚类算法,其实现相对简单且性能稳定,适用于处理大规模用户数据进行聚类分析。系统的硬件与软件环境均可通过现有的服务器资源进行搭建,网络连接和数据库等基础设施完整,技术上具备实现该项目的能力。
3.1.2 经济可行性分析
系统所使用的Java语言、SpringBoot框架、Vue.js框架等开发技术和工具大部分都是当下流行开源免费的,且在校内进行过系统学习,能够由本人独自完成开发,大大降低了项目开发成本。所以系统在开发人力、财力上要求不高,而且此系统不是很复杂,开发周期短。此外系统上线后,可以通过广告和其他增值服务创造营收以支撑系统运维成本。所以,在经济方面具有较高的可行性。
3.1.3 操作可行性分析
本系统将考虑用户的具体需求,通过用户测试与反馈不断优化界面与功能。系统的设计采用Vue.js构建的前端界面,注重易用性,界面设计简洁直观,操作流程清晰明了,以确保各类用户均顺利操作,只要具备一定基本计算机知识的人即可流畅使用本系统。此外,Spring Boot的自动化配置和内置健康检查等功能简化了系统维护工作,结合MySQL的可靠性和稳定性,保证了系统的持续稳定运行。因此操作可行性也没有问题。
3.2 功能需求分析
通过对应的功能做了需求分析以后该校园美食推荐系统各角色主要包括的功能说明如下。
根据使用该系统的用户角色可以划分为普通用户和管理员两大用户,其中管理员是系统最高权限拥有者,负责维护和管理系统。
- 普通用户角色:
- 注册登录:提供用户注册和登录功能,确保用户可以创建账户和正常访问系统,以便使用系统全部功能,进行相应操作。
- 首页:展示系统的主要内容、信息概览和功能入口,让用户快速了解系统的最新动态,实现周边美食推荐功能(使用k-means,对用户的点击、评论、收藏及点赞等行为数据进行统计、分析与预测,推荐用户更可能感兴趣的内容)。
- 交流论坛:提供交流论坛功能,用户可以在交流论坛自己的经验、问题,同时浏览和评论其他用户的分享,并进行收藏。
- 美食公告:展示系统的美食公告,包括系统更新、公告通知、美食活动等重要信息,确保用户及时获取重要信息。
- 美食资讯:提供美食相关的文章、新闻报道等资讯内容,让用户获取到各种有关美食资讯的实用信息。
- 反馈建议:实现反馈建议功能,用户可以发表留言,提交反馈建议信息,寻求帮助,提出问题建议等,提交反馈建议信息由管理员在后台处理回复。
- 周边美食:展示周边美食信息,用户可以浏览周边美食详细内容,对周边美食进行收藏、点赞和评论,并支持分享到其他社交平台。
- 我的账户:允许用户管理个人账户信息,包括修改密码、查看个人信息等操作,保障账户安全和隐私。
- 个人中心:展示用户的个人信息和相关操作入口(包括个人首页、收藏、评论管理),方便用户管理自己的内容和信息。具体如下:
个人首页:展示用户的个人信息,基本资料。
收藏:用户可管理收藏的美食资讯、周边美食等各类系统信息。
评论管理:用户可查看和管理自己发布的评论,删除不当内容。
校园美食推荐系统普通用户角色用例图如下所示。

图3.1 普通用户角色用例图
- 管理员角色:
- 登录:提供管理员用户登录功能,确保只有授权的管理员可以访问系统后台,更新系统各类信息和维护系统正常运转,支持更新个人资料和密码。
- 数据分析:展示系统各类数据统计分析图表,管理员的个人信息等内容,并提供系统相关操作入口,方便管理员快速进行管理和监控。
- 角色管理:允许管理员管理系统的用户(普通用户和管理员),包括添加新用户、编辑用户信息、重置密码及封禁用户等操作,以确保系统的权限管理和安全性。
- 美食分类管理:提供美食分类信息的管理功能,允许管理员增改删查美食分类信息。
- 周边美食管理:提供周边美食的管理功能,支持管理员发布、编辑、删除和搜索周边美食,及查看相关评论内容,确保及时更新周边美食信息和维护评论内容。
- 系统管理:可以对前台展示的轮播图进行设置,允许管理员上传、更新、删除轮播图,并支持附带相应图片跳转链接。
- 留言管理:提供反馈建议信息的管理功能,支持管理员查阅和删除用户提交的反馈建议信息,实现回复和查看回复操作,负责处理回复反馈建议。
- 美食公告管理:提供美食公告的管理功能,允许管理员发布、编辑、删除系统美食公告,确保用户及时了解重要信息。
- 新闻管理:提供美食资讯和资讯分类的管理功能,支持管理员发布、编辑、删除美食资讯内容,进行资讯分类管理,并可管控相关评论内容。
- 交流管理:提供交流论坛和论坛分类的管理功能,支持管理员发布、编辑、删除交流论坛内容,进行论坛分类管理,提供置顶功能,并可管控相关评论内容。
校园美食推荐系统管理员角色用例图如下所示。

图3.2 管理员角色用例图
3.3 性能需求分析
用户操作响应时间:系统应保证用户在操作平台时的响应速度,例如实现添加信息、搜索信息等操作应该迅速响应。
系统稳定性:平台应具备一定的容错能力和稳定性,防止因为意外情况导致系统崩溃。
数据安全:用户信息等敏感数据需要加密存储,确保数据安全性。
系统并发能力:平台应考虑到可能大量用户同时访问的情况,保证系统的并发处理能力。
日志记录:系统需要记录用户操作日志、异常日志等,便于排查问题和分析用户行为。
基于以上性能需求将确保校园美食推荐系统能够稳定、高效地运行,能够很好地满足用户和管理员的需求。
3.4 系统流程分析
3.4.1 用户注册流程图
注册的过程,第一部分是账号的注册,第二部分是信息完善。在业务开展过程中,管理员可对用户信息进行修改等管理操作,注册流程如图3.3用户注册流程图所示。

图3.3 用户注册流程图
3.4.2 用户登录流程图
登录时,用户填写用户名、密码、选择身份进行登录,在登录过程中后端会对发送过来的信息进行验证和判断,具体的登录流程如图3.4用户登录流程图所示。

图3.4 用户登录流程图
4 系统设计
4.1 系统功能模块设计
基于校园美食推荐系统程序采用前后端分离的设计,可以划分为普通用户模块和管理员模块两大部分。其中普通用户是系统主要使用者。普通用户可搜索和浏览包括公告、资讯、帖子及美食等各类系统信息;同时普通用户还可发布交流贴和发表反馈留言。系统管理员则负责系统各类信息的日常更新,处理和管理系统请求,进行系统设置和维护等关键任务。系统总体功能模块图如下图所示。
图4.1系统功能模块图
4.2 数据库设计
数据库的设计是系统的设计中比较重要的一部分内容,数据库设计是一切系统设计的基础,首先需要进行概念模型E-R图的设计,然后进行关系模型物理模型的建立。
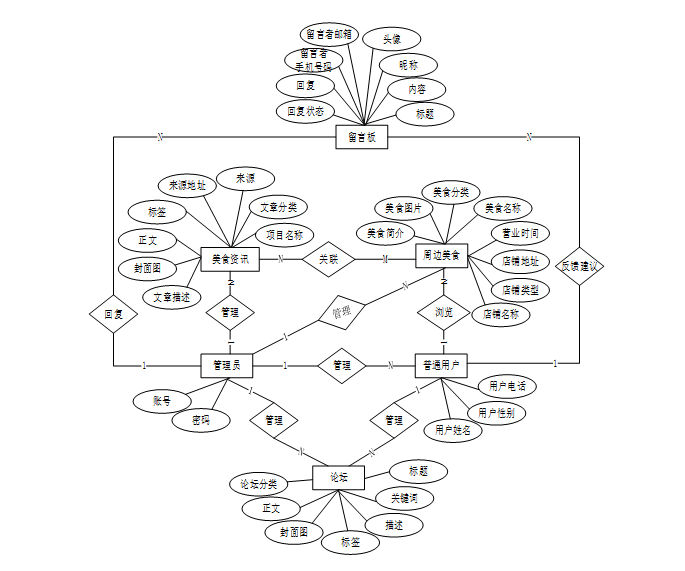
4.2.1 E-R图设计
本文在系统分析阶段主要抽取了主要实体,根据实体之间的关系,经过分析进行系统E-R图的设计。校园美食推荐系统总体E-R图如下图所示。

图4.2 系统总体E-R图
4.2.2 数据表设计
本系统采MySQL数据库管理系统对数据进行管理。下面是对各个表中的表中各个字段数据类型、大小等做简短描述。校园美食推荐系统所需要的部分数据结构表如下所示。
| 编号 | 字段名 | 类型 | 长度 | 是否非空 | 是否主键 | 注释 |
| 1 | ordinary_user_id | int | 是 | 是 | 普通用户ID | |
| 2 | user_name | varchar | 64 | 否 | 否 | 用户姓名 |
| 3 | user_gender | varchar | 64 | 否 | 否 | 用户性别 |
| 4 | user_phone | varchar | 64 | 否 | 否 | 用户电话 |
| 5 | examine_state | varchar | 16 | 是 | 否 | 审核状态 |
| 6 | user_id | int | 是 | 否 | 用户ID |
表4.2 surrounding_cuisine(周边美食)
| 编号 | 字段名 | 类型 | 长度 | 是否非空 | 是否主键 | 注释 |
| 1 | surrounding_cuisine_id | int | 是 | 是 | 周边美食ID | |
| 2 | shop_name | varchar | 64 | 否 | 否 | 店铺名称 |
| 3 | store_type | varchar | 64 | 否 | 否 | 店铺类型 |
| 4 | store_address | varchar | 64 | 否 | 否 | 店铺地址 |
| 5 | business_hours | varchar | 64 | 否 | 否 | 营业时间 |
| 6 | food_name | varchar | 64 | 否 | 否 | 美食名称 |
| 7 | food_classification | varchar | 64 | 否 | 否 | 美食分类 |
| 8 | food_pictures | varchar | 255 | 否 | 否 | 美食图片 |
| 9 | food_introduction | text | 65535 | 否 | 否 | 美食简介 |
| 10 | hits | int | 是 | 否 | 点击数 | |
| 11 | praise_len | int | 是 | 否 | 点赞数 | |
| 12 | collect_len | int | 是 | 否 | 收藏数 | |
| 13 | comment_len | int | 是 | 否 | 评论数 | |
| 14 | recommend | int | 是 | 否 | 智能推荐 |
表4.3 article(文章)
| 编号 | 字段名 | 类型 | 长度 | 是否非空 | 是否主键 | 注释 |
| 1 | article_id | mediumint | 是 | 是 | 文章id | |
| 2 | title | varchar | 125 | 是 | 是 | 标题 |
| 3 | type | varchar | 64 | 是 | 否 | 文章分类 |
| 4 | hits | int | 是 | 否 | 点击数 | |
| 5 | praise_len | int | 是 | 否 | 点赞数 | |
| 6 | source | varchar | 255 | 否 | 否 | 来源 |
| 7 | url | varchar | 255 | 否 | 否 | 来源地址 |
| 8 | tag | varchar | 255 | 否 | 否 | 标签 |
| 9 | content | longtext | 4294967295 | 否 | 否 | 正文 |
| 10 | img | varchar | 255 | 否 | 否 | 封面图 |
| 11 | description | text | 65535 | 否 | 否 | 文章描述 |
表4.4 forum(论坛)
| 编号 | 字段名 | 类型 | 长度 | 是否非空 | 是否主键 | 注释 |
| 1 | forum_id | mediumint | 是 | 是 | 论坛ID | |
| 2 | display | smallint | 是 | 否 | 排序 | |
| 3 | user_id | mediumint | 是 | 否 | 用户ID | |
| 4 | nickname | varchar | 16 | 否 | 否 | 昵称 |
| 5 | praise_len | int | 否 | 否 | 点赞数 | |
| 6 | hits | int | 是 | 否 | 访问数 | |
| 7 | title | varchar | 125 | 是 | 否 | 标题 |
| 8 | keywords | varchar | 125 | 否 | 否 | 关键词 |
| 9 | description | varchar | 255 | 否 | 否 | 描述 |
| 10 | url | varchar | 255 | 否 | 否 | 来源地址 |
| 11 | tag | varchar | 255 | 否 | 否 | 标签 |
| 12 | img | text | 65535 | 否 | 否 | 封面图 |
| 13 | content | longtext | 4294967295 | 否 | 否 | 正文 |
| 14 | avatar | varchar | 255 | 否 | 否 | 发帖人头像 |
| 15 | type | varchar | 64 | 是 | 否 | 论坛分类 |
| 16 | istop | int | 是 | 否 | 是否置顶 |
表4.5 message(留言板)
| 编号 | 字段名 | 类型 | 长度 | 是否非空 | 是否主键 | 注释 |
| 1 | message_id | int | 是 | 是 | 留言板ID | |
| 2 | user_id | int | 是 | 否 | 用户ID | |
| 3 | title | varchar | 64 | 否 | 否 | 标题 |
| 4 | content | longtext | 4294967295 | 是 | 否 | 内容 |
| 5 | nickname | varchar | 32 | 是 | 否 | 昵称 |
| 6 | avatar | varchar | 255 | 否 | 否 | 头像 |
| 7 | | varchar | 125 | 否 | 否 | 留言者邮箱 |
| 8 | phone | varchar | 11 | 否 | 否 | 留言者手机号码 |
| 9 | reply | longtext | 4294967295 | 否 | 否 | 回复 |
| 10 | reply_state | tinyint | 否 | 否 | 回复状态 |
5 系统实现
5.1 普通用户模块功能实现
5.1.1 注册模块
用户在注册页面填写表单,通过提供如用户名、密码、电子邮件地址等必要的信息进行注册,注册信息主要用于验证身份并与用户帐户关联。系统将对输入的信息进行验证,比如检查用户名或电子邮件是否已存在、密码的复杂度等,验证通过,即注册成功。界面布局如下图所示:
图5.1 前台注册界面图
注册关键代码如下所示:
/**
* 注册
* @param user
* @return
*/
@PostMapping("register")
public Map<String, Object> signUp(@RequestBody User user) {
// 查询用户
Map<String, String> query = new HashMap<>();
Map<String,Object> map = JSON.parseObject(JSON.toJSONString(user));
query.put("username",user.getUsername());
List list = service.selectBaseList(service.select(query, new HashMap<>()));
if (list.size()>0){
return error(30000, "用户已存在");
}
map.put("password",service.encryption(String.valueOf(map.get("password"))));
service.insert(map);
return success(1);
}
5.1.2 登录模块
用户在登录页面输入用户名和密码,系统回检查输入的凭据是否与数据库中存储的信息匹配。若匹配,用户身份验证成功即可成功登录系统;若不匹配,系统会提示错误。界面布局如下图所示:
图5.2 前台登录界面图
登录关键代码如下所示:
/**
* 登录
* @param data
* @param httpServletRequest
* @return
*/
@PostMapping("login")
public Map<String, Object> login(@RequestBody Map<String, String> data, HttpServletRequest httpServletRequest) {
log.info("[执行登录接口]");
String username = data.get("username");
String email = data.get("email");
String phone = data.get("phone");
String password = data.get("password");
List resultList = null;
Map<String, String> map = new HashMap<>();
if(username != null && "".equals(username) == false){
map.put("username", username);
resultList = service.selectBaseList(service.select(map, new HashMap<>()));
}
else if(email != null && "".equals(email) == false){
map.put("email", email);
resultList = service.selectBaseList(service.select(map, new HashMap<>()));
}
else if(phone != null && "".equals(phone) == false){
map.put("phone", phone);
resultList = service.selectBaseList(service.select(map, new HashMap<>()));
}else{
return error(30000, "账号或密码不能为空");
}
if (resultList == null || password == null) {
return error(30000, "账号或密码不能为空");
}
//判断是否有这个用户
if (resultList.size()<=0){
return error(30000,"用户不存在");
}
5.1.3 首页模块
用户登录后首先进入系统首页界面,首页主展示系统的主要内容、信息概览和功能入口,让用户快速了解系统的最新动态,实现周边美食推荐功能(使用k-means,对用户的点击、评论、收藏及点赞等行为数据进行统计、分析与预测,推荐用户更可能感兴趣的内容)。界面布局如下图所示:
图5.3 前台首页界面图
5.1.4 交流论坛模块
交流论坛模块为用户主要提供交流论坛功能,用户可以在交流论坛自己的经验、问题,同时浏览和评论其他用户的分享,并进行收藏。界面布局如下图所示:
图5.4 交流论坛界面图
交流论坛关键代码如下所示:
@RequestMapping("/get_list")
public Map<String, Object> getList(HttpServletRequest request) {
Map<String, Object> map = service.selectToPage(service.readQuery(request), service.readConfig(request));
return success(map);
}
@PostMapping("/add")
@Transactional
public Map<String, Object> add(HttpServletRequest request) throws IOException {
service.insert(service.readBody(request.getReader()));
return success(1);
}
public Map<String, Object> addMap(Map<String,Object> map){
service.insert(map);
return success(1);
}
5.1.5 反馈建议模块
反馈建议模块主要实现反馈建议的留言功能,用户可以发表留言,提交反馈建议信息,寻求帮助,提出问题建议等,提交反馈建议信息由管理员在后台处理回复。界面布局如下图所示:
图5.5 反馈建议界面图
发布留言关键代码如下所示:
@PostMapping("/add")
@Transactional
public Map<String, Object> add(HttpServletRequest request) throws IOException {
service.insert(service.readBody(request.getReader()));
return success(1);
}
public Map<String, Object> addMap(Map<String,Object> map){
service.insert(map);
return success(1);
}
5.1.6 周边美食模块
周边美食模块主要展示周边美食信息,用户可以浏览周边美食详细内容,对周边美食进行收藏、点赞和评论,并支持分享到其他社交平台。界面布局如下图所示:
图5.6 周边美食界面图
周边美食信息展示关键代码如下所示:
@RequestMapping("/get_list")
public Map<String, Object> getList(HttpServletRequest request) {
Map<String, Object> map = service.selectToPage(service.readQuery(request), service.readConfig(request));
return success(map);
}
5.2 管理员模块功能实现
5.2.1 数据分析模块
数据分析模块主要展示系统各类数据统计分析图表,管理员的个人信息等内容,并提供系统相关操作入口,方便管理员快速进行管理和监控。界面布局如下图所示:
图5.7 数据分析界面图
5.2.2 周边美食管理模块
周边美食管理模块主要为管理员提供周边美食的管理功能,支持管理员发布、编辑、删除和搜索周边美食,及查看相关评论内容,确保及时更新周边美食信息和维护评论内容。界面布局如下图所示:
图5.8 周边美食管理界面图
周边美食管理关键代码如下所示:
@PostMapping("/add")
@Transactional
public Map<String, Object> add(HttpServletRequest request) throws IOException {
service.insert(service.readBody(request.getReader()));
return success(1);
}
public Map<String, Object> addMap(Map<String,Object> map){
service.insert(map);
return success(1);
}
@RequestMapping(value = "/del")
@Transactional
public Map<String, Object> del(HttpServletRequest request) {
service.delete(service.readQuery(request), service.readConfig(request));
return success(1);
}
public void delete(Map<String,String> query,Map<String,String> config){
QueryWrapper wrapper = new QueryWrapper<E>();
toWhereWrapper(query, "0".equals(config.get(FindConfig.GROUP_BY)),wrapper);
baseMapper.delete(wrapper);
log.info("[{}] - 删除操作:{}",wrapper.getSqlSelect());
}
5.2.3 系统管理模块
系统管理模块主要为管理员可以对前台展示的轮播图进行设置,允许管理员上传、更新、删除轮播图,并支持附带相应图片跳转链接。界面布局如下图所示:
图5.9 系统管理界面图
上传轮播图关键代码如下所示:
@PostMapping("/upload")
public Map<String, Object> upload(@RequestParam("file") MultipartFile file) {
log.info("进入方法");
if (file.isEmpty()) {
return error(30000, "没有选择文件");
}
try {
//判断有没路径,没有则创建
String filePath = System.getProperty("user.dir") + "/src/main/resources/static/";
File targetDir = new File(filePath);
if (!targetDir.exists() && !targetDir.isDirectory()) {
if (targetDir.mkdirs()) {
log.info("创建目录成功");
} else {
log.error("创建目录失败");
}
}
String fileName = file.getOriginalFilename();
File dest = new File(filePath + fileName);
log.info("文件路径:{}", dest.getPath());
log.info("文件名:{}", dest.getName());
file.transferTo(dest);
JSONObject jsonObject = new JSONObject();
jsonObject.put("url", "/api/upload/" + fileName);
return success(jsonObject);
} catch (IOException e) {
log.info("上传失败:{}", e.getMessage());
}
return error(30000, "上传失败");
}
5.2.4 留言管理模块
留言管理模块主要为管理员提供反馈建议信息的管理功能,支持管理员查阅和删除用户提交的反馈建议信息,实现回复和查看回复操作,负责处理回复反馈建议。界面布局如下图所示:
图5.10 留言管理界面图
回复反馈建议关键代码如下所示:
@RequestMapping("/get_list")
public Map<String, Object> getList(HttpServletRequest request) {
Map<String, Object> map = service.selectToPage(service.readQuery(request), service.readConfig(request));
return success(map);
}
@PostMapping("/set")
@Transactional
public Map<String, Object> set(HttpServletRequest request) throws IOException {
service.update(service.readQuery(request), service.readConfig(request), service.readBody(request.getReader()));
return success(1);
}
5.2.5 交流管理模块
交流管理模块主要为管理员提供交流论坛和论坛分类的管理功能,支持管理员发布、编辑、删除交流论坛内容,进行论坛分类管理,提供置顶功能,并可管控相关评论内容。界面布局如下图所示:
图5.11 交流管理界面图
6 系统测试
6.1 测试方法
系统测试的主要目的是验证基于SpringBoot架构的校园美食推荐系统的各项功能是否按照需求规格说明书的要求正确实现,确保系统在不同的运行环境下能够稳定、高效地工作。在进行软件测试时,为了确保系统的可靠性、安全性和高效性,可以采用了单元测试、集成测试、性能测试等多种测试方法相结合的方式进行系统测试,有效地保障校园美食推荐系统的质量,确保其能够顺利上线并为用户提供优质的服务。
本次测试主要对进行严格系统测试,即在完整系统环境下,对系统功能、性能、安全性进行全面验证。按照用户需求场景设计测试用例,涵盖所有功能模块,确保系统整体稳定运行,包括正向、反向、异常等多种情况的验证。
以下是将主要对功能测试和性能测试进行编写测试用例,以验证系统功能是否按预期工作,确保系统在不同设备和浏览器中的表现一致,并评估系统在高负载情况下的响应时间和稳定性。
6.2 测试用例
6.2.1 功能测试
功能测试主要对注册功能、登录功能、周边美食管理、留言管理、美食资讯管理功能等核心功能模块进行测试,具体功能测试用例如下所示。
注册功能测试用例设计如下表所示。
表6.1 注册功能测试用例
| 用例编号 | 测试目的 | 测试步骤 | 预期结果 | 实际结果 |
| TC001 | 验证用户能够成功注册 | 1. 打开注册页面。2. 输入有效的用户名、邮箱和密码。3. 提交注册信息 | 注册成功,重定向至登录页面 | 与预期一致 |
| TC002 | 验证用户名重复注册 | 1. 打开注册页面。2. 输入已存在的用户名。3. 提交注册信息。 | 显示用户名已存在的错误提示 | 与预期一致 |
| TC003 | 验证邮箱格式正确性 | 1. 打开注册页面。2. 输入无效的邮箱格式。3. 提交注册信息。 | 显示邮箱格式不正确的错误提示 | 与预期一致 |
登录功能测试用例设计如下表所示。
表6.2 登录功能测试用例
| 测试编号 | 测试目的 | 测试步骤 | 预期结果 | 实际结果 |
| TC001 | 验证用户能够成功登录 | 1. 打开登录页面。2. 输入正确的用户名和密码。3. 提交登录信息 | 登录成功,重定向至用户主页 | 与预期一致 |
| TC002 | 验证登录失败情况 | 1. 打开登录页面。2. 输入错误的密码。3. 提交登录信息。 | 显示登录失败的提示信息 | 与预期一致 |
周边美食管理功能测试用例设计如下表所示。
表6.3 周边美食管理功能测试用例
| 测试编号 | 测试目的 | 测试步骤 | 预期结果 | 实际结果 |
| TC001 | 验证周边美食添加功能 | 1. 登录管理员帐户。2. 进入周边美食管理界面。3. 点击添加,输入新周边美食详细内容。4. 提交。 | 新周边美食添加成功,显示在列表中 | 与预期一致 |
| TC002 | 验证周边美食删除功能 | 1. 登录管理员帐户。2. 进入周边美食管理界面。3. 选择一项或多项周边美食。4. 点击删除。 | 周边美食删除成功,不再显示在列表中 | 与预期一致 |
| TC003 | 验证周边美食修改功能 | 1. 登录管理员帐户。2. 进入周边美食管理界面。3. 点击修改,修改周边美食。4. 点击提交。 | 周边美食修改成功,系统更新信息内容 | 与预期一致 |
| TC004 | 验证周边美食搜索功能 | 1. 登录管理员帐户。2. 进入周边美食管理界面。3. 在搜索框输入关键词搜索特定周边美食。4. 点击搜索。 | 显示相关关键词下的特定周边美食 | 与预期一致 |
留言管理功能测试用例设计如下表所示。
表6.4 留言管理功能测试用例
| 测试编号 | 测试目的 | 测试步骤 | 预期结果 | 实际结果 |
| TC001 | 验证反馈建议添加功能 | 1. 登录用户帐户。2. 进入反馈建议界面。3. 点击发表留言,输入新反馈建议详细内容。4. 提交 | 新反馈建议添加成功,显示在列表中 | 与预期一致 |
| TC002 | 验证反馈建议删除功能 | 1. 登录管理员帐户。2. 进入反馈建议管理界面。3. 选择一项或多项反馈建议。4. 点击删除。 | 反馈建议删除成功,不再显示在列表中 | 与预期一致 |
| TC004 | 验证反馈建议搜索功能 | 1. 登录管理员帐户。2. 进入反馈建议管理界面。3. 在搜索框输入关键词搜索特定反馈建议。4. 点击搜索。 | 显示相关关键词下的特定反馈建议 | 与预期一致 |
| TC005 | 验证反馈建议回复功能 | 1. 登录管理员帐户。2. 进入反馈建议管理界面。3. 点击回复,更新回复内容。4. 点击提交。 | 反馈建议回复成功,系统更新信息内容显示在前台 | 与预期一致 |
美食资讯管理功能测试用例设计如下表所示。
表6.5 美食资讯管理功能测试用例
| 测试编号 | 测试目的 | 测试步骤 | 预期结果 | 实际结果 |
| TC001 | 验证美食资讯添加功能 | 1. 登录管理员帐户。2. 进入美食资讯管理界面。3. 点击添加,输入新美食资讯详细内容。4. 提交 | 新美食资讯添加成功,显示在列表中 | 与预期一致 |
| TC002 | 验证美食资讯删除功能 | 1. 登录管理员帐户。2. 进入美食资讯管理界面。3. 选择一项或多项美食资讯。4. 点击删除。 | 美食资讯删除成功,不再显示在列表中 | 与预期一致 |
| TC003 | 验证美食资讯修改功能 | 1. 登录管理员帐户。2. 进入美食资讯管理界面。3. 点击修改,修改美食资讯。4. 点击提交。 | 美食资讯修改成功,系统更新信息内容 | 与预期一致 |
| TC004 | 验证美食资讯搜索功能 | 1. 登录管理员帐户。2. 进入美食资讯管理界面。3. 在搜索框输入关键词搜索特定美食资讯。4. 点击搜索。 | 显示相关关键词下的特定美食资讯 | 与预期一致 |
6.2.2 性能测试
性能测试主要从响应时间、负载、压力、稳定性、吞吐量、网络延迟等方面进行测试,性能测试用例如下表所示。
表6.6 性能测试用例
| 用例名称 | 测试目标 | 测试步骤 | 预期结果 | 实际结果 |
| 响应时间测试 | 测试系统响应请求的时间 | 1. 发送请求到指定API。2. 记录每次响应时间。3. 重复测试10次。 | 所有请求的响应时间小于2秒 | 与预期一致 |
| 负载测试 | 测试系统在特定负载下的表现 | 1. 设置虚拟用户数(如100、200、500等)。2. 发送并发请求。3. 监控资源使用情况。 | 系统能在1000个虚拟用户下正常响应 | 与预期一致 |
| 压力测试 | 测试系统在超负载下的稳定性 | 1. 逐步增加虚拟用户数。2. 监控响应时间和错误率。3. 确定系统崩溃点。 | 系统在高负载下能够响应,错误率低于1% | 与预期一致 |
| 稳定性测试 | 测试系统在长时间运行下的表现 | 1. 设置负载(如100用户)。2. 持续测试24小时。3. 记录响应时间和资源使用情况。 | 响应时间稳定,无明显波动 | 与预期一致 |
| 吞吐量测试 | 测试系统的处理能力 | 1. 设定时间段(如1分钟)。2. 测试不同负载下的吞吐量。3. 统计处理的请求数。 | 吞吐量应在预定范围内(如1000请求/分钟) | 与预期一致 |
| 网络延迟测试 | 测试远程访问的延迟 | 1. 设置不同地区的虚拟用户。2. 记录每个请求的延迟时间。3. 测量不同位置的平均延迟。 | 平均延迟少于300毫秒 | 与预期一致 |
6.3 测试结果
经过对系统的全面测试,通过编写校园美食推荐系统的测试用例,本次测试过程主要对注册、登录、周边美食管理、留言管理、美食资讯管理等核心功能及系统性能进行系统测试。在测试过程中,可以确保所有核心功能均能够按照预期的要求顺利进行,无明显功能缺失。系统能够妥善处理用户输入的错误数据,并提供友好的反馈信息。在常规的负载下,系统响应时间在可接受范围内,满足用户需求。综上所诉,本校园美食推荐系统功能完善,运行稳定,使用流畅,达到了预期设计要求。
7 总结与展望
在基于SpringBoot框架下的校园美食推荐系统设计与实现中,通过普通用户以及管理员不同角色的划分,实现了多层次的用户管理和权限控制。该系统的设计主要考虑了用户需求、系统功能的完整性、以及高效的技术实现,旨在为用户提供便捷精准的美食推荐服务。通过使用SpringBoot架构和Vue.js框架,系统具备了良好的可扩展性、易维护性及高性能。借助k-means算法实现个性化推荐功能,提升推荐质量。通过对系统需求的详细分析,明确了用户的核心需求,实现了包括论坛、公告、资讯、美食等信息浏览和收藏,并提供发表交流贴、反馈建议等功能,有效提升管理效率和用户体验。通过数据库优化和缓存技术,系统提升了响应速度和并发处理能力。
在未来的发展中,可以进一步优化系统的响应速度和用户体验,加强对用户行为的分析与挖掘,以实现更加个性化和精准的推荐服务。同时,可结合大数据和人工智能技术,提升平台的智能化水平,为用户提供更加智能化、便捷化的服务。此外,加强对安全性的防护和隐私保护,是平台未来发展的重要方向之一,以更好保障用户信息的安全与私密性,维护良好的用户口碑。
简而言之,通过不断优化和创新,基于SpringBoot的校园美食推荐系统将更好地满足用户的多样化需求,成为用户信赖和选择的首要平台之一。通过本次项目,不仅深入理解了SpringBoot框架的应用和校园美食推荐系统的设计思路,也积累了丰富的实际开发经验。未来,将进一步优化系统的稳定性和安全性,引入更多智能化和个性化的功能,以更好地满足用户需求和市场变化。
参考文献
- 曹阳.基于Java语言面向小微企业系统的设计开发[J].电脑知识与技术,2025,21(01):45-47+56.DOI:10.14004/j.cnki.ckt.2025.0076.
- 张圣筛,李云峰.基于Java Web的用户点餐系统设计与实现[J].现代信息科技,2025,9(03):96-104.DOI:10.19850/j.cnki.2096-4706.2025.03.018.
- 相景丽.MySQL数据库技术在校园信息管理中的应用研究[J].信息记录材料,2025,26(03):104-106+131.DOI:10.16009/j.cnki.cn13-1295/tq.2025.03.019.
- 陈芳.基于MySQL数据库的数据录入系统设计研究[J].科技资讯,2024,22(20):35-37.DOI:10.16661/j.cnki.1672-3791.2405-5042-7194.
- 李金忠,胡志明,陈建钢,等.基于SpringBoot和Vue.js框架的自习室平台的设计与实现[J].河北水利电力学院学报,2024,34(02):77-82.DOI:10.16046/j.cnki.issn2096-5680.2024.02.014.
- 游晶,邱淑丽,李敬文.基于SpringBoot的校园智慧报修系统的设计与实现[J].电脑知识与技术,2023,19(32):50-52+65.DOI:10.14004/j.cnki.ckt.2023.1718.
- 曹亚霖.基于B/S架构的高校物资管理系统设计与开发[J].网络安全和信息化,2025,(02):83-85.
- 王志涛.基于B/S模式的项目管理信息系统开发与设计[J].办公自动化,2024,29(24):84-86.
- 唐双林.基于Vue和SpringBoot架构的智能推荐农产品团购销售系统[D].重庆三峡学院,2023.DOI:10.27883/d.cnki.gcqsx.2023.000390.
- 许雪晶,林辰玮.基于K-means聚类的协同过滤电商个性化推荐算法[J].鄂州大学学报,2023,30(06):102-104.DOI:10.16732/j.cnki.jeu.2023.06.034.
- Singh R ,Dwivedi P ,Kant V .Taste-centered deep matrix factorization model for food recommendations[J].Multimedia Tools and Applications,2025,(prepublish):1-28.
- 尤天逸,赵郑博,江楠,等.基于改进协同过滤算法的个性化美食推荐APP开发[J].信息与电脑(理论版),2024,36(22):162-164.
- 吴珂彤,贾双英,李恒博.基于K-means的个性化视频推荐方法研究[J].现代计算机,2023,29(17):95-99.
- 叶长青.一种基于SpringBoot的影视内容推荐系统的设计与实现[J].电脑知识与技术,2023,19(01):85-87.DOI:10.14004/j.cnki.ckt.2023.0015.
- 杨旭东.面向校园餐饮的菜品推荐方法与系统[D].北京交通大学,2023.DOI:10.26944/d.cnki.gbfju.2023.000950.
- 林帅伽,俞婷,程芳颖.基于协同过滤的美食店铺推荐算法[J].电脑知识与技术,2022,18(30):51-53.DOI:10.14004/j.cnki.ckt.2022.1963.
- 刘江伟.基于深度学习的推荐系统关键技术研究[D].西安建筑科技大学,2022.DOI:10.27393/d.cnki.gxazu.2022.002126.
- 李凯.基于项目特征与用户偏好的美食推荐系统的设计与实现[D].北京邮电大学,2022.DOI:10.26969/d.cnki.gbydu.2022.001535.
- 邓涵兮,陈志华.基于网络评论的美食推荐系统[J].中国传媒科技,2022,(03):39-41.DOI:10.19483/j.cnki.11-4653/n.2022.03.011.
- 孙浩.基于Android的个性化美食推荐系统的研究与实现[D].辽宁大学,2020.DOI:10.27209/d.cnki.glniu.2020.000783.
- Sarif M S ,Hanafi Z ,Mohamed P F S , et al.Makan@Local Chatok: Mobile Eatery Recommendation System Based on Local Knowledge[J].International Journal of Interactive Mobile Technologies (iJIM),2020,14(05):129-149.
- 金强山,冯光.基于协同过滤混合算法的餐饮推荐系统设计与实现[J].计算机时代,2020,(02):74-76.DOI:10.16644/j.cnki.cn33-1094/tp.2020.02.020.
致 谢
在完成本论文的研究与写作过程中,我深切感受到了来自各方的帮助和支持。在此,我衷心地向所有给予我帮助的人表示最诚挚的感谢。首先,我要特别感谢我的导师,不仅在学术上给予我无私的指导,而且在生活上给予我关怀和支持。是您严谨的学术态度和勤奋的工作精神将永远激励我不断前进。其次,我要感谢所有教导过我的老师们,是你们精彩课堂和深入的指导为我的研究工作提供了宝贵的知识和灵感。我还要感谢我的家人,他们的理解和支持是我完成学业的坚强后盾。在我遇到困难和挑战时,他们总是给予我鼓励和力量。此外,我也要感谢我的朋友和同学们,你们的陪伴和帮助使我的研究生活更加丰富多彩。我们共同度过的时光将成为我一生中宝贵的回忆。最后,我要感谢所有支持本项目,为本项目提供建设性意见的人员,没有他们的协助,本论文无法顺利完成。再次感谢所有帮助和支持我的人,是你们的帮助使我的研究之路不再孤单。
请关注点赞+私信博主,免费领取项目源码
6115

被折叠的 条评论
为什么被折叠?



