摘 要
随着信息技术的不断发展,汽车租赁行业逐渐向数字化、智能化方向发展。基于SpringBoot的汽车租赁管理系统作为一种现代化的管理工具,旨在提升汽车租赁业务的管理效率和用户体验。本论文设计并实现了一套完整的汽车租赁管理系统,该系统主要包括两大角色:注册用户和管理员,每个角色具有不同的功能模块。用户可以通过系统进行注册、登录、查看汽车信息、进行租赁、管理个人账户等操作,享受便捷的在线租赁体验;而管理员则可以通过后台管理系统对用户、车辆、租赁订单、公告等进行全面管理,确保平台的稳定运营。
本系统采用SpringBoot框架进行开发,前端与后端分离,后端使用MySQL数据库进行数据存储与管理。系统通过模块化设计,确保了功能的独立性与扩展性,能够根据业务需求进行灵活调整。系统实现了高效的数据管理与流畅的用户体验,具有良好的安全性与稳定性。
通过本论文的设计与实现,展示了基于SpringBoot框架的汽车租赁管理系统的可行性与实用性,不仅为用户提供了便捷的租赁体验,也为管理人员提供了高效的运营工具。基于SpringBoot的汽车租赁管理系统为汽车租赁行业信息化管理提供了一个可行的解决方案,并为今后相关系统的研究和开发提供了参考依据。
关键词:SpringBoot;汽车租赁;管理系统;用户管理;MySQL数据库
ABSTRACT
With the continuous development of information technology, the car rental industry is gradually moving towards digitization and intelligence. The SpringBoot based car rental management system, as a modern management tool, aims to improve the management efficiency and user experience of car rental business. This paper designs and implements a complete car rental management system, which mainly includes two roles: registered users and administrators, each with different functional modules. Users can register, log in, view car information, rent, manage personal accounts, and enjoy a convenient online rental experience through the system; Administrators can comprehensively manage users, vehicles, rental orders, announcements, etc. through the backend management system to ensure the stable operation of the platform.
This system is developed using the SpringBoot framework, with front-end and back-end separated. The back-end uses MySQL database for data storage and management. The system ensures functional independence and scalability through modular design, and can be flexibly adjusted according to business needs. The system has achieved efficient data management and smooth user experience, with good security and stability.
Through the design and implementation of this paper, the feasibility and practicality of a car rental management system based on the SpringBoot framework are demonstrated. It not only provides users with a convenient rental experience, but also provides efficient operational tools for managers. The car rental management system based on SpringBoot provides a feasible solution for information management in the car rental industry and provides a reference for future research and development of related systems.
key word: SpringBoot; Car Rental; Management system; User management; mysql database
目 录
1绪论
1.1课题研究背景及意义
随着社会经济的快速发展和人们生活水平的不断提高,汽车租赁行业在全球范围内取得了显著的增长。尤其在大城市中,汽车租赁作为一种灵活便捷的出行方式,已成为许多消费者的首选。同时,随着互联网技术的普及和信息化进程的推进,传统的汽车租赁业务模式面临着巨大的挑战。面对日益复杂的市场需求和激烈的竞争环境,如何提高管理效率、优化资源配置、提升用户体验,成为了行业亟待解决的问题。
传统的汽车租赁管理方式多依赖人工操作,存在信息滞后、管理混乱、数据不准确等问题,难以满足现代化汽车租赁企业对高效运营和精细化管理的需求。随着数字化转型的推进,基于互联网的汽车租赁管理系统逐渐成为行业发展趋势。信息技术的引入不仅可以提高管理的效率,还能够帮助企业降低运营成本,提升用户体验。借助现代开发框架,如SpringBoot,开发高效、稳定的管理系统,已成为许多汽车租赁平台提升服务质量和运营效益的关键。
在此背景下,本文设计并实现了基于SpringBoot的汽车租赁管理系统。通过SpringBoot框架,开发者可以快速构建出功能完善、易于维护的管理系统,具有较高的性能和可扩展性。该系统不仅可以帮助汽车租赁公司有效管理车辆、订单和客户,还能为用户提供更加便捷的租车体验,从而提升客户满意度和平台竞争力。
从学术研究的角度来看,基于SpringBoot的汽车租赁管理系统的研究,涉及到现代软件工程、数据库管理、系统架构等多个领域,具有较高的实践价值和理论意义。通过汽车租赁管理系统的设计与实现,可以探索和总结信息化管理在汽车租赁行业中的应用,为相关领域的技术研发和实际应用提供借鉴。
1.2国内外发展现状分析
近年来,随着信息技术的不断发展,全球范围内汽车租赁行业的管理模式逐渐向数字化、智能化转型,越来越多的学者和企业开始关注如何通过现代技术手段提升汽车租赁的服务质量与管理效率。国内外的相关研究和实践成果表明,开发高效的汽车租赁管理系统已成为行业发展的重要方向。
在国外,许多发达国家早在上世纪90年代便开始探索基于信息技术的汽车租赁管理模式。随着互联网的普及,一些成熟的汽车租赁公司已经实现了在线预订、支付和车辆管理等功能。例如,某些大型国际租车公司通过自有平台或第三方平台实现了对车辆调度、用户信息管理、租赁过程监控等方面的高度自动化,减少了人工干预,提高了运营效率。国外研究更多集中在如何通过技术提升客户体验和运营优化方面。研究主要聚焦于开发更加智能化的系统架构,提升数据处理能力和系统稳定性。此外,一些研究还探讨了如何结合大数据技术分析用户需求、优化车辆分配等问题。
在国内,随着汽车租赁市场的迅猛增长,越来越多的企业开始尝试通过信息化手段来优化运营。国内的相关研究起步较晚,但近年来发展迅速。国内学者和企业通过研究和实践,开发出多种基于Web技术的汽车租赁管理系统,涵盖了车辆管理、用户管理、订单管理等基本功能。许多研究开始关注如何通过技术提高系统的响应速度、数据存储能力以及对大规模数据的处理能力。国内的技术研究还包括数据库设计、系统安全性、数据加密和权限控制等方面的讨论,确保系统能够在复杂的运营环境下稳定运行。
随着SpringBoot框架的流行,国内外越来越多的汽车租赁管理系统开始采用这一框架进行开发。SpringBoot凭借其简洁的配置方式和高效的开发模式,得到了广泛的应用。国内的部分高校和研究机构也开展了相关的课题研究,重点探讨了基于SpringBoot框架的管理系统的设计与实现问题。在这些研究中,学者们强调了如何通过模块化设计提升系统的扩展性与维护性,同时也关注系统的性能优化、数据库管理和用户界面的友好性等方面。
总体来看,国内外的研究成果表明,基于现代信息技术的汽车租赁管理系统已成为行业转型升级的重要手段。虽然目前国内外在系统功能、性能和技术架构方面已取得一定进展,但随着市场需求的不断变化,未来的研究仍需要解决系统的智能化水平提升、数据分析能力增强以及多平台间的集成等问题。
1.3论文组织结构
本论文共分为七个主要章节,具体结构如下:
1. 绪论:介绍研究背景与意义,回顾国内外研究现状,并概述论文的组织结构。
2. 相关技术介绍:详细介绍与本研究相关的技术,包括Java语言、B/S框架、SpringBoot框架、Vue技术和MySQL数据库。
3. 需求分析:对系统的功能需求和非功能需求进行分析,明确用户和管理员的需求,并进行可行性分析,包括技术、操作和经济可行性。
4. 系统设计:涵盖系统架构设计、总体流程设计和功能设计,并进行数据库的概念设计与表设计。
5. 系统实现:具体描述各个功能模块的实现过程,展示系统如何根据需求进行开发。
6. 系统测试:阐述测试的目的、方法和内容,分析测试结果并得出结论,以验证系统的稳定性和功能完整性。
7. 总结:总结研究的主要成果和贡献,指出存在的不足及未来的研究方向。
2相关技术简介
2.1Java语言
Java语言是一种广泛使用的高级编程语言,具有平台无关性、面向对象特性和丰富的标准库[1]。Java通过Java虚拟机(JVM)实现跨平台运行,开发者可以编写一次代码,在任何支持JVM的环境中执行。Java的面向对象特性使得代码复用和模块化变得更加容易,促进了软件的维护和扩展。Java支持多线程编程,允许开发者在同一程序中同时执行多个任务,提升了应用程序的性能。
Java语言的语法结构简洁且易于理解,吸引了大量开发者[2]。Java的标准库包含数据结构、输入输出处理、网络编程等众多功能模块。这使得开发者在构建应用程序时能够高效利用已有工具,减少重复劳动。Java广泛应用于企业级应用、移动应用、Web开发和大数据处理等领域。
2.2 B/S框架
B/S(Browser/Server)架构是一种基于浏览器和服务器的系统架构模式,用户通过浏览器与服务器进行交互。B/S架构简化了客户端的部署和管理,用户无需在本地安装复杂的软件,只需使用标准浏览器即可访问应用程序。服务器端负责处理业务逻辑和数据存储,客户端则主要负责展示用户界面和数据交互[3]。B/S架构的设计使得系统更新和维护集中在服务器端,降低了维护成本。
B/S架构通常采用Web技术进行实现,包括HTML、CSS和JavaScript等。用户在浏览器中发起请求,服务器响应并返回数据。数据传输通常通过HTTP或HTTPS协议进行,B/S架构的灵活性使其适用于在线购物、信息管理系统和社交网络等各类应用场景[4]。由于其易于扩展性,B/S架构可以方便地支持大规模用户访问,适应不断变化的业务需求。
2.3 SpringBoot框架
SpringBoot框架是基于Spring框架的开源项目,简化Java应用程序的开发过程。SpringBoot通过约定优于配置的理念,减少了传统Spring应用的繁琐配置,开发者可以快速搭建和部署应用程序。框架提供了一系列默认配置,支持自动化配置,简化了应用启动的复杂性[5]。SpringBoot内置了嵌入式Web服务器,使得开发者能够独立运行Java应用,无需外部容器。
SpringBoot支持微服务架构,开发者可以轻松创建和管理多个微服务。框架集成了丰富的功能模块,包括安全、数据访问和消息中间件等,支持RESTful API和JSON数据格式的处理[6]。SpringBoot还提供了强大的监控和管理功能,允许开发者实时监控应用的健康状态和性能指标。借助SpringBoot,开发者能够高效构建和维护现代企业级应用,满足复杂业务需求。
2.4 Vue技术
Vue是一种渐进式JavaScript框架,专注于构建用户界面。Vue采用组件化的开发模式,允许开发者将应用程序拆分为独立的、可重用的组件,从而提高了开发效率和代码的可维护性[7]。框架的核心库专注于视图层,支持数据绑定和DOM操作,提供了简洁的API。Vue的虚拟DOM机制提升了应用的性能,减少了实际DOM操作的次数。
Vue支持双向数据绑定,能够自动更新视图与模型之间的变化。开发者可以通过Vue的指令系统,简化数据展示和事件处理。Vue还支持路由管理和状态管理,使得开发复杂单页面应用变得更加容易[8]。借助Vue的生态系统,开发者能够使用多种工具和库来扩展功能,满足不同的业务需求。Vue在前端开发中逐渐成为主流选择,受到广泛关注和应用。
2.5 MySQL数据库
MySQL是一种开源关系型数据库管理系统,广泛应用于Web应用和企业级数据存储。MySQL支持结构化查询语言,允许开发者通过标准语句进行数据的创建、读取、更新和删除操作[9]。数据库通过表格形式组织数据,支持数据完整性和约束条件的定义。MySQL的存储引擎机制使得用户可以根据具体需求选择不同的存储引擎,以优化性能和功能。
MySQL具有高性能和可扩展性,支持大规模数据存储和高并发访问。系统提供了丰富的用户权限管理和数据加密安全特性。MySQL能够与多种编程语言和框架兼容,广泛应用于内容管理系统、电子商务平台和数据分析等各种场景。
3系统需求分析
3.1系统功能需求分析
本文所设计和实现的基于SpringBoot的汽车租赁管理系统,旨在通过信息化手段提升汽车租赁业务的管理效率和用户体验。系统主要分为两个角色:注册用户和管理员。每个角色有不同的功能模块,具体功能如下:
1.注册用户功能
登录注册功能:用户可以通过系统提供的注册和登录功能,创建账户并登录。注册时需要填写必要的个人信息,如姓名、联系方式、地址等,系统对用户进行身份验证并确保数据的准确性和安全性。用户登录后可进入系统的主界面。
首页:登录成功后的首页展示了系统的核心内容,如热门车辆、最新租赁信息以及促销活动等。首页采用简洁明了的设计,帮助用户快速找到所需内容。
通知公告:系统通过通知公告模块,向用户发布平台的重要公告、活动信息、政策更新等。这些公告可被所有用户查看,确保信息的透明和及时传递。
汽车资讯:用户可以在系统中浏览与汽车租赁相关的资讯,如汽车市场动态、车型推荐、租赁技巧等。
汽车信息:用户可以查看平台上可租赁车辆的详细信息,包括车型、品牌、价格、车况、租赁规则等。该模块提供了多种筛选功能,方便用户根据需求快速找到适合的车辆。
我的账户:在个人账户模块,用户可以查看和管理自己的账户信息,包括个人资料、修改密码等。
个人中心:个人中心是用户的私密空间,提供了更加细化的服务。
个人首页:展示用户的基本信息、租赁历史以及租赁记录的概况。
租赁信息:用户可以查看自己的租赁订单,了解租赁时间、租赁车辆等详细内容。
取消信息:如果用户需要取消租赁订单,可以在此功能中查看和管理自己的取消申请。
还车信息:用户可以查看和提交还车信息,系统会记录还车时间、车况检查等内容。
收藏:用户可以收藏感兴趣的车辆和资讯,方便日后查询和对比。
评论管理:用户可以对租赁过的车辆和服务进行评价,帮助其他用户参考,同时平台也可以根据用户反馈进行改进。
2.管理员功能
后台首页:后台首页展示了系统的核心统计数据,如用户数量、租赁订单、汽车库存等信息,帮助管理员快速了解平台的运营状况。
系统用户管理:管理员可以对平台注册用户进行管理,包括查看用户基本信息、禁用账户、重置密码等操作。
汽车信息管理:管理员可以对平台上的汽车进行全面管理,包括添加、修改和删除车辆信息。每辆车的信息包括车型、车况、价格、租赁规则等,这些内容能够影响到租赁决策,因此准确管理非常重要。
车辆类型管理:车辆类型管理模块允许管理员对车辆进行分类和标签管理,帮助用户快速筛选适合自己的车型。例如,按价格区间、车型类型(如SUV、轿车等)、适用人数等进行分类。
租赁信息管理:在租赁信息管理中,管理员可以查看和管理所有租赁订单,包括用户的租赁记录、租赁状态、订单金额等。
取消信息管理:管理员可以查看用户的取消申请并做出相应处理,包括是否批准取消、是否退还押金等。
还车信息管理:管理员可以通过此模块查看用户的还车情况,包括还车时间、车况、是否有损坏等。
轮播图管理:轮播图管理模块帮助管理员更新平台首页的广告或活动图片,吸引用户的注意力。管理员可以根据实际需求设置轮播图的内容。
通知公告管理:管理员通过通知公告模块发布系统的重要信息,如活动通知、政策更新等。
资源管理:管理员可以发布、修改和删除平台上的汽车资讯内容,并对资讯进行分类管理。管理员还可以设定每篇资讯的分类标签,以便用户更方便地浏览和查找相关内容。
基于SpringBoot的汽车租赁管理系统通过清晰的功能设计,满足了用户和管理员的需求。用户能够方便地进行车辆浏览、租赁操作、账户管理等,提升了租赁体验;而管理员则能够高效地进行车辆、用户、订单等管理,确保平台的有序运营。系统的设计不仅优化了汽车租赁业务的各项流程,还提高了平台的运营效率,为日后的进一步扩展提供了技术基础。
3.2系统非功能性分析
基于SpringBoot的汽车租赁管理系统在撰写系统毕业论文时,非功能性需求分析是一个重要的部分。非功能性需求主要关注的是系统如何运行,而不是它具体完成什么功能。这些需求包括性能、可用性、安全性、可维护性、可扩展性、易用性等方面。以下是一个关于基于SpringBoot的汽车租赁管理系统非功能性需求分析的概要。
性能需求:系统需确保快速响应和高吞吐量,以支持大量用户同时访问,即使在高峰时段也能保持流畅的操作体验,避免因延迟或卡顿影响用户体验。
可用性:安系统必须具备高可用性,采用冗余部署、负载均衡等策略,确保即使部分组件故障也能迅速恢复服务,减少服务中断时间,保障用户业务的连续性。
安全性:鉴于系统处理用户敏感信息,如个人信息等,必须实施严格的安全措施,包括数据加密、访问控制、防攻击机制等,以保护用户数据免受未授权访问或泄露。
可维护性:系统设计应注重可维护性,采用模块化、标准化的架构,提供详尽的开发文档和用户手册,确保系统易于理解和维护,降低长期运维成本。
可扩展性:随着业务的发展,系统可能需要扩展功能或提升性能。因此,系统需具备灵活的可扩展性,能够轻松添加新模块、优化性能,以应对未来增长的需求。
易用性:用户界面应直观易用,符合用户习惯,提供清晰的导航和友好的操作反馈,帮助用户快速上手并高效完成任务,提升整体用户满意度。
3.3系统可行性分析
通过基于SpringBoot的汽车租赁管理系统的可行性分析,我们可以从技术可行性、经济可行性、操作可行性三个维度进行深入探讨,以确保系统的开发与应用具有坚实的可行性基础。
3.3.1技术可行性
Springboot作为目前流行的Java企业级应用开发框架,以其“约定优于配置”的原则,极大地简化了开发流程,降低了技术门槛。同时,结合MyBatis Plus这一强大的ORM框架,可以高效实现数据持久化操作。前端采用Vue框架,不仅提升了用户界面的交互体验,也实现了前后端分离的现代Web架构。MySQL数据库作为后端数据存储,以其高性能和稳定性为系统提供了可靠的数据支持。综上所述,从技术角度来看,该系统的开发具备高度可行性。
3.3.2经济可行性
考虑到Springboot、Vue、MyBatis Plus及MySQL等均为开源技术,无需支付高昂的许可费用,大大降低了系统的开发成本。同时,这些技术拥有广泛的用户群体和成熟的社区支持,便于获取技术支持和资源共享。此外,系统的实施将显著提升基于SpringBoot的汽车租赁管理系统的效率和用户体验,从而带来潜在的经济效益。因此,从经济角度来看,基于SpringBoot的汽车租赁管理系统的开发同样具备可行性。
3.3.3操作可行性
系统设计应遵循用户友好原则,确保用户能够轻松上手并高效使用。通过合理的界面布局、直观的操作流程以及详尽的帮助文档,可以大大降低用户的学习成本,提高系统的操作可行性。此外,系统还应具备完善的权限管理和数据安全机制,确保操作的安全性和合规性。
从技术、经济、操作三个维度来看,基于SpringBoot的汽车租赁管理系统的开发均具备高度的可行性。
3.4系统用例分析
基于SpringBoot的汽车租赁管理系统用例分析主要从注册用户、管理员这些实体展开描述。
3.4.1注册用户用例分析
注册用户具备登录注册、首页、通知公告、汽车资讯、汽车信息、我的账户、个人中心(个人首页、租赁信息、取消信息、还车信息、收藏、评论管理)等需求用例,详细用例图如图3-1所示。

图3-1注册用户用例图
3.4.2管理员用例分析
管理员具备后台首页、系统用户、汽车信息管理、车辆类型管理、租赁信息管理、取消信息管理、还车信息管理、轮播图管理、通知公告管理、资源管理(汽车资讯、资讯分类)等需求用例。详细用例图如图3-2所示。

图3-2管理员用例图
4系统设计
4.1系统架构设计
系统采用SpringBoot 框架开发,该系统分为VIEW层、Controller层、Model层、DAO层和持久化数据存储层,VIEW层支持电脑浏览器访问系统。VIEW 层与 Controller 层紧密结合并系协同工作,共同完成前台页面的数据展示;Controller层为控制层,通过接收前端请求的参数进行业务处理,返回指定的路径或数据;Model层主要是服务层,用于业务逻辑处理;DAO 和持久化层,主要用于访问数据库和持久化数据[10]。整个系统架构如图4-1所示。

图4-1 系统架构图。
4.2系统结构设计
基于SpringBoot的汽车租赁管理系统的整体结构设计如图4-2所示。

图4-3整体功能结构设计图
4.3系统功能设计
4.3.1系统开发流程
基于SpringBoot的汽车租赁管理系统开发时,首先进行需求分析,进而对系统进行总体的设计规划,设计系统功能模块,数据库的选择等,本系统的开发流程如图4-4所示。

图4-4系统开发流程图
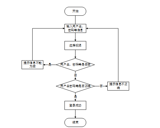
4.3.2 用户登录流程
为了保证系统的安全性,要使用本系统对系统信息进行管理,必须先登陆到系统中。如图4-5所示。

图4-5 登录流程图
4.3.3 系统操作流程
用户打开并进入系统后,会先显示登录界面,输入正确的用户名和密码,系统自动检测信息,若信息无误,则用户会进入系统功能界面,进行操作,否则会提示错误无法登录,操作流程如图4-6所示。

图4-6 系统操作流程图
4.3.4 添加信息流程
管理员可以对通知公告、汽车资讯等进行信息的添加,用户可以对自己权限内的信息进行添加,输入信息后,系统会自行验证输入的信息和数据,若信息正确,会将其添加到数据库内,若信息有误,则会提示重新输入信息,添加信息流程如图4-7所示。

图4-7 添加信息流程图
4.3.5 修改信息流程
管理员可以对通知公告、汽车资讯等进行的修改,用户可以对自己权限内的信息进行修改,首先进入修改信息界面,输入修改信息数据,系统进行数据的判断验证,修改信息合法则修改成功,信息更新至数据库,信息不合法则修改失败,重新输入。修改信息流程图如图4-8所示。

图4-8 修改信息流程图
4.3.6 删除信息流程
管理员可以对通知公告、汽车资讯等进行信息的删除,对要删除的信息进行选中后,点击删除按钮,系统会询问是否确定,若点击确定,则系统会删除掉选中的信息,并在数据库内对信息进行删除,删除信息流程图如图4-9所示。

图4-9 删除信息流程图
4.4数据库设计
在进行数据库设计时,概念设计帮助明确系统的整体结构和需求。在这一阶段,需要确定实体、属性以及它们之间的关系,为后续的数据库表设计奠定基础。接下来,将深入探讨数据库表设计的具体细节,实现更高效的数据存储和管理。
4.4.1 概念设计
概念设计是数据库设计的第一步,其主要目标是对系统的数据需求进行全面的理解和抽象[11]。在这一阶段,通过建立实体-关系模型(ER模型)来识别系统中的关键实体、属性及其相互关系。概念设计的输出是一个清晰的ER图,作为后续数据库表设计的基础。以下将展示系统的全局E-R图。

图4-10数据库E-R图
4.4.2数据库表设计
这一阶段的重点是将概念模型转换为实际的数据库结构,包括表的创建、字段的定义及数据类型的选择。每个实体通常对应于数据库中的一张表,而实体的属性则转化为表的列[12]。以下是系统的数据库表设计展示。
表 4-1-access_token(登陆访问时长)
| 编号 | 字段名 | 类型 | 长度 | 是否非空 | 是否主键 | 注释 |
| 1 | token_id | int | 是 | 是 | 临时访问牌ID | |
| 2 | token | varchar | 64 | 否 | 否 | 临时访问牌 |
| 3 | info | text | 65535 | 否 | 否 | 信息 |
| 4 | maxage | int | 是 | 否 | 最大寿命:默认2小时 | |
| 5 | create_time | timestamp | 是 | 否 | 创建时间 | |
| 6 | update_time | timestamp | 是 | 否 | 更新时间 | |
| 7 | user_id | int | 是 | 否 | 用户编号 |
表 4-2-article(文章)
| 编号 | 字段名 | 类型 | 长度 | 是否非空 | 是否主键 | 注释 |
| 1 | article_id | mediumint | 是 | 是 | 文章id | |
| 2 | title | varchar | 125 | 是 | 是 | 标题 |
| 3 | type | varchar | 64 | 是 | 否 | 文章分类 |
| 4 | hits | int | 是 | 否 | 点击数 | |
| 5 | praise_len | int | 是 | 否 | 点赞数 | |
| 6 | create_time | timestamp | 是 | 否 | 创建时间 | |
| 7 | update_time | timestamp | 是 | 否 | 更新时间 | |
| 8 | source | varchar | 255 | 否 | 否 | 来源 |
| 9 | url | varchar | 255 | 否 | 否 | 来源地址 |
| 10 | tag | varchar | 255 | 否 | 否 | 标签 |
| 11 | content | longtext | 4294967295 | 否 | 否 | 正文 |
| 12 | img | varchar | 255 | 否 | 否 | 封面图 |
| 13 | description | text | 65535 | 否 | 否 | 文章描述 |
表 4-3-article_type(文章分类)
| 编号 | 字段名 | 类型 | 长度 | 是否非空 | 是否主键 | 注释 |
| 1 | type_id | smallint | 是 | 是 | 分类ID | |
| 2 | display | smallint | 是 | 否 | 显示顺序 | |
| 3 | name | varchar | 16 | 是 | 否 | 分类名称 |
| 4 | father_id | smallint | 是 | 否 | 上级分类ID | |
| 5 | description | varchar | 255 | 否 | 否 | 描述 |
| 6 | icon | text | 65535 | 否 | 否 | 分类图标 |
| 7 | url | varchar | 255 | 否 | 否 | 外链地址 |
| 8 | create_time | timestamp | 是 | 否 | 创建时间 | |
| 9 | update_time | timestamp | 是 | 否 | 更新时间 |
表 4-4-auth(用户权限管理)
| 编号 | 字段名 | 类型 | 长度 | 是否非空 | 是否主键 | 注释 |
| 1 | auth_id | int | 是 | 是 | 授权ID | |
| 2 | user_group | varchar | 64 | 否 | 否 | 用户组 |
| 3 | mod_name | varchar | 64 | 否 | 否 | 模块名 |
| 4 | table_name | varchar | 64 | 否 | 否 | 表名 |
| 5 | page_title | varchar | 255 | 否 | 否 | 页面标题 |
| 6 | path | varchar | 255 | 否 | 否 | 路由路径 |
| 7 | parent | varchar | 64 | 否 | 否 | 父级菜单 |
| 8 | parent_sort | int | 是 | 否 | 父级菜单排序 | |
| 9 | position | varchar | 32 | 否 | 否 | 位置 |
| 10 | mode | varchar | 32 | 是 | 否 | 跳转方式 |
| 11 | add | tinyint | 是 | 否 | 是否可增加 | |
| 12 | del | tinyint | 是 | 否 | 是否可删除 | |
| 13 | set | tinyint | 是 | 否 | 是否可修改 | |
| 14 | get | tinyint | 是 | 否 | 是否可查看 | |
| 15 | field_add | text | 65535 | 否 | 否 | 添加字段 |
| 16 | field_set | text | 65535 | 否 | 否 | 修改字段 |
| 17 | field_get | text | 65535 | 否 | 否 | 查询字段 |
| 18 | table_nav_name | varchar | 500 | 否 | 否 | 跨表导航名称 |
| 19 | table_nav | varchar | 500 | 否 | 否 | 跨表导航 |
| 20 | option | text | 65535 | 否 | 否 | 配置 |
| 21 | create_time | timestamp | 是 | 否 | 创建时间 | |
| 22 | update_time | timestamp | 是 | 否 | 更新时间 |
表 4-5-cancel_message(取消信息)
| 编号 | 字段名 | 类型 | 长度 | 是否非空 | 是否主键 | 注释 |
| 1 | cancel_message_id | int | 是 | 是 | 取消信息ID | |
| 2 | user_account | int | 否 | 否 | 用户账号 | |
| 3 | vehicle_no | varchar | 64 | 否 | 否 | 车辆编号 |
| 4 | vehicle_brand | varchar | 64 | 否 | 否 | 车辆品牌 |
| 5 | vehicle_type | varchar | 64 | 否 | 否 | 车辆类型 |
| 6 | cancel_time | datetime | 否 | 否 | 取消时间 | |
| 7 | reason_for_cancellation | text | 65535 | 否 | 否 | 取消原因 |
| 8 | examine_state | varchar | 16 | 是 | 否 | 审核状态 |
| 9 | examine_reply | varchar | 255 | 否 | 否 | 审核回复 |
| 10 | create_time | datetime | 是 | 否 | 创建时间 | |
| 11 | update_time | timestamp | 是 | 否 | 更新时间 | |
| 12 | source_table | varchar | 255 | 否 | 否 | 来源表 |
| 13 | source_id | int | 否 | 否 | 来源ID | |
| 14 | source_user_id | int | 否 | 否 | 来源用户 |
表 4-6-car_information(汽车信息)
| 编号 | 字段名 | 类型 | 长度 | 是否非空 | 是否主键 | 注释 |
| 1 | car_information_id | int | 是 | 是 | 汽车信息ID | |
| 2 | vehicle_no | varchar | 64 | 否 | 否 | 车辆编号 |
| 3 | vehicle_brand | varchar | 64 | 否 | 否 | 车辆品牌 |
| 4 | vehicle_type | varchar | 64 | 否 | 否 | 车辆类型 |
| 5 | cover_image | varchar | 255 | 否 | 否 | 封面图片 |
| 6 | vehicle_year | varchar | 64 | 否 | 否 | 车辆年份 |
| 7 | vehicle_color | varchar | 64 | 否 | 否 | 车辆颜色 |
| 8 | car_rental_price_days | double | 否 | 否 | 租车价格(天) | |
| 9 | vehicle_details | longtext | 4294967295 | 否 | 否 | 车辆详情 |
| 10 | hits | int | 是 | 否 | 点击数 | |
| 11 | praise_len | int | 是 | 否 | 点赞数 | |
| 12 | collect_len | int | 是 | 否 | 收藏数 | |
| 13 | comment_len | int | 是 | 否 | 评论数 | |
| 14 | rental_information_limit_times | int | 是 | 否 | 在线租车限制次数 | |
| 15 | create_time | datetime | 是 | 否 | 创建时间 | |
| 16 | update_time | timestamp | 是 | 否 | 更新时间 |
表 4-7-code_token(验证码)
| 编号 | 字段名 | 类型 | 长度 | 是否非空 | 是否主键 | 注释 |
| 1 | code_token_id | int | 是 | 是 | 验证码ID | |
| 2 | token | varchar | 255 | 否 | 否 | 令牌 |
| 3 | code | varchar | 255 | 否 | 否 | 验证码 |
| 4 | expire_time | timestamp | 是 | 否 | 失效时间 | |
| 5 | create_time | timestamp | 是 | 否 | 创建时间 | |
| 6 | update_time | timestamp | 是 | 否 | 更新时间 |
表 4-8-collect(收藏)
| 编号 | 字段名 | 类型 | 长度 | 是否非空 | 是否主键 | 注释 |
| 1 | collect_id | int | 是 | 是 | 收藏ID | |
| 2 | user_id | int | 是 | 是 | 收藏人ID | |
| 3 | source_table | varchar | 255 | 否 | 否 | 来源表 |
| 4 | source_field | varchar | 255 | 否 | 否 | 来源字段 |
| 5 | source_id | int | 是 | 否 | 来源ID | |
| 6 | title | varchar | 255 | 否 | 否 | 标题 |
| 7 | img | varchar | 255 | 否 | 否 | 封面 |
| 8 | create_time | timestamp | 是 | 否 | 创建时间 | |
| 9 | update_time | timestamp | 是 | 否 | 更新时间 |
表 4-9-comment(评论)
| 编号 | 字段名 | 类型 | 长度 | 是否非空 | 是否主键 | 注释 |
| 1 | comment_id | int | 是 | 是 | 评论ID | |
| 2 | user_id | int | 是 | 是 | 评论人ID | |
| 3 | reply_to_id | int | 是 | 否 | 回复评论ID | |
| 4 | content | longtext | 4294967295 | 否 | 否 | 内容 |
| 5 | nickname | varchar | 255 | 否 | 否 | 昵称 |
| 6 | avatar | varchar | 255 | 否 | 否 | 头像地址 |
| 7 | create_time | timestamp | 是 | 否 | 创建时间 | |
| 8 | update_time | timestamp | 是 | 否 | 更新时间 | |
| 9 | source_table | varchar | 255 | 否 | 否 | 来源表 |
| 10 | source_field | varchar | 255 | 否 | 否 | 来源字段 |
| 11 | source_id | int | 是 | 否 | 来源ID |
表 4-10-hits(用户点击)
| 编号 | 字段名 | 类型 | 长度 | 是否非空 | 是否主键 | 注释 |
| 1 | hits_id | int | 是 | 是 | 点赞ID | |
| 2 | user_id | int | 是 | 否 | 点赞人 | |
| 3 | create_time | timestamp | 是 | 否 | 创建时间 | |
| 4 | update_time | timestamp | 是 | 否 | 更新时间 | |
| 5 | source_table | varchar | 255 | 否 | 否 | 来源表 |
| 6 | source_field | varchar | 255 | 否 | 否 | 来源字段 |
| 7 | source_id | int | 是 | 否 | 来源ID |
表 4-11-notice(公告)
| 编号 | 字段名 | 类型 | 长度 | 是否非空 | 是否主键 | 注释 |
| 1 | notice_id | mediumint | 是 | 是 | 公告ID | |
| 2 | title | varchar | 125 | 是 | 否 | 标题 |
| 3 | content | longtext | 4294967295 | 否 | 否 | 正文 |
| 4 | create_time | timestamp | 是 | 否 | 创建时间 | |
| 5 | update_time | timestamp | 是 | 否 | 更新时间 |
表 4-12-praise(点赞)
| 编号 | 字段名 | 类型 | 长度 | 是否非空 | 是否主键 | 注释 |
| 1 | praise_id | int | 是 | 是 | 点赞ID | |
| 2 | user_id | int | 是 | 是 | 点赞人 | |
| 3 | create_time | timestamp | 是 | 否 | 创建时间 | |
| 4 | update_time | timestamp | 是 | 否 | 更新时间 | |
| 5 | source_table | varchar | 255 | 否 | 否 | 来源表 |
| 6 | source_field | varchar | 255 | 否 | 否 | 来源字段 |
| 7 | source_id | int | 是 | 否 | 来源ID | |
| 8 | status | tinyint | 是 | 否 | 点赞状态:1为点赞,0已取消 |
表 4-13-registered_user(注册用户)
| 编号 | 字段名 | 类型 | 长度 | 是否非空 | 是否主键 | 注释 |
| 1 | registered_user_id | int | 是 | 是 | 注册用户ID | |
| 2 | user_name | varchar | 64 | 否 | 否 | 用户姓名 |
| 3 | user_age | double | 否 | 否 | 用户年龄 | |
| 4 | user_gender | varchar | 64 | 否 | 否 | 用户性别 |
| 5 | examine_state | varchar | 16 | 是 | 否 | 审核状态 |
| 6 | user_id | int | 是 | 否 | 用户ID | |
| 7 | create_time | datetime | 是 | 否 | 创建时间 | |
| 8 | update_time | timestamp | 是 | 否 | 更新时间 |
表 4-14-rental_information(租赁信息)
| 编号 | 字段名 | 类型 | 长度 | 是否非空 | 是否主键 | 注释 |
| 1 | rental_information_id | int | 是 | 是 | 租赁信息ID | |
| 2 | user_account | int | 否 | 否 | 用户账号 | |
| 3 | vehicle_no | varchar | 64 | 否 | 否 | 车辆编号 |
| 4 | vehicle_brand | varchar | 64 | 否 | 否 | 车辆品牌 |
| 5 | vehicle_type | varchar | 64 | 否 | 否 | 车辆类型 |
| 6 | car_rental_time | datetime | 否 | 否 | 租车时间 | |
| 7 | car_rental_price_days | double | 否 | 否 | 租车价格(天) | |
| 8 | car_rental_days | double | 否 | 否 | 租车天数 | |
| 9 | total_total_price | double | 否 | 否 | 合计总价 | |
| 10 | car_rental_remarks | text | 65535 | 否 | 否 | 租车备注 |
| 11 | examine_state | varchar | 16 | 是 | 否 | 审核状态 |
| 12 | examine_reply | varchar | 255 | 否 | 否 | 审核回复 |
| 13 | pay_state | varchar | 16 | 是 | 否 | 支付状态 |
| 14 | pay_type | varchar | 16 | 否 | 否 | 支付类型: 微信、支付宝、网银 |
| 15 | cancel_message_limit_times | int | 是 | 否 | 在线取消限制次数 | |
| 16 | return_information_limit_times | int | 是 | 否 | 在线还车限制次数 | |
| 17 | create_time | datetime | 是 | 否 | 创建时间 | |
| 18 | update_time | timestamp | 是 | 否 | 更新时间 | |
| 19 | source_table | varchar | 255 | 否 | 否 | 来源表 |
| 20 | source_id | int | 否 | 否 | 来源ID | |
| 21 | source_user_id | int | 否 | 否 | 来源用户 |
表 4-15-return_information(还车信息)
| 编号 | 字段名 | 类型 | 长度 | 是否非空 | 是否主键 | 注释 |
| 1 | return_information_id | int | 是 | 是 | 还车信息ID | |
| 2 | user_account | int | 否 | 否 | 用户账号 | |
| 3 | vehicle_no | varchar | 64 | 否 | 否 | 车辆编号 |
| 4 | vehicle_brand | varchar | 64 | 否 | 否 | 车辆品牌 |
| 5 | vehicle_type | varchar | 64 | 否 | 否 | 车辆类型 |
| 6 | return_time | datetime | 否 | 否 | 还车时间 | |
| 7 | remarks_on_returning_the_car | text | 65535 | 否 | 否 | 还车备注 |
| 8 | examine_state | varchar | 16 | 是 | 否 | 审核状态 |
| 9 | examine_reply | varchar | 255 | 否 | 否 | 审核回复 |
| 10 | create_time | datetime | 是 | 否 | 创建时间 | |
| 11 | update_time | timestamp | 是 | 否 | 更新时间 | |
| 12 | source_table | varchar | 255 | 否 | 否 | 来源表 |
| 13 | source_id | int | 否 | 否 | 来源ID | |
| 14 | source_user_id | int | 否 | 否 | 来源用户 |
表 4-16-slides(轮播图)
| 编号 | 字段名 | 类型 | 长度 | 是否非空 | 是否主键 | 注释 |
| 1 | slides_id | int | 是 | 是 | 轮播图ID | |
| 2 | title | varchar | 64 | 否 | 否 | 标题 |
| 3 | content | varchar | 255 | 否 | 否 | 内容 |
| 4 | url | varchar | 255 | 否 | 否 | 链接 |
| 5 | img | varchar | 255 | 否 | 否 | 轮播图 |
| 6 | hits | int | 是 | 否 | 点击量 | |
| 7 | create_time | timestamp | 是 | 否 | 创建时间 | |
| 8 | update_time | timestamp | 是 | 否 | 更新时间 |
表 4-17-upload(文件上传)
| 编号 | 字段名 | 类型 | 长度 | 是否非空 | 是否主键 | 注释 |
| 1 | upload_id | int | 是 | 是 | 上传ID | |
| 2 | name | varchar | 64 | 否 | 否 | 文件名 |
| 3 | path | varchar | 255 | 否 | 否 | 访问路径 |
| 4 | file | varchar | 255 | 否 | 否 | 文件路径 |
| 5 | display | varchar | 255 | 否 | 否 | 显示顺序 |
| 6 | father_id | int | 否 | 否 | 父级ID | |
| 7 | dir | varchar | 255 | 否 | 否 | 文件夹 |
| 8 | type | varchar | 32 | 否 | 否 | 文件类型 |
表 4-18-user(用户账户)
| 编号 | 字段名 | 类型 | 长度 | 是否非空 | 是否主键 | 注释 |
| 1 | user_id | int | 是 | 是 | 用户ID | |
| 2 | state | smallint | 是 | 否 | 账户状态:(1可用|2异常|3已冻结|4已注销) | |
| 3 | user_group | varchar | 32 | 否 | 否 | 所在用户组 |
| 4 | login_time | timestamp | 是 | 否 | 上次登录时间 | |
| 5 | phone | varchar | 11 | 否 | 否 | 手机号码 |
| 6 | phone_state | smallint | 是 | 否 | 手机认证:(0未认证|1审核中|2已认证) | |
| 7 | username | varchar | 16 | 是 | 否 | 用户名 |
| 8 | nickname | varchar | 16 | 否 | 否 | 昵称 |
| 9 | password | varchar | 64 | 是 | 否 | 密码 |
| 10 | | varchar | 64 | 否 | 否 | 邮箱 |
| 11 | email_state | smallint | 是 | 否 | 邮箱认证:(0未认证|1审核中|2已认证) | |
| 12 | avatar | varchar | 255 | 否 | 否 | 头像地址 |
| 13 | open_id | varchar | 255 | 否 | 否 | 针对获取用户信息字段 |
| 14 | create_time | timestamp | 是 | 否 | 创建时间 |
表 4-19-user_group(用户组)
| 编号 | 字段名 | 类型 | 长度 | 是否非空 | 是否主键 | 注释 |
| 1 | group_id | mediumint | 是 | 是 | 用户组ID | |
| 2 | display | smallint | 是 | 否 | 显示顺序 | |
| 3 | name | varchar | 16 | 是 | 否 | 名称 |
| 4 | description | varchar | 255 | 否 | 否 | 描述 |
| 5 | source_table | varchar | 255 | 否 | 否 | 来源表 |
| 6 | source_field | varchar | 255 | 否 | 否 | 来源字段 |
| 7 | source_id | int | 是 | 否 | 来源ID | |
| 8 | register | smallint | 否 | 否 | 注册位置 | |
| 9 | create_time | timestamp | 是 | 否 | 创建时间 | |
| 10 | update_time | timestamp | 是 | 否 | 更新时间 |
表 4-20-vehicle_type(车辆类型)
| 编号 | 字段名 | 类型 | 长度 | 是否非空 | 是否主键 | 注释 |
| 1 | vehicle_type_id | int | 是 | 是 | 车辆类型ID | |
| 2 | vehicle_type | varchar | 64 | 否 | 否 | 车辆类型 |
| 3 | create_time | datetime | 是 | 否 | 创建时间 | |
| 4 | update_time | timestamp | 是 | 否 | 更新时间 |
5系统实现
5.1注册用户功能实现
5.1.1首页
首页是系统的主界面,展示平台的核心内容,包括轮播图、最新通知公告、汽车资讯等。用户可以通过首页快速访问各个功能模块,还可以根据关键词搜索相关内容,如图5-1所示。

图5-1系统首页界面图
5.1.2汽车资讯
点击系统导航栏上的“汽车资讯”菜单按钮,将进入汽车资讯列表,用户可以查看系统发布的所有汽车资讯内容。点击某汽车资讯后进入详情页,可以查看该资讯的详细内容,用户可以点赞、收藏、评论等。汽车资讯列表页面如图5-2所示。

图5-2汽车资讯列表界面图
5.1.3汽车信息
点击系统导航栏上的“汽车信息”菜单按钮,将进入汽车信息列表,用户可以浏览所有的汽车信息,支持根据关键词搜索和下拉搜索、排序。点击某条汽车信息可查看该汽车的详细信息,用户可以进行点赞、收藏、评论、在线租车等操作。汽车信息列表如图5-3所示。汽车信息详情如图5-4所示。在线租车页如图5-5所示。

图5-3汽车信息列表界面图

图5-4汽车信息详情界面图

图5-5在线租车界面图
5.1.4个人中心
点击系统左上角的“个人中心”菜单按钮,用户可以查看租车记录和审核情况,并进行支付,可以提交取消租车信息并查看审核情况,可以提交还车信息、管理收藏的内容、查看评论记录和被回复信息等。租赁信息页面如图5-6所示。取消信息页面如图5-7所示。还车信息页面如图5-8所示。

图5-6租赁信息界面图

图5-7取消信息界面图

图5-8还车信息界面图
5.2管理员功能实现
5.2.1汽车信息管理
管理员点击“汽车信息管理”这一菜单会显示汽车信息列表和汽车信息添加两个子菜单,点击“汽车信息列表”可以查看所有的汽车信息和用户评论,还可以进行重置、查询、删除等操作。点击“汽车信息添加”,管理员可以添加新的汽车信息。汽车信息列表界面如下图5-9所示。

图5-9汽车信息列表界面图
5.2.2系统用户管理
基于SpringBoot的汽车租赁管理系统中的管理人员是可以对注册用户和管理员进行管理的,包括对用户信息进行增删改查等操作,也可以对管理员进行管控。界面如下图5-10所示。

图5-10用户管理界面图
5.2.3 轮播图管理界面
管理员点击“系统管理-轮播图管理”菜单,可以对前台展示的轮播图进行设置,界面如下图5-11所示。

图5-11轮播图管理界面图
5.2.4通知公告管理界面
管理员点击“系统管理-通知公告管理”这个菜单,可以对系统中的通知公告信息进行管理,包括通知公告信息的增删改查等操作。通知公告管理界面如下图所示。

图5-12通知公告管理界面图
5.2.5 资源管理界面
管理员点击“资源管理”菜单,管理员可以上传、编辑或删除系统的资源,如文章、图片、视频等。这些资源可用于汽车资讯模块的展示。管理员还可以对解读进行分类和标签化,方便用户查找和使用,界面如下图所示。

图5-13资源管理界面图
5.2.6 租赁信息管理界面
管理员点击“租赁信息管理”这一菜单,可以查看和审核用户提交的租赁信息和支付状态,还可以进行查询、重置、删除等操作。租赁信息列表界面如下图所示。

图5-14租赁信息列表界面图
5.2.7 取消信息管理
管理员点击“取消信息管理”这一菜单,可以查看和审核用户提交的取消信息,还可以进行查询、重置、删除等操作。取消信息列表界面如下图所示。

图5-15取消信息列表界面图
5.2.7 还车信息管理
管理员点击“还车信息管理”这一菜单,可以查看并审核用户提交的还车信息,还可以进行查询、重置、删除等操作。还车信息列表界面如下图5-16所示。

图5-16还车信息列表界面图
6系统测试
6.1测试目的
测试的主要目的是确保系统的功能和性能满足预期的需求,同时识别和修复潜在的缺陷。通过系统测试,可以验证各个功能模块的正确性和稳定性,确保系统在不同使用场景下的表现符合设计要求。测试目的包括确认系统功能的完整性、验证数据处理的准确性、评估系统的性能和安全性。测试还可以提高用户满意度,保证用户在使用系统时获得流畅和可靠的体验。通过全面的测试,可以降低后期维护成本,减少系统上线后出现故障的风险,从而保障系统的长期稳定运行。
6.2测试方法
在本系统中,测试方法主要依赖于测试用例的设计与执行。测试用例是根据系统需求文档编写的,覆盖所有功能模块及其边界情况。每个测试用例包含输入数据、预期结果和实际结果的对比,以验证系统的功能是否按预期工作。
常见的测试用例包括功能测试用例、边界测试用例和异常测试用例[13]。功能测试用例针对系统的各项功能进行验证;边界测试用例则侧重于输入数据的边界条件,验证系统在极端情况下是否能够稳定运行;异常测试用例则用于验证系统在处理错误输入或异常情况时的反应。本文选择功能测试用例进行系统测试。
在测试执行过程中,记录每个用例的执行结果,并根据实际结果与预期结果的对比,判断系统是否存在缺陷。通过系统化的测试用例执行,可以有效提高测试的覆盖率和效率,为系统的最终上线提供保障。
6.3测试内容
通过对系统中所含的主要实体对象及其功能操作进行测试用例设计。以下是详细的测试:
表6-1用户注册登录测试表
用户注册登录测试用例:
| 用例说明 | 测试目的 | 测试步骤 | 预期结果 | 输出结果 | 通过情况 |
| 用户注册、登录 | 测试用户正确注册、登录 |
| 用户注册成功,登录成功 | 结果输出符合预期 | 通过 |
表6-2在线租车测试表
在线租车用例:
| 用例说明 | 测试目的 | 测试步骤 | 预期结果 | 输出结果 | 通过情况 |
| 在线租车 | 测试用户在线租车功能 |
| 用户在线租车信息提交成功,生成租赁信息列表 | 结果输出符合预期 | 通过 |
表6-3汽车资讯评论测试表
汽车资讯评论测试用例:
| 用例说明 | 测试目的 | 测试步骤 | 预期结果 | 输出结果 | 通过情况 |
| 汽车资讯评论 | 测试用户汽车资讯评论功能 | 1、在首页点击汽车资讯并看详情; 2、点击评论,输入相关信息点击提交 | 生成新的评论信息 | 结果输出符合预期 | 通过 |
表6-4汽车资讯添加测试表
管理员汽车资讯添加测试用例:
| 用例说明 | 测试目的 | 测试步骤 | 预期结果 | 输出结果 | 通过情况 |
| 汽车资讯添加测试 | 测试管理员添加汽车资讯功能 |
| 汽车资讯添加成功 | 结果输出符合预期 | 通过 |
表6-5通知公告删除测试表
通知公告删除测试用例:
| 用例说明 | 测试目的 | 测试步骤 | 预期结果 | 输出结果 | 通过情况 |
| 通知公告删除测试 | 测试通知公告删除功能 |
| 通知公告删除成功,前端不在展示该通知公告 | 结果输出符合预期 | 通过 |
6.4测试结论
经过上述测试,并对测试数据结果综合分析。基于SpringBoot的汽车租赁管理系统具备简便,数据透明等特性。完全符合基于SpringBoot的汽车租赁管理系统的要求。
结 论
本论文通过基于SpringBoot框架设计与实现了一套汽车租赁管理系统,系统的设计目标是提高汽车租赁业务的管理效率、提升用户体验,并通过信息化手段优化运营流程。系统在功能设计上充分考虑了用户和管理员的需求,分别提供了便捷的租赁服务和高效的后台管理功能。
系统实现了用户角色的多功能管理,包括注册、登录、浏览汽车信息、租赁车辆、管理个人账户等,能够满足用户日常租赁需求,并为用户提供个性化的服务体验。系统的管理员角色功能完善,包括车辆管理、租赁信息管理、订单管理、公告管理等,能够帮助管理员高效地处理平台日常运营事务,确保平台的平稳运行。
在技术实现上,系统基于SpringBoot框架进行开发,具有良好的可扩展性与灵活性。通过前后端分离设计,确保了系统的高效性与用户体验的流畅性。同时,MySQL数据库的使用保证了数据的高效存储与安全管理。系统的架构设计简洁,具备良好的可维护性,为未来功能扩展提供了基础。
通过对本系统的开发与实现,充分验证了基于SpringBoot的汽车租赁管理系统在实际应用中的可行性与优势。系统不仅在功能上实现了全面覆盖,也在性能和稳定性方面表现出色,能够满足中小型汽车租赁平台的日常运营需求。对于汽车租赁行业信息化建设具有重要意义,提供了一个系统化、自动化的解决方案。
未来,随着用户需求的不断变化和技术的不断发展,系统可以进一步拓展更多功能模块,如智能推荐、用户行为分析等,以提升系统的智能化水平和用户体验。同时,在大规模运营时,系统的性能优化和数据安全管理也将成为进一步研究的重要方向。
参考文献
- 冯志林.Java EE程序设计与开发实践教程[M].机械工业出版社:202105.353.
- 尹应荆.JAVA编程语言在计算机软件开发中的应用[J].石河子科技,2023,(05):45-47.
- 刘江涛,王亮亮,吴庆茹,等.基于B/S模式的铁路勘测设计案例信息化管理系统设计与实现[J].铁路计算机应用,2021,30(03):32-35.
- 张丹丹,李弘.基于B/S架构的办公管理系统设计与开发[J].铁路通信信号工程技术,2024,21(09):44-48+106.
- 王志亮,纪松波.基于SpringBoot的Web前端与数据库的接口设计[J].工业控制计算机,2023,36(03):51-53.
- 熊永平.基于SpringBoot框架应用开发技术的分析与研究[J].电脑知识与技术,2021,15(36):76-77.
- 赵媛.基于Vue的Web系统前端性能优化分析[J].电脑编程技巧与维护,2024,(09):44-46.
- 秦冬.浅析Vue框架在前端开发中的应用[J].信息与电脑(理论版),2024,36(13):61-63.
- 李艳杰.MySQL数据库下存储过程的综合运用研究[J].现代信息科技,2023,7(11):80-82+88.
- 陈倩怡,何军.Vue+Springboot+MyBatis技术应用解析[J].电脑编程技巧与维护,2020,(01):14-15+28.
- 周晓玉,崔文超.基于Web技术的数据库应用系统设计[J].信息与电脑(理论版),2023,35(09):189-191.
- 马艳艳,吴晓光.计算机软件与数据库的设计策略分析[J].电子技术,2024,53(05):104-105.
- 李俊萌.计算机软件测试技术与开发应用策略分析[J].信息记录材料,2023,24(03):50-52.
- Mat R R ,Norbaizura K ,Atasya N A , et al.Optimization number of car rental to fulfil the demand using simulation technique: A case study of ABC Car Rental Company[J].Journal of Physics: Conference Series,2021,1988(1):
- 马国华.线上租车网站系统的设计与实现[D].太原理工大学,2020.
- 薛玮翔.汽车租赁管理系统的设计与实现[D].华南理工大学,2020.
- 史忠超.公务租车服务系统设计研究[D].西南科技大学,2020.
- Siwa P A N N ,Putrama M I ,Santyadiputra S G .Development of car rental system based on geographic information system and decision support system with AHP (Analytical Heirarchy Process) and SAW (Simple Additive Weighting) method[J].Journal of Physics Conference Series,2020,1516(1):012013.
- Mon S C ,Tee K T ,Hussin A ‘ A .A Prototype of a Mobile Car Rental System[J].Journal of Physics: Conference Series,2020,1529(3):032023.
- 刘尧.基于JAVA的网上汽车租赁系统设计与实现[D].长江大学,2020.
致 谢
本论文的完成离不开众多导师、同学以及亲友的支持与帮助。在此,首先向我的导师表示最诚挚的感谢。在整个研究和写作过程中,导师以严谨治学的态度和丰富的专业知识给予了我无私的指导,从论文选题到最终定稿的每一个环节,都为我提供了宝贵的建议与意见,使我得以不断完善研究内容、拓展学术视野。导师耐心细致的指导不仅帮助我解决了许多学术难题,也让我在研究能力与学术写作方面得到了显著的提升。导师的鼓励与支持是我完成这篇论文的重要动力,也让我深刻体会到学术研究的严谨性与意义。
我还要感谢在学习生活中给予我帮助和支持的同学、朋友以及家人。论文撰写过程中,许多同学与我共同探讨问题,分享经验与资料,使我的研究更加全面深入。朋友们的关心和陪伴让我在繁忙的研究过程中能够调节心情,保持良好的状态。特别感谢我的家人,他们始终给予我无条件的理解和支持,为我创造了安心学习与研究的环境。正是因为有了大家的帮助和支持,我才能克服论文写作中的重重困难并顺利完成。再次向所有支持和帮助过我的人表达衷心的感谢。
附录
系统核心代码设计
用户注册
注册页UserController.java,传入user对象,并将"user_id"、 "state"、 "user_group"、"login_time"、"phone"、"phone_state"、 "username"、"nickname"、"password"、"email"、"email_state"、"avatar"、"create_time"输入,重点是 "username"、"nickname"、"password"必须输入,通过获取username,数据库查询是否有该用户,如果存在,则提示“用户已存在”,否则执行将UserId置为空(数据库表中该字段已设置自动递增),代码如图所示。

注册核心代码图
用户登录
登录页,首先传入"username"、"email"、"phone"、"password",用户可通过用户名、邮箱、手机号进行登陆,通过判断resultList来确定查询结果,然后执行查询用户组UserGroup,用户组里面不存在,依然报“用户不存在”,执行完以上代码,最后涉及到用户带有“审核”的,会查询examine_state(用户的审核状态),数据库表user_group中含有source_table和source_field进行查询,以上步骤完成,对输入的密码进行存储Token到数据库,匹对账号和密码,数据库中的AccessToken为令牌,用于身份认证,代码如图所示。

用户登录核心代码图
修改密码
修改密码,通过请求data,获取旧密码,并将新密码重新赋值,期间都是需要通过加密,代码如图所示。

修改密码核心代码图
修改数据
修改一个数据,原理与add基本一致,不同点在于通过readConfig()读取关键字,以及通过readQuery()获取URL后面?指定位置的标识,转成Map对象后,执行update操作,同样通过拼接的sql语句执行,执行过程读取query,toWhereSql()语句完成数据库操作,body为修改对象的值,代码如图所示。

修改数据核心代码图
删除数据
删除一条数据,通过readQuery(),获取URL后面的对象地址,删除FROM具体的table,query删除查询FindConfig语句,代码如图示。

删除数据核心代码图
获取列表
通过请求的参数获取列表数据,代码如图所示。

获取列表核心代码图
图片上传
通过请求的参数获取列表数据,代码如图4-13所示。

图片上传核心代码图
请关注点赞+私信博主,免费领取项目源码
6054

被折叠的 条评论
为什么被折叠?



