摘 要
随着传统的招聘和租房方式逐渐暴露出信息不对称、效率低下以及用户体验差等问题,现有系统往往难以满足用户日益增长的需求,特别是在数据处理和信息展示方面。因此,设计并开发一个基于Django框架的招聘租房大数据可视化分析系统显得尤为必要。现有的传统方式在信息收集、筛选和展示方面存在诸多弊端,导致用户获取信息的效率低下,且无法提供动态的、可视化的数据支持。因此,需要通过系统化、智能化的手段提升信息处理能力,并为用户提供更加便捷、精准的服务。
本系统采用Django框架和Python语言进行开发,后端使用MySQL数据库进行数据存储与管理。系统包括多个功能模块:房屋数据、类型统计、招聘数据等统计图、用户管理、薪资范围管理、岗位标签管理、房屋数据管理、类型统计管理、房屋信息管理、招聘数据管理、城市统计管理等。这些模块能够高效地整合和展示租房与招聘领域的核心数据,提升系统的操作便捷性,并为用户提供精确的数据分析与可视化展示。
通过开发该Django招聘租房大数据可视化分析系统,能够有效地整合、分析和展示海量数据,使得用户在招聘和租房过程中能够更快地找到所需资源,提升决策效率。此外,系统也为用户提供了更为直观的数据展示,通过大数据可视化,使得信息的查询、分析变得更加便捷。总体而言,系统的开发和实施将大大提升行业信息化程度,推动租房和招聘领域的数字化转型。
关键词:招聘租房大数据可视化分析系统;diango;MySQL
Abstract
As traditional recruitment and rental methods gradually expose problems such as information asymmetry, low efficiency, and poor user experience, existing systems often struggle to meet the growing needs of users, especially in data processing and information display. Therefore, it is particularly necessary to design and develop a recruitment and rental big data visualization analysis system based on the Django framework. The existing traditional methods have many drawbacks in information collection, screening, and display, resulting in low efficiency for users to obtain information and inability to provide dynamic and visual data support. Therefore, it is necessary to enhance information processing capabilities through systematic and intelligent means, and provide users with more convenient and accurate services.
This system is developed using the Django framework and Python language, and the backend uses MySQL database for data storage and management. The system includes multiple functional modules: statistical charts for housing data, type statistics, recruitment data, user management, salary range management, job label management, housing data management, type statistics management, housing information management, recruitment data management, city statistics management, etc. These modules can efficiently integrate and display core data in the rental and recruitment fields, improve the system's operational convenience, and provide users with accurate data analysis and visual display.
By developing this Django recruitment and rental big data visualization analysis system, it is possible to effectively integrate, analyze, and display massive amounts of data, enabling users to quickly find the resources they need during the recruitment and rental process, and improving decision-making efficiency. In addition, the system also provides users with a more intuitive data display, making information query and analysis more convenient through big data visualization. Overall, the development and implementation of the system will greatly enhance the level of industry informatization and promote the digital transformation of the rental and recruitment fields.
Keywords: Recruitment rental big data visualization analysis system; diango; MySQL
目 录
一、绪论
(一)选题背景和意义
随着互联网技术的快速发展和大数据的广泛应用,传统的招聘和租房方式面临着信息碎片化、资源分散、效率低下等一系列问题。在招聘领域,求职者和招聘企业之间的信息不对称使得双方的沟通和匹配效率低,导致招聘过程繁琐且时间长;在租房领域,房源信息更新不及时、搜索和筛选功能不足,也使得租房者面临较大的信息获取难度[1]。此外,传统的招聘和租房管理系统往往缺乏有效的数据分析和可视化展示手段,难以为用户提供直观的数据支持和决策依据[2]。
因此,设计并开发一个基于大数据分析与可视化技术的招聘租房系统变得尤为重要。通过将招聘信息和租房信息整合在一个系统平台内,并通过大数据分析技术挖掘有价值的数据和趋势,能够有效解决信息不对称、提升效率、优化用户体验[3]。同时,数据的可视化展示不仅能让用户更直观地了解市场趋势,还能够为决策提供更加科学的依据。
本研究的意义在于,利用Django框架和Python语言的技术优势,结合MySQL数据库和大数据可视化技术,设计并实现一个集招聘和租房信息管理、大数据分析和可视化展示为一体的系统[4]。该系统能够帮助招聘企业与求职者、租房者与房东之间更高效地匹配需求,提升市场资源的利用率和透明度,进而推动招聘与租房领域的数字化转型和智能化发展。通过对数据的深度分析与可视化,能够为用户提供更加精准的信息,提高决策效率和用户满意度,具有重要的理论价值和实际应用意义。
(二)国内外研究现状
随着信息技术的不断发展,尤其是大数据和数据可视化技术的广泛应用,招聘和租房领域的管理和服务模式也经历了巨大的变化。国内外许多学者和技术专家已经开始关注并研究如何通过信息化手段提升招聘和租房过程中的效率与体验,尤其是在数据处理和展示方面[5]。
在国外,招聘和租房系统的研究已经取得了一定进展。许多企业和研究机构利用大数据分析和机器学习技术来提高信息匹配度、优化推荐系统。比如,LinkedIn和Indeed等招聘平台采用数据分析技术,通过用户行为数据、职位匹配度分析等方式提高求职者和招聘方之间的匹配度[6]。此外,一些房地产平台,如Zillow和Realtor.com,通过大数据分析和可视化技术,帮助租房者更准确地找到合适的房源。
国外的研究和实践表明,数据可视化技术在招聘和租房领域的应用能够大大提高用户体验,帮助用户更直观地了解市场趋势和需求动态。然而,这些系统仍然面临着如何进一步优化数据展示、提升分析精准度和实用性的挑战。
在国内,随着互联网和大数据技术的快速发展,招聘和租房领域也有了不少创新性的研究。国内的招聘网站如前程无忧、猎云网等开始尝试使用大数据分析来提升招聘的精准度,并通过智能推荐系统为求职者和招聘方提供更加匹配的信息。在租房领域,平台如贝壳找房和58同城等也在积极利用大数据技术来优化房源推荐,并通过可视化分析帮助租房者更好地了解市场动态和房源供给[7]。但是,国内在招聘和租房信息的整合、数据分析和可视化展示方面仍然存在一定的不足,尤其是如何将海量数据有效处理并转化为对用户有价值的信息,还需要进一步研究和完善。很多现有系统存在信息更新滞后、功能单一和用户体验较差等问题。
国内外的研究在招聘和租房领域的主要成就集中在数据收集与分析、信息匹配和推荐算法等方面。然而,大多数现有系统对于用户个性化需求的适应性较差,且在数据可视化与动态分析方面存在一些不足[8]。现有的招聘与租房平台更多的是将数据提供给用户,但未能充分挖掘数据背后的趋势和模式,难以为用户提供具有实际参考价值的决策依据。
因此,本研究通过设计并实现一个基于Django框架的招聘租房大数据可视化分析系统,旨在弥补现有系统在数据分析、可视化展示、用户体验等方面的不足,提出更加高效、精准的信息管理与展示方式。通过系统化、智能化的数据分析与展示,提升信息获取效率,优化用户体验,推动行业的数字化转型。
(三)系统的特点
本系统是基于Django框架开发的招聘租房大数据可视化分析平台,具备高效的数据处理与存储、全面的数据分析与可视化、以及多功能模块集成等特点。系统通过大数据分析展示市场趋势、薪资范围和房源分布等统计图表,支持精确的搜索与筛选功能,确保用户能够快速找到所需信息。采用多层次的用户管理和权限控制,确保数据安全性与操作规范性。同时,系统具备动态内容更新、简洁易用的界面设计和灵活的扩展性,满足招聘和租房领域的多样化需求,提高了信息获取效率和用户体验。
二、系统需求分析
(一)业务需求分析
招聘租房大数据可视化分析系统的业务需求主要集中在提供高效、便捷、精准的招聘和租房信息管理平台,涉及信息展示与查询、数据分析与可视化、用户管理与权限控制、信息实时更新、系统稳定性与扩展性、用户体验以及数据安全与隐私保护等方面。通过强大的搜索和筛选功能,系统支持用户快速查找招聘和房源信息;通过数据分析与可视化展示,帮助用户直观了解市场趋势;系统还具备多角色用户管理和动态信息更新,确保数据的时效性与安全性。整体而言,系统旨在提升用户体验和决策效率,满足招聘和租房领域的多样化需求。
本系统的功能需求包括用户管理、信息展示与查询、数据分析与可视化、信息更新与动态刷新、智能推荐与匹配、数据存储与检索、系统安全与日志监控等方面。用户管理功能需要提供用户注册、登录、权限控制和个人资料管理,确保不同角色的用户可以根据权限访问相关信息;信息展示与查询功能需支持根据城市、薪资范围、房源类型等条件筛选招聘和租房信息,并提供详细的信息展示;数据分析与可视化功能需提供市场趋势、薪资分布、房源价格等图表,帮助用户快速理解数据;信息更新与动态刷新功能应确保房源和招聘信息的实时更新,避免过时信息影响用户决策;智能推荐与匹配功能需根据用户历史行为和偏好提供精准的职位和房源推荐;数据存储与检索功能应支持高效的数据存储和快速查询,确保系统在高并发下的性能;系统安全与日志监控功能需保障数据安全,并通过日志监控及时发现并解决系统异常。通过这些功能,系统能够提供精准、高效、便捷的服务,满足招聘与租房领域用户的多样化需求。
在招聘租房大数据可视化分析系统中,数据需求分析涵盖多个关键领域,管理员需要处理以下几方面的功能需求:
后台首页:管理员登录后,首先看到的是后台首页,这里提供了直观的统计图表,包括房屋数据、类型统计、招聘数据等,方便管理员快速掌握平台的运营状况。
用户管理:管理员可以管理系统中的用户账户,区分不同权限的用户,如管理员和普通用户,进行添加、删除、权限分配等操作。
薪资范围管理:管理员可以设置和调整薪资范围,为房屋数据和招聘数据提供薪资标准,方便用户根据薪资范围筛选信息。
岗位标签管理:管理员可以创建和编辑岗位标签,用于分类和标记不同的招聘岗位,帮助用户更快地找到相关职位信息。
房屋数据管理:管理员可以批量下载和导入文档来管理房屋数据,添加新的房屋类型,以及添加展示信息,包括上传房屋图片、选择薪资范围和输入房屋简介,确保信息的准确性和完整性。
类型统计管理:管理员可以查看和管理房屋类型统计信息,对不同类型的房屋数据进行分析和统计,为用户提供更精准的搜索结果。
房屋信息管理:管理员可以查看和管理所有房屋信息,包括编辑、删除、审核等操作,确保房屋信息的真实性和有效性。
招聘数据管理:管理员可以进行招聘数据的查询、重置、删除和添加操作,录入公司的详细信息,如公司全称、简称、规模、区域、融资阶段、招聘薪资、经营范围、公司福利等,以及录入城市统计信息。
城市统计管理:管理员可以管理城市统计信息,包括添加、编辑和删除城市数据,为用户提供基于地理位置的筛选功能。
系统管理:管理员可以添加、编辑或删除轮播图内容。轮播图通常用于展示重要通知或促销信息,管理员通过管理轮播图可以有效吸引用户关注。
公告消息管理:管理员可以发布和管理公告消息,向用户传达重要信息,如系统更新、活动通知等。
资源管理:管理员可以管理新闻资讯和资讯分类,发布和编辑新闻内容,对资讯进行分类管理,为用户提供最新资讯和信息。
通过以上各项功能需求分析,管理员能够有效地管理招聘租房大数据可视化分析系统的各项数据和功能,提供良好的用户体验和系统运行效率。

在招聘租房大数据可视化分析系统中,用户查看系统信息功能需求,以下是用户在系统中的功能需求:
注册登录:用户在注册时,可以填写自己的薪资范围和选择感兴趣的岗位标签,系统会根据这些信息为用户推荐相关的职位和内容。登录功能允许用户保存个人设置和进度,确保个人信息的安全性和隐私性。
首页:用户在首页可以查看最新的公告消息和新闻资讯,这些内容会根据用户注册时选择的薪资范围和岗位标签进行个性化推荐。此外,首页还会展示系统推荐的房屋信息,帮助用户快速找到合适的居住环境。
公告消息:在公告消息板块,用户可以查看最新的平台通知、行业动态和公司招聘信息。这些信息有助于用户及时了解行业趋势和就业机会,保持与市场的同步。
新闻资讯:新闻资讯板块提供各种与职场、经济、行业相关的最新报道和分析文章。用户可以根据自己的兴趣和需求,浏览和阅读这些内容,以获取有价值的信息和知识。
房屋信息:系统会根据用户注册时选择的薪资范围和岗位标签推荐相应的房屋信息。用户可以使用关键字搜索功能,快速找到自己感兴趣的房源。搜索结果会显示房屋的地址、面积、租金等详细信息,并提供详情链接。点击详情链接可以查看房屋的详细描述、图片和联系方式,帮助用户做出更明智的租赁决策。
招聘数据:用户可以通过关键词搜索,查看各种招聘信息,包括公司名称、职位名称、学历要求、招聘薪资等。此外,用户还可以对感兴趣的招聘信息进行点赞、收藏和评论,以便于后续的跟踪和比较。
我的账户:在“我的账户”板块,用户可以修改个人资料,如联系方式、工作经历等,以及更改登录密码。这有助于用户保持个人信息的准确性和安全性。
个人中心:个人中心是用户管理个人信息和活动的区域。用户可以查看个人首页,管理收藏的房源和文章,以及评论管理,查看和编辑自己在平台上的所有评论。这为用户提供了方便的个人数据管理功能。

图2-2普通用户角色用例图
三、总体设计
招聘租房大数据可视化分析系统的架构包括前端和后端两大部分。前端负责用户界面的设计和交互功能,展示市场趋势、薪资范围、房源分布等可视化图表,支持信息查询、筛选、推荐和实时数据更新等功能。后端由应用服务器和数据库服务器组成,应用服务器处理业务逻辑,如用户管理、数据分析、信息更新和权限控制,确保操作的安全性与正确性;数据库服务器负责存储招聘信息、租房信息、用户数据等,支持高效的数据处理与检索。系统功能模块包括信息展示与查询、数据统计与可视化、用户管理与权限控制、信息更新与动态刷新、智能推荐与匹配等,确保系统精准、高效地服务用户需求。架构设计注重数据安全、性能优化和系统扩展性,确保系统的稳定性与可维护性:
图3-1 系统B/S结构
(二)系统功能模块设计
在招聘租房大数据可视化分析系统的整体架构确定后,主要功能模块分为前台和后台两部分。前台服务于用户,包括首页、信息查询、数据展示、招聘数据、房源信息、新闻公告等页面。前台主要功能包括:展示招聘和租房市场的最新动态、薪资趋势、房源分布等大数据可视化图表,支持用户通过搜索框、筛选器快速查找招聘和房源信息,提供职位推荐和房源推荐功能,用户可以查看新闻资讯和系统公告,以及登录、注册、个人资料管理等功能。后台模块则为管理员提供服务,包括用户管理(管理员、注册用户信息管理)、数据统计与可视化管理(招聘与租房数据统计、趋势图生成)、信息更新与动态刷新管理、权限管理等功能。后台主要功能包括:维护轮播图和公告的发布与管理,管理员可以管理用户的注册信息和权限,更新招聘信息与房源信息,并对系统内的各类数据进行统计和可视化展示,确保信息的时效性和准确性。
在确定各模块后,设计每个模块的功能特点并提取出各模块的公共部分是至关重要的。公共部分如用户认证、权限控制、数据更新机制等可以在各模块间复用,减少重复开发工作,提高系统的可维护性与扩展性。通过合理设计功能模块,系统能够更高效地满足用户需求、提升用户体验,同时确保系统稳定运行与有效管理。功能图如下所示:
图3.1招聘租房大数据可视化分析系统功能模块图
1.前台页面涉及
招聘租房大数据可视化分析系统的前台页面设计采用了上中下的结构,这种设计有助于使页面更加整洁和易于浏览。主题页面的以简单大气为主,突出页面的美观和清晰度。主页面包括导航栏,每个导航项目设计为一个独立的HTML页面,同时还包括用户中心页面和后台管理页面。后台管理页面则以简单的上下结构为主,便于管理员进行操作和管理。这样的设计风格有助于提升用户体验,使页面布局清晰明了,同时也符合现代网页设计的美观和简洁原则。
(1)用户模块结构图
这个网站的用户分为管理员和用户两种模块。它们共享基本功能,但用户多了一个注册功能,以便能够注册使用系统。管理员用户在系统中有着操作权限和功能,确保了系统的一致性和易用性。如下图:
图3.2用户模块结构图
(2)各个结构的具体业务逻辑
a.查询用户信息:设计基础的查询功能,允许用户根据用户ID查询用户信息。此功能主要用于管理员查询用户信息和用户自行查询个人信息。
b.修改用户信息:用户可以根据需要修改个人基本信息,包括姓名、密码、头像等。这种操作可以提高用户个性化体验。
c.增加用户:用户可以通过注册获取账号,成为系统的注册用户,以便享受系统提供的服务和功能。
d.删除用户信息:管理员具有将用户加入黑名单的权限,但无法直接删除用户信息。将用户加入黑名单后,用户将被禁止登录系统,保障系统安全和用户管理的便利性。
3.评论管理模块设计
(1)评论模块结构图
评论管理模块是招聘租房大数据可视化分析系统中的重要组成部分,旨在规范和管理用户对网站内容的评论。用户可以在公开网站上对资讯等内容进行点评,促进用户之间的交流和互动。为了维护良好的用户体验和内容质量,评论管理模块赋予管理员删除不当言论的权限,确保评论内容的合适性和积极性。管理员可以对评论进行审核、编辑和删除,保障网站内容的准确性和秩序性,提升用户满意度和网站品质。评论管理模块的设计旨在平衡用户自由表达和内容规范管理,为用户提供安全、健康的交流环境。具体的结构图如下:

图3.3评论模块结构图
- 各个结构的具体业务逻辑
a.查询评论:设计基础的查询功能,允许根据用户ID查询该用户下的所有评论信息。此功能主要用于查看特定用户的评论记录。
b.发布评论:用户可以根据需要发布自己的评论信息到网站上,分享交流房屋信息、提出问题或建议,促进用户之间的交流和互动。
c.删除评论:管理员具有删除评论的权限,可以删除用户的整条评论。这样的设计有助于管理员维护评论内容的质量和网站秩序,确保用户体验和内容规范。
4.房屋信息管理模块设计
(1)房屋信息模块结构图
招聘租房大数据可视化分析系统需要一个完善的房屋管信息理模块来存储和管理大量的房屋信息。用户可以浏览房屋信息并进行评论等操作,管理员则具有添加、修改、删除房屋的权限,这样的房屋信息管理模块能够有效地组织和管理房屋信息,提供用户查看房屋信息的便利性,同时为管理员提供房屋信息管理的功能,确保系统的正常运行和用户体验。具体的结构图如下:
图3.4房屋信息模块结构图
- 各个结构的具体业务逻辑
a.添加房屋信息:管理员具有添加房屋信息的权限,可以新增房屋信息到系统中。
b.修改房屋信息:管理员可以对现有房屋信息进行修改,包括更新房屋名称、简介等。
c.删除房屋信息:管理员可以删除不需要的房屋信息,确保系统中的房屋信息及时更新和清晰。
d.搜索房屋信息:用户可以浏览房屋信息,选择感兴趣的房屋信息进行收藏操作,满足个性化需求。
(三)数据库及模型设计
1.数据库概要设计
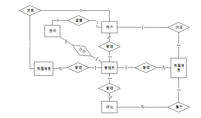
在招聘租房大数据可视化分析系统的总的E-R图中,实体之间的关系包括一对一、多对一、一对多和多对多关系。例如,用户表和房屋信息表之间可能存在多对多的关系,一个用户可以选择多首房屋,同时一首房屋也可以被多个用户选择,这种关系可以用一个连接表来表示。评论表和房屋表可能存在一对多的关系,一个房屋可以有多条评论,但一条评论只对应一个房屋。通过总的E-R图的设计,可以清晰地展现各个实体之间的关系,为数据库表格的设计提供依据。如下图是网站的总E-R图。
图3.5系统总体E-R图
2.数据库模块设计
表 4-1-access_token(登陆访问时长)
| 编号 | 字段名 | 类型 | 长度 | 是否非空 | 是否主键 | 注释 |
| 1 | token_id | int | 是 | 是 | 临时访问牌ID | |
| 2 | token | varchar | 64 | 否 | 否 | 临时访问牌 |
| 3 | info | text | 65535 | 否 | 否 | 信息 |
| 4 | maxage | int | 是 | 否 | 最大寿命:默认2小时 | |
| 5 | create_time | timestamp | 是 | 否 | 创建时间 | |
| 6 | update_time | timestamp | 是 | 否 | 更新时间 | |
| 7 | user_id | int | 是 | 否 | 用户编号 |
表 4-2-article(文章)
| 编号 | 字段名 | 类型 | 长度 | 是否非空 | 是否主键 | 注释 |
| 1 | article_id | mediumint | 是 | 是 | 文章id | |
| 2 | title | varchar | 125 | 是 | 是 | 标题 |
| 3 | type | varchar | 64 | 是 | 否 | 文章分类 |
| 4 | hits | int | 是 | 否 | 点击数 | |
| 5 | praise_len | int | 是 | 否 | 点赞数 | |
| 6 | create_time | timestamp | 是 | 否 | 创建时间 | |
| 7 | update_time | timestamp | 是 | 否 | 更新时间 | |
| 8 | source | varchar | 255 | 否 | 否 | 来源 |
| 9 | url | varchar | 255 | 否 | 否 | 来源地址 |
| 10 | tag | varchar | 255 | 否 | 否 | 标签 |
| 11 | content | longtext | 4294967295 | 否 | 否 | 正文 |
| 12 | img | varchar | 255 | 否 | 否 | 封面图 |
| 13 | description | text | 65535 | 否 | 否 | 文章描述 |
表 4-3-article_type(文章分类)
| 编号 | 字段名 | 类型 | 长度 | 是否非空 | 是否主键 | 注释 |
| 1 | type_id | smallint | 是 | 是 | 分类ID | |
| 2 | display | smallint | 是 | 否 | 显示顺序 | |
| 3 | name | varchar | 16 | 是 | 否 | 分类名称 |
| 4 | father_id | smallint | 是 | 否 | 上级分类ID | |
| 5 | description | varchar | 255 | 否 | 否 | 描述 |
| 6 | icon | text | 65535 | 否 | 否 | 分类图标 |
| 7 | url | varchar | 255 | 否 | 否 | 外链地址 |
| 8 | create_time | timestamp | 是 | 否 | 创建时间 | |
| 9 | update_time | timestamp | 是 | 否 | 更新时间 |
表 4-4-auth(用户权限管理)
| 编号 | 字段名 | 类型 | 长度 | 是否非空 | 是否主键 | 注释 |
| 1 | auth_id | int | 是 | 是 | 授权ID | |
| 2 | user_group | varchar | 64 | 否 | 否 | 用户组 |
| 3 | mod_name | varchar | 64 | 否 | 否 | 模块名 |
| 4 | table_name | varchar | 64 | 否 | 否 | 表名 |
| 5 | page_title | varchar | 255 | 否 | 否 | 页面标题 |
| 6 | path | varchar | 255 | 否 | 否 | 路由路径 |
| 7 | parent | varchar | 64 | 否 | 否 | 父级菜单 |
| 8 | parent_sort | int | 是 | 否 | 父级菜单排序 | |
| 9 | position | varchar | 32 | 否 | 否 | 位置 |
| 10 | mode | varchar | 32 | 是 | 否 | 跳转方式 |
| 11 | add | tinyint | 是 | 否 | 是否可增加 | |
| 12 | del | tinyint | 是 | 否 | 是否可删除 | |
| 13 | set | tinyint | 是 | 否 | 是否可修改 | |
| 14 | get | tinyint | 是 | 否 | 是否可查看 | |
| 15 | field_add | text | 65535 | 否 | 否 | 添加字段 |
| 16 | field_set | text | 65535 | 否 | 否 | 修改字段 |
| 17 | field_get | text | 65535 | 否 | 否 | 查询字段 |
| 18 | table_nav_name | varchar | 500 | 否 | 否 | 跨表导航名称 |
| 19 | table_nav | varchar | 500 | 否 | 否 | 跨表导航 |
| 20 | option | text | 65535 | 否 | 否 | 配置 |
| 21 | create_time | timestamp | 是 | 否 | 创建时间 | |
| 22 | update_time | timestamp | 是 | 否 | 更新时间 |
表 4-5-code_token(验证码)
| 编号 | 字段名 | 类型 | 长度 | 是否非空 | 是否主键 | 注释 |
| 1 | code_token_id | int | 是 | 是 | 验证码ID | |
| 2 | token | varchar | 255 | 否 | 否 | 令牌 |
| 3 | code | varchar | 255 | 否 | 否 | 验证码 |
| 4 | expire_time | timestamp | 是 | 否 | 失效时间 | |
| 5 | create_time | timestamp | 是 | 否 | 创建时间 | |
| 6 | update_time | timestamp | 是 | 否 | 更新时间 |
表 4-6-collect(收藏)
| 编号 | 字段名 | 类型 | 长度 | 是否非空 | 是否主键 | 注释 |
| 1 | collect_id | int | 是 | 是 | 收藏ID | |
| 2 | user_id | int | 是 | 是 | 收藏人ID | |
| 3 | source_table | varchar | 255 | 否 | 否 | 来源表 |
| 4 | source_field | varchar | 255 | 否 | 否 | 来源字段 |
| 5 | source_id | int | 是 | 否 | 来源ID | |
| 6 | title | varchar | 255 | 否 | 否 | 标题 |
| 7 | img | varchar | 255 | 否 | 否 | 封面 |
| 8 | create_time | timestamp | 是 | 否 | 创建时间 | |
| 9 | update_time | timestamp | 是 | 否 | 更新时间 |
表 4-7-comment(评论)
| 编号 | 字段名 | 类型 | 长度 | 是否非空 | 是否主键 | 注释 |
| 1 | comment_id | int | 是 | 是 | 评论ID | |
| 2 | user_id | int | 是 | 是 | 评论人ID | |
| 3 | reply_to_id | int | 是 | 否 | 回复评论ID | |
| 4 | content | longtext | 4294967295 | 否 | 否 | 内容 |
| 5 | nickname | varchar | 255 | 否 | 否 | 昵称 |
| 6 | avatar | varchar | 255 | 否 | 否 | 头像地址 |
| 7 | create_time | timestamp | 是 | 否 | 创建时间 | |
| 8 | update_time | timestamp | 是 | 否 | 更新时间 | |
| 9 | source_table | varchar | 255 | 否 | 否 | 来源表 |
| 10 | source_field | varchar | 255 | 否 | 否 | 来源字段 |
| 11 | source_id | int | 是 | 否 | 来源ID |
表 4-8-hits(用户点击)
| 编号 | 字段名 | 类型 | 长度 | 是否非空 | 是否主键 | 注释 |
| 1 | hits_id | int | 是 | 是 | 点赞ID | |
| 2 | user_id | int | 是 | 否 | 点赞人 | |
| 3 | create_time | timestamp | 是 | 否 | 创建时间 | |
| 4 | update_time | timestamp | 是 | 否 | 更新时间 | |
| 5 | source_table | varchar | 255 | 否 | 否 | 来源表 |
| 6 | source_field | varchar | 255 | 否 | 否 | 来源字段 |
| 7 | source_id | int | 是 | 否 | 来源ID |
表 4-9-housing_data(房屋数据)
| 编号 | 字段名 | 类型 | 长度 | 是否非空 | 是否主键 | 注释 |
| 1 | housing_data_id | int | 是 | 是 | 房屋数据ID | |
| 2 | rental_title | varchar | 64 | 否 | 否 | 租赁标题 |
| 3 | house_address | varchar | 64 | 否 | 否 | 房屋地址 |
| 4 | housing_area | varchar | 64 | 否 | 否 | 房屋面积 |
| 5 | house_orientation | varchar | 64 | 否 | 否 | 房屋朝向 |
| 6 | house_type | varchar | 64 | 否 | 否 | 房屋类型 |
| 7 | rental_label | varchar | 64 | 否 | 否 | 租赁标签 |
| 8 | house_rent | varchar | 64 | 否 | 否 | 房屋租金 |
| 9 | details_link | text | 65535 | 否 | 否 | 详情链接 |
| 10 | type_statistics_limit_times | int | 是 | 否 | 类型统计限制次数 | |
| 11 | housing_information_limit_times | int | 是 | 否 | 展示限制次数 | |
| 12 | create_time | datetime | 是 | 否 | 创建时间 | |
| 13 | update_time | timestamp | 是 | 否 | 更新时间 |
表 4-10-housing_information(房屋信息)
| 编号 | 字段名 | 类型 | 长度 | 是否非空 | 是否主键 | 注释 |
| 1 | housing_information_id | int | 是 | 是 | 房屋信息ID | |
| 2 | rental_title | varchar | 64 | 否 | 否 | 租赁标题 |
| 3 | house_address | varchar | 64 | 否 | 否 | 房屋地址 |
| 4 | housing_area | varchar | 64 | 否 | 否 | 房屋面积 |
| 5 | house_orientation | varchar | 64 | 否 | 否 | 房屋朝向 |
| 6 | house_type | varchar | 64 | 否 | 否 | 房屋类型 |
| 7 | rental_label | varchar | 64 | 否 | 否 | 租赁标签 |
| 8 | house_rent | varchar | 64 | 否 | 否 | 房屋租金 |
| 9 | details_link | text | 65535 | 否 | 否 | 详情链接 |
| 10 | salary_range | varchar | 64 | 否 | 否 | 薪资范围 |
| 11 | house_pictures | varchar | 255 | 否 | 否 | 房屋图片 |
| 12 | house_introduction | longtext | 4294967295 | 否 | 否 | 房屋简介 |
| 13 | collect_len | int | 是 | 否 | 收藏数 | |
| 14 | recommend | int | 是 | 否 | 智能推荐 | |
| 15 | create_time | datetime | 是 | 否 | 创建时间 | |
| 16 | update_time | timestamp | 是 | 否 | 更新时间 | |
| 17 | source_table | varchar | 255 | 否 | 否 | 来源表 |
| 18 | source_id | int | 否 | 否 | 来源ID | |
| 19 | source_user_id | int | 否 | 否 | 来源用户 |
表 4-11-job_label(岗位标签)
| 编号 | 字段名 | 类型 | 长度 | 是否非空 | 是否主键 | 注释 |
| 1 | job_label_id | int | 是 | 是 | 岗位标签ID | |
| 2 | job_label | varchar | 64 | 否 | 否 | 岗位标签 |
| 3 | create_time | datetime | 是 | 否 | 创建时间 | |
| 4 | update_time | timestamp | 是 | 否 | 更新时间 |
表 4-12-notice(公告)
| 编号 | 字段名 | 类型 | 长度 | 是否非空 | 是否主键 | 注释 |
| 1 | notice_id | mediumint | 是 | 是 | 公告ID | |
| 2 | title | varchar | 125 | 是 | 否 | 标题 |
| 3 | content | longtext | 4294967295 | 否 | 否 | 正文 |
| 4 | create_time | timestamp | 是 | 否 | 创建时间 | |
| 5 | update_time | timestamp | 是 | 否 | 更新时间 |
表 4-13-ordinary_users(普通用户)
| 编号 | 字段名 | 类型 | 长度 | 是否非空 | 是否主键 | 注释 |
| 1 | ordinary_users_id | int | 是 | 是 | 普通用户ID | |
| 2 | user_name | varchar | 64 | 否 | 否 | 用户姓名 |
| 3 | user_gender | varchar | 64 | 否 | 否 | 用户性别 |
| 4 | user_age | varchar | 64 | 否 | 否 | 用户年龄 |
| 5 | salary_range | varchar | 64 | 否 | 否 | 薪资范围 |
| 6 | job_label | varchar | 64 | 否 | 否 | 岗位标签 |
| 7 | examine_state | varchar | 16 | 是 | 否 | 审核状态 |
| 8 | user_id | int | 是 | 否 | 用户ID | |
| 9 | create_time | datetime | 是 | 否 | 创建时间 | |
| 10 | update_time | timestamp | 是 | 否 | 更新时间 |
表 4-14-praise(点赞)
| 编号 | 字段名 | 类型 | 长度 | 是否非空 | 是否主键 | 注释 |
| 1 | praise_id | int | 是 | 是 | 点赞ID | |
| 2 | user_id | int | 是 | 是 | 点赞人 | |
| 3 | create_time | timestamp | 是 | 否 | 创建时间 | |
| 4 | update_time | timestamp | 是 | 否 | 更新时间 | |
| 5 | source_table | varchar | 255 | 否 | 否 | 来源表 |
| 6 | source_field | varchar | 255 | 否 | 否 | 来源字段 |
| 7 | source_id | int | 是 | 否 | 来源ID | |
| 8 | status | tinyint | 是 | 否 | 点赞状态:1为点赞,0已取消 |
表 4-15-recruitment_data(招聘数据)
| 编号 | 字段名 | 类型 | 长度 | 是否非空 | 是否主键 | 注释 |
| 1 | recruitment_data_id | int | 是 | 是 | 招聘数据ID | |
| 2 | full_company_name | varchar | 64 | 否 | 否 | 公司全名 |
| 3 | company_abbreviation | varchar | 64 | 否 | 否 | 公司简称 |
| 4 | company_size | varchar | 64 | 否 | 否 | 公司规模 |
| 5 | financing_stage | varchar | 64 | 否 | 否 | 融资阶段 |
| 6 | company_region | varchar | 64 | 否 | 否 | 公司区域 |
| 7 | job_title | varchar | 64 | 否 | 否 | 职位名称 |
| 8 | work_experience | varchar | 64 | 否 | 否 | 工作经验 |
| 9 | educational_requirements | varchar | 64 | 否 | 否 | 学历要求 |
| 10 | recruitment_salary | double | 否 | 否 | 招聘薪资 | |
| 11 | job_benefits | varchar | 64 | 否 | 否 | 职位福利 |
| 12 | nature_of_business | varchar | 64 | 否 | 否 | 经营范围 |
| 13 | position_type | varchar | 64 | 否 | 否 | 职位类型 |
| 14 | benefits | varchar | 64 | 否 | 否 | 公司福利 |
| 15 | company_city | varchar | 64 | 否 | 否 | 公司城市 |
| 16 | urban_statistics_limit_times | int | 是 | 否 | 城市统计限制次数 | |
| 17 | create_time | datetime | 是 | 否 | 创建时间 | |
| 18 | update_time | timestamp | 是 | 否 | 更新时间 |
表 4-16-salary_range(薪资范围)
| 编号 | 字段名 | 类型 | 长度 | 是否非空 | 是否主键 | 注释 |
| 1 | salary_range_id | int | 是 | 是 | 薪资范围ID | |
| 2 | salary_range | varchar | 64 | 否 | 否 | 薪资范围 |
| 3 | create_time | datetime | 是 | 否 | 创建时间 | |
| 4 | update_time | timestamp | 是 | 否 | 更新时间 |
表 4-17-schedule(日程管理)
| 编号 | 字段名 | 类型 | 长度 | 是否非空 | 是否主键 | 注释 |
| 1 | schedule_id | smallint | 是 | 是 | 日程ID | |
| 2 | content | varchar | 255 | 否 | 否 | 日程内容 |
| 3 | scheduled_time | datetime | 否 | 否 | 计划时间 | |
| 4 | user_id | int | 是 | 否 | 用户ID | |
| 5 | create_time | datetime | 否 | 否 | 创建时间 | |
| 6 | update_time | datetime | 否 | 否 | 更新时间 |
表 4-18-score(评分)
| 编号 | 字段名 | 类型 | 长度 | 是否非空 | 是否主键 | 注释 |
| 1 | score_id | int | 是 | 是 | 评分ID | |
| 2 | user_id | int | 是 | 否 | 评分人 | |
| 3 | nickname | varchar | 64 | 否 | 否 | 昵称 |
| 4 | score_num | double | 是 | 否 | 评分 | |
| 5 | create_time | timestamp | 是 | 否 | 创建时间 | |
| 6 | update_time | timestamp | 是 | 否 | 更新时间 | |
| 7 | source_table | varchar | 255 | 否 | 否 | 来源表 |
| 8 | source_field | varchar | 255 | 否 | 否 | 来源字段 |
| 9 | source_id | int | 是 | 否 | 来源ID |
表 4-19-slides(轮播图)
| 编号 | 字段名 | 类型 | 长度 | 是否非空 | 是否主键 | 注释 |
| 1 | slides_id | int | 是 | 是 | 轮播图ID | |
| 2 | title | varchar | 64 | 否 | 否 | 标题 |
| 3 | content | varchar | 255 | 否 | 否 | 内容 |
| 4 | url | varchar | 255 | 否 | 否 | 链接 |
| 5 | img | varchar | 255 | 否 | 否 | 轮播图 |
| 6 | hits | int | 是 | 否 | 点击量 | |
| 7 | create_time | timestamp | 是 | 否 | 创建时间 | |
| 8 | update_time | timestamp | 是 | 否 | 更新时间 |
表 4-20-type_statistics(类型统计)
| 编号 | 字段名 | 类型 | 长度 | 是否非空 | 是否主键 | 注释 |
| 1 | type_statistics_id | int | 是 | 是 | 类型统计ID | |
| 2 | rental_title | varchar | 64 | 否 | 否 | 租赁标题 |
| 3 | house_address | varchar | 64 | 否 | 否 | 房屋地址 |
| 4 | housing_area | varchar | 64 | 否 | 否 | 房屋面积 |
| 5 | house_orientation | varchar | 64 | 否 | 否 | 房屋朝向 |
| 6 | house_type | varchar | 64 | 否 | 否 | 房屋类型 |
| 7 | rental_label | varchar | 64 | 否 | 否 | 租赁标签 |
| 8 | house_rent | varchar | 64 | 否 | 否 | 房屋租金 |
| 9 | details_link | text | 65535 | 否 | 否 | 详情链接 |
| 10 | create_time | datetime | 是 | 否 | 创建时间 | |
| 11 | update_time | timestamp | 是 | 否 | 更新时间 | |
| 12 | source_table | varchar | 255 | 否 | 否 | 来源表 |
| 13 | source_id | int | 否 | 否 | 来源ID | |
| 14 | source_user_id | int | 否 | 否 | 来源用户 |
表 4-21-upload(文件上传)
| 编号 | 字段名 | 类型 | 长度 | 是否非空 | 是否主键 | 注释 |
| 1 | upload_id | int | 是 | 是 | 上传ID | |
| 2 | name | varchar | 64 | 否 | 否 | 文件名 |
| 3 | path | varchar | 255 | 否 | 否 | 访问路径 |
| 4 | file | varchar | 255 | 否 | 否 | 文件路径 |
| 5 | display | varchar | 255 | 否 | 否 | 显示顺序 |
| 6 | father_id | int | 否 | 否 | 父级ID | |
| 7 | dir | varchar | 255 | 否 | 否 | 文件夹 |
| 8 | type | varchar | 32 | 否 | 否 | 文件类型 |
表 4-22-urban_statistics(城市统计)
| 编号 | 字段名 | 类型 | 长度 | 是否非空 | 是否主键 | 注释 |
| 1 | urban_statistics_id | int | 是 | 是 | 城市统计ID | |
| 2 | full_company_name | varchar | 64 | 否 | 否 | 公司全名 |
| 3 | company_abbreviation | varchar | 64 | 否 | 否 | 公司简称 |
| 4 | company_size | varchar | 64 | 否 | 否 | 公司规模 |
| 5 | financing_stage | varchar | 64 | 否 | 否 | 融资阶段 |
| 6 | company_region | varchar | 64 | 否 | 否 | 公司区域 |
| 7 | job_title | varchar | 64 | 否 | 否 | 职位名称 |
| 8 | work_experience | varchar | 64 | 否 | 否 | 工作经验 |
| 9 | educational_requirements | varchar | 64 | 否 | 否 | 学历要求 |
| 10 | salary_range | varchar | 64 | 否 | 否 | 薪资范围 |
| 11 | job_benefits | varchar | 64 | 否 | 否 | 职位福利 |
| 12 | nature_of_business | varchar | 64 | 否 | 否 | 经营范围 |
| 13 | position_type | varchar | 64 | 否 | 否 | 职位类型 |
| 14 | benefits | varchar | 64 | 否 | 否 | 公司福利 |
| 15 | company_city | varchar | 64 | 否 | 否 | 公司城市 |
| 16 | create_time | datetime | 是 | 否 | 创建时间 | |
| 17 | update_time | timestamp | 是 | 否 | 更新时间 | |
| 18 | source_table | varchar | 255 | 否 | 否 | 来源表 |
| 19 | source_id | int | 否 | 否 | 来源ID | |
| 20 | source_user_id | int | 否 | 否 | 来源用户 |
表 4-23-user(用户账户)
| 编号 | 字段名 | 类型 | 长度 | 是否非空 | 是否主键 | 注释 |
| 1 | user_id | int | 是 | 是 | 用户ID | |
| 2 | state | smallint | 是 | 否 | 账户状态:(1可用|2异常|3已冻结|4已注销) | |
| 3 | user_group | varchar | 32 | 否 | 否 | 所在用户组 |
| 4 | login_time | timestamp | 是 | 否 | 上次登录时间 | |
| 5 | phone | varchar | 11 | 否 | 否 | 手机号码 |
| 6 | phone_state | smallint | 是 | 否 | 手机认证:(0未认证|1审核中|2已认证) | |
| 7 | username | varchar | 16 | 是 | 否 | 用户名 |
| 8 | nickname | varchar | 16 | 否 | 否 | 昵称 |
| 9 | password | varchar | 64 | 是 | 否 | 密码 |
| 10 | | varchar | 64 | 否 | 否 | 邮箱 |
| 11 | email_state | smallint | 是 | 否 | 邮箱认证:(0未认证|1审核中|2已认证) | |
| 12 | avatar | varchar | 255 | 否 | 否 | 头像地址 |
| 13 | open_id | varchar | 255 | 否 | 否 | 针对获取用户信息字段 |
| 14 | create_time | timestamp | 是 | 否 | 创建时间 |
表 4-24-user_group(用户组)
| 编号 | 字段名 | 类型 | 长度 | 是否非空 | 是否主键 | 注释 |
| 1 | group_id | mediumint | 是 | 是 | 用户组ID | |
| 2 | display | smallint | 是 | 否 | 显示顺序 | |
| 3 | name | varchar | 16 | 是 | 否 | 名称 |
| 4 | description | varchar | 255 | 否 | 否 | 描述 |
| 5 | source_table | varchar | 255 | 否 | 否 | 来源表 |
| 6 | source_field | varchar | 255 | 否 | 否 | 来源字段 |
| 7 | source_id | int | 是 | 否 | 来源ID | |
| 8 | register | smallint | 否 | 否 | 注册位置 | |
| 9 | create_time | timestamp | 是 | 否 | 创建时间 | |
| 10 | update_time | timestamp | 是 | 否 | 更新时间 |
四、功能实现
招聘租房大数据可视化分析系统的详细设计与实现主要基于需求分析和总体设计,包括界面设计和业务逻辑实现两方面。界面设计包括首页、房屋信息和个人中心页面的设计,以提升用户体验;业务逻辑实现包括用户认证、房屋信息管理、和评论管理等功能的实现,确保系统运行稳定和数据安全。通过这些设计和实现,招聘租房大数据可视化分析系统能够提供用户友好的界面和功能操作,满足用户需求,提升系统的易用性和效率。
网站主页作为招聘租房大数据可视化分析系统的重要入口,旨在通过清晰的页面布局和直观的功能设计提供良好的用户体验。主页展示系统核心信息、热门推荐和功能入口,确保用户能够快速找到所需的资讯和房屋信息。同时,提供搜索功能、用户登录与注册入口,并通过动态内容更新保持信息的新鲜度。整体设计简洁明了,提升了系统的可用性和用户满意度。
其主界面展示如下图4.1所示。

图4.1招聘租房大数据可视化分析系统主界面
在招聘租房大数据可视化分析系统中,由于项目仅用于测试目的,用户登录首页展示的图片和数据部分可能来自项目本地或数据库。为了提高页面的效率和一致性,可以将公共样式如搜索部分、页头部分等进行抽取,形成公共样式文件,然后在HTML页面中引入这些公共样式文件。这样做有助于减少重复代码,提高页面加载速度,同时确保页面风格的统一性和维护的便利性。
关键代码如下:
用户可以通过注册获取账户,使用账号和密码进行登录,以便访问系统功能。其注册界面展示如下图4.2所示。
图4.2用户注册界面
关键代码如下:
用户登录功能模块是招聘租房大数据可视化分析系统中的关键功能之一,通过输入正确的用户名和密码,用户可以登录系统并访问其功能。实现用户登录功能的步骤包括验证用户输入的用户名和密码是否匹配数据库中的记录,若匹配则允许用户登录,否则提示用户重新输入。在登录过程中,需要确保用户输入的信息安全性,如密码加密存储和传输。登录成功后,用户可以访问个人信息、房屋信息等页面,提升系统的用户体验和安全性。用户登录界面如下图4.3所示。
图4.3用户登录界面
关键代码如下:
评论管理模块是招聘租房大数据可视化分析系统中的重要组成部分,旨在规范和管理用户对网站内容的评论。用户可以在公开网站上对房屋信息、资讯等内容进行点评,促进用户之间的交流和互动。界面如图4.4所示:
图4.4招聘租房大数据可视化分析系统用户评论界面
关键代码如下:
5.房屋信息功能实现
系统会根据用户注册时选择的薪资范围和岗位标签推荐相应的房屋信息。用户可以使用关键字搜索功能,快速找到自己感兴趣的房源。搜索结果会显示房屋的地址、面积、租金等详细信息,并提供详情链接。点击详情链接可以查看房屋的详细描述、图片和联系方式,帮助用户做出更明智的租赁决策。
具体的实现界面如下图4.5所示:
图4.5房屋信息界面
用户可以使用关键词搜索功能来查找感兴趣的招聘数据信息,包括公司名称、职位名称、学历要求、招聘薪资等。此外,用户还可以对感兴趣的职位进行点赞、收藏和评论,以便于跟踪和分享。具体的实现界面如下图4.6所示:
图4.6招聘数据列表界面
- 新闻资讯功能实现
用户可以对新闻资讯进行查看,及时查看最新的资讯信息,对感兴趣的资讯进行点赞收藏以及评论。具体的实现界面如下图4.7所示:
招聘租房大数据可视化分析系统中,后台管理员可以通过账户名和密码登录。用户输入完整账户信息后,系统会验证是否有空数据,再核对账户名和密码与数据库信息是否一致,验证通过后自动跳转至系统首页,否则提示错误信息。否则将会提示相应错误信息,管理员登录界面如下图4.8所示。
图4.8后台登录界面
管理员需要管理系统中的管理员、用户,包括添加新用户、修改用户信息、删除用户账号以及查询用户数据。具体的实现界面如下图:
图4.9用户管理界面
3.数据统计表功能实现
管理员登录后,首先看到的是后台首页,这里提供了直观的统计图表,包括房屋数据、类型统计、招聘数据等,方便管理员快速掌握平台的运营状况。具体的实现界面如下图:
图4.10数据统计界面
4.房屋数据管理功能实现
管理员可以批量下载和导入文档来管理房屋数据,添加新的房屋类型,以及添加展示信息,包括上传房屋图片、选择薪资范围和输入房屋简介,确保信息的准确性和完整性。具体的实现界面如下图:
图4.11房屋数据管理界面
图4.12添加房屋展示信息界面
5.招聘数据管理功能实现
管理员可以进行招聘数据的查询、重置、删除和添加操作,录入公司的详细信息,如公司全称、简称、规模、区域、融资阶段、招聘薪资、经营范围、公司福利等,以及录入城市统计信息。具体的实现界面如下图:
图4.13添加招聘数据界面
- 系统管理功能实现
管理员可以添加、编辑或删除轮播图内容。轮播图通常用于展示重要通知或促销信息,管理员通过管理轮播图可以有效吸引用户关注。具体的实现界面如下图:
图4.14轮播图管理界面
五、系统测试
(一)系统测试目的
测试是为了验证招聘租房大数据可视化分析系统在功能、性能、安全性和用户体验等方面的表现。通过测试,可以发现并修复潜在的问题和缺陷,确保系统的正常运行和稳定性。功能验证确保各项功能按设计要求运行;性能评估评估系统的响应时间和并发处理能力;安全检测确保系统的身份认证和数据传输安全;用户体验评估提升界面友好性和操作流程;兼容性测试确保系统在不同设备和浏览器上的兼容性。通过全面的测试,系统将更可靠地支持管理员工作,并提供优质的用户体验。
(二)系统可用性测试
网站的可用性测试是测试网站最基本的功能,比如鼠标点击是否可用,页面跳转是否正常等。下面是具体的测试结果。
表6-1招聘租房大数据可视化分析系统可用性测试
| 可用性测试方面 | 测试内容 |
| 导航测试 | - 检查系统导航结构是否清晰明了 |
| - 测试用户能否快速找到所需功能和信息 | |
| 功能测试 | - 测试用户注册、登录、房屋信息浏览、收藏、评论等功能是否正常运作 |
| 响应时间测试 | - 测试系统在不同网络环境下的响应速度 |
| - 确保用户操作时不会遇到明显延迟 | |
| 错误处理测试 | - 测试系统在用户输入错误或操作异常时的提示信息和处理方式 |
| - 确保用户能清晰了解错误原因并得到帮助 | |
| 跨平台兼容性测试 | - 测试系统在不同操作系统和设备上的兼容性 |
| - 确保用户无论使用何种设备都能正常访问系统 | |
| 用户反馈测试 | - 收集用户反馈意见和建议 |
| - 了解用户使用体验和需求 |
对网站的主要页面和功能点的测试用例如下:
(1)用户登陆网站测试用例如表 6-2 所示。
表6-2用户登录网站测试用例
| 测试用例名称 | 用户登录网站 |
| 测试目的 | 验证用户能够成功登录网站 |
| 前提条件 | 用户已注册账户且拥有有效的用户名和密码 |
| 测试步骤 | 1. 打开网站登录页面 |
| 2. 输入有效的用户名和密码 | |
| 3. 点击登录按钮 | |
| 预期结果 | 用户成功登录,系统跳转至用户首页 |
| 测试数据 | 有效的用户名和密码 |
| 预期行为 | - 用户输入正确的用户名和密码 |
| - 系统验证用户名和密码是否匹配数据库中的信息 | |
| - 登录成功后跳转至用户首页 | |
| 替代路径 | - 如果用户名或密码错误,系统应提示错误信息并阻止登录 |
| - 如果用户输入为空数据,系统应提示输入有效信息 | |
| 附加信息 | 可以考虑测试登录页面的响应速度和错误处理机制 |
(2)新闻资讯信息测试用例如表 6-3 所示
表6-3新闻资讯测试用例
| 测试用例名称 | 新闻资讯浏览 |
| 测试目的 | 验证用户能够成功浏览新闻资讯 |
| 前提条件 | 用户已登录系统且有权限访问新闻资讯模块 |
| 测试步骤 | 1. 进入新闻资讯模块 |
| 2. 浏览最新发布的新闻资讯 | |
| 3. 查看具体资讯内容 | |
| 预期结果 | 用户能够顺利浏览新闻资讯,查看详细内容 |
| 测试数据 | 最新发布的新闻资讯 |
| 预期行为 | - 用户能够进入新闻资讯模块并浏览资讯列表 |
| - 用户能够点击具体资讯查看详细内容 | |
| - 系统应展示资讯的标题、内容、发布时间等信息 | |
| 替代路径 | - 如果资讯加载缓慢,用户应能够等待或刷新页面 |
| - 如果资讯内容有误或不完整,用户应能够报告问题或反馈 | |
| 附加信息 | 可以考虑测试资讯页面的响应速度、页面布局和用户交互等方面 |
(3)评论试用例如表6-4所示
表6-4评论测试用例
| 测试用例名称 | 评论新闻资讯 |
| 测试目的 | 验证用户能够成功对新闻资讯进行评论 |
| 前提条件 | 用户已登录系统且有权限评论新闻资讯 |
| 测试步骤 | 1. 进入具体新闻资讯页面 |
| 2. 查看资讯内容并定位评论框 | |
| 3. 输入评论内容并提交评论 | |
| 预期结果 | 用户成功提交评论,评论显示在资讯页面上 |
| 测试数据 | 评论内容 |
| 预期行为 | - 用户能够找到评论框并输入评论内容 |
| - 系统应接受用户输入的评论并显示在资讯页面上 | |
| - 评论应包括评论者名称、评论内容、评论时间等信息 | |
| 替代路径 | - 如果评论提交失败,系统应提示错误信息并允许重新提交 |
| - 如果评论内容违规,系统应有相应处理机制 | |
| 附加信息 | 可以考虑测试评论提交的响应速度、评论显示的排版和格式等方面 |
(4)房屋信息添加信息测试用例如表6-5所示
表6-5房屋信息添加测试用例
| 测试用例名称 | 添加房屋 |
| 测试目的 | 验证管理员能够成功添加新房屋信息 |
| 前提条件 | 管理员已登录系统且具有添加房屋信息的权限 |
| 测试步骤 | 1. 进入房屋信息管理页面 |
| 2. 点击添加房屋按钮 | |
| 3. 输入房屋信息(房屋名称、简介等) | |
| 4. 上传房屋信息相关资料(如图片等) | |
| 5. 确认并保存房屋信息 | |
| 预期结果 | 管理员成功添加新房屋信息,房屋信息显示在房屋信息列表中 |
| 测试数据 | 新房屋的名称、简介等 |
| 预期行为 | - 管理员能够顺利进入房屋信息管理页面并找到添加房屋信息按钮 |
| - 管理员能够填写完整的房屋信息并上传相关信息 | |
| - 系统应保存房屋信息并在房屋信息列表中显示新增的房屋信息 | |
| 替代路径 | - 如果房屋信息填写不完整,系统应提示错误信息并阻止保存 |
| - 如果上传图片失败,系统应提供重新上传的选项 | |
| 附加信息 | 可以考虑测试房屋信息添加页面的响应速度、信息验证和上传功能等方面 |
经过新闻资讯浏览、评论、房屋信息添加功能的测试,结果显示系统表现良好。用户能够顺利浏览最新资讯、进行评论,管理员成功添加房屋信息,系统响应速度快且功能正常。这些测试结果表明系统在功能性和用户体验方面表现出色,但仍需持续监测和优化以确保系统稳定性和用户满意度。
结 论
本招聘租房大数据可视化分析系统通过前台和后台的合理模块划分,充分满足了用户和管理员的多重需求。前台通过展示可视化图表、招聘与租房信息查询、智能推荐等功能,提升了用户体验,使用户能够更加高效地获取相关信息。后台则通过精确的权限管理、数据更新与维护、信息统计与分析等功能,确保了系统的高效运营与管理,提升了数据的时效性和准确性。模块化设计和公共部分提取使得系统在可维护性与扩展性方面表现优异,减少了重复开发,提高了开发效率。
展望未来,随着数据量的不断增长和用户需求的不断变化,系统可以进一步优化数据处理和分析能力,增加更多智能化功能,进一步提升系统的个性化服务。同时,系统的安全性与稳定性需要持续强化,确保在高并发情况下的良好性能,并适应不同设备和平台的使用需求。未来,随着技术的不断进步,系统还可以拓展至多语言支持和国际化功能,服务更广泛的用户群体,满足全球招聘和租房市场的需求。
参考文献
- 熊金泉,龚瑾,周群,等.基于大数据可视化分析技术的智慧系统设计[J].集成电路应用,2024,41(12):378-379.DOI:10.19339/j.issn.1674-2583.2024.12.180.
- Tanaka K ,Minami Y ,Ishikawa M .NQLib: A Python library for noise-shaping quantizer synthesis[J].SoftwareX,2024,27101792-101792.
- Ayuan Z .Research on The Mixed Teaching Mode of Python Language Programming Course[J].Education Reform and Development,2024,6(4):25-29.
- 湘潭市:打造房屋交易数据共享生态体系[J].中国建设信息化,2024,(09):37-39.
- 尹帮治,田桂丰,鄢创辉,等.一种基于FKPCA和AHP的房屋安全大数据特征选择与分类算法[J].信息记录材料,2024,25(05):239-242.DOI:10.16009/j.cnki.cn13-1295/tq.2024.05.034.
- 姜永成.基于Django的网络招聘数据可视化分析系统的设计与实现[J].科技资讯,2023,21(19):57-60.DOI:10.16661/j.cnki.1672-3791.2306-5042-4316.
- 尹鹏飞,曹发生.逻辑推理题的Python求解法[J].贵州工程应用技术学院学报,2023,41(04):87-92.
- 陆海鸿.Python语言在网络爬虫与数据挖掘中的应用[J].信息与电脑(理论版),2023,35(15):183-186.
- 余战秋.Python数据采集软件的设计与应用[J].电子技术,2023,52(07):307-309.
- 梅各东.论大数据经济背景下居住权功能定位的转变与适用情形[J].产业科技创新,2023,5(03):121-125.
- 田鑫,陈峰.基于大数据的房地产市场监测分析体系[J].中国房地产,2023,(01):31-34.DOI:10.13562/j.china.real.estate.2023.01.002.
- 李海波.就业技能需求分析系统[P].江苏省:CN202211007443.4,2022-12-02.
- 李海波,张睿,张志明,等.基于大数据技术的大学生就业技能需求分析系统[J].工业控制计算机,2022,35(10):127-130.
- 刘宇.大数据背景下的房地产档案管理创新发展研究[J].山东档案,2022,(04):53.
- 黄锦帆,梁少华,张佳.招聘数据可视化分析系统的设计与实现[J].电脑知识与技术,2022,18(18):39-41.DOI:10.14004/j.cnki.ckt.2022.1189.
- Jiaqi Z ,Liulan Q ,Kexin L , et al.Django: Bilateral coflow scheduling with predictive concurrent connections[J].Journal of Parallel and Distributed Computing,2021,152
- Manikanta K V ,P. L ,Neha K R , et al.Visualization of Real World Enterprise Data using Python Django Framework[J].IOP Conference Series: Materials Science and Engineering,2021,1042(1):012019-.
- Huan T ,Jing Z ,Jiaqi S .Research on Optimized Storage and Analysis System of Web Log Based on Django’s MVC Framework[J].Journal of Physics: Conference Series,2021,1769(1):012065-.
- 朱雨婷,莫蕾钰,徐孝民.网络招聘:国外研究动态及前沿——基于VOSviewer和CiteSpace的可视化分析[J].管理现代化,2020,40(06):101-103.DOI:10.19634/j.cnki.11-1403/c.2020.06.021.
- 王瑞梅.网络招聘数据可视化分析系统的设计与实现[D].河北师范大学,2020.DOI:10.27110/d.cnki.ghsfu.2020.000259.
致 谢
在完成这个关于招聘租房大数据可视化分析系统的探讨过程中,我想要向所有支持和帮助过我的人致以诚挚的感谢。首先,感谢我的家人,是你们默默的付出和支持,让我有了安心学习的环境和坚定追求梦想的勇气。其次,感谢我的同学和朋友,在我学习和工作中给予我无尽的支持和理解,他们的陪伴和鼓励是我不断前行的动力源泉, 是他们在学习过程中对我的帮助和鼓励,让我感受到集体的力量和友情的温暖,让我不再感到迷茫和孤单。其次,感谢我的导师,她在学术和职业道路上给予我宝贵的指导和建议,让我不断成长和进步,使我更加懂得谦逊和坚韧。没有指导老师耐心指导,悉心教诲,就不会有我在学术研究上的进步。您们的支持和鼓励是我前行的动力和勇气,让我在追求梦想的路上永不停步。无论遇到怎样的困难和挑战,我都会倍加珍惜这份支持和鼓励,更加努力学习,不负众望,不负时光。再次衷心感谢您们!
请关注点赞+私信博主,免费领取项目源码
基于Django的大数据可视化招聘租房系统
1413

被折叠的 条评论
为什么被折叠?



