目 录
摘要
自改革开放以来,我国旅游业迅速发展,但相对而言,国内旅游业的广度和深度仍远远无法满足经济发展和人民生活水平提高的需求。随着市场经济和人民收入水平的提升,人们对旅游消费的需求不断增加,国内旅游业在国民经济中的地位和作用日益重要。然而,我国旅游产业仍面临基础薄弱、管理手段滞后、信息化程度低、企业效益不佳等挑战。考虑到以上因素,设计一款基于SSM框架的旅游平台,以Mysql作为后台数据的主要存储单元,采用SSM框架和B/S架构进行系统编码和开发,实现系统的各项功能。该系统完善了旅游平台内部各项工作流程的信息化,涵盖系统用户、酒店信息、旅游景点、景点订单、车次车票、车票预定、酒店订单、交流管理、资源管理、系统管理、通知公告管理等功能。
关键词:Java技术;SSM;旅游平台
Abstract
Since the reform and opening up, China's tourism industry has developed rapidly, but relatively speaking, the breadth and depth of the domestic tourism industry are still far from meeting the needs of economic development and the improvement of people's living standards. With the improvement of market economy and people's income level, the demand for tourism consumption is constantly increasing, and the position and role of domestic tourism industry in the national economy are becoming increasingly important. However, China's tourism industry still faces challenges such as weak foundation, lagging management methods, low level of informatization, and poor enterprise efficiency. Considering the above factors, design a tourism platform based on the SSM framework, with MySQL as the main storage unit for backend data, and use the SSM framework and B/S architecture for system coding and development to achieve various functions of the system. This system has improved the informatization of various workflow processes within the tourism platform, covering functions such as system users, hotel information, tourist attractions, attraction orders, train numbers and tickets, ticket reservations, hotel orders, communication management, resource management, system management, and notification and announcement management.
Keywords:Java technology; SSM; Tourism platform
1 绪论
1.1研究背景与意义
自改革开放以来,中国旅游业取得了快速发展,但相较而言,国内旅游业的发展仍无法满足经济增长和人民生活水平提高的需求。随着市场经济和人民收入水平的提升,人们对旅游消费的需求将进一步增长,国内旅游业的重要性也日益凸显。然而,中国旅游产业仍面临基础薄弱、管理滞后、信息化程度低和企业效益不佳的问题。旅游行政管理部门管理方式滞后,信息化程度低,信息沟通不畅。面对这些困难和挑战,中国旅游业需要转变思维,加强信息化建设,整合资源,实现行业的新突破。加强旅游信息化建设能提高管理效率和水平,简化程序、降低成本,加大宣传力度,提高信息传播速度和实效性。同时,开展电子商务能满足游客个性化需求,提升服务质量,改变企业经营模式,降低成本,增加效益,提高整个旅游产业素质。推动旅游业信息化发展将壮大支柱产业,提升整体信息化水平,优化产业结构和资源配置,完善产业链,带动相关产业发展,拉动内需,扩大就业,增加外汇收入,积极推动经济发展。当前一些旅游部门在信息化方面工作投入不足,制约了自身发展。建立旅游平台,信息化管理和网络化管理能够宣传当地特色,提升竞争力,推动旅游业迈向更加繁荣发展的新阶段。
1.2开发现状
目前许多中型旅游管理部门仍采用原始的人工方式,依赖电子文档、电子表格(如Word、Excel或简单的Access数据库)来管理旅游信息。大部分旅行社缺乏自己的旅游平台,无法接受客户的在线预订,无法适应网络时代的需求。随着业务不断扩展,涉及的收费情况、客户信息和旅游线路变得日益复杂。仅靠手工处理大量资料容易导致信息遗漏、错误率增加、资源浪费等问题。只有加强信息资源整合、统一管理,才能使旅游行业更加合理高效运转。
当前旅游信息管理模式存在以下问题:
(1)查询速度慢、工作强度大: 旅游信息涉及大量资料,包括游客资料、导游信息、费用、线路、景点、酒店等,人工整理速度慢、繁琐易错。
(2)资源调配困难: 由于信息广泛且数量庞大,统一管理、调配资源需要大量人力投入。
(3)信息安全隐患: 部分资源缺乏保护,容易泄露,存在安全风险。
(4)服务响应滞后: 由于上述原因,无法快速响应客户服务需求。
(5)缺乏统一的服务质量反馈管理: 没有有效机制统一管理客户服务质量反馈信息。
应当加强信息化建设,引入适合的信息管理系统和技术,提升管理效率、服务质量,实现旅游信息的高效管理和运营,以适应行业发展和客户需求的变化。
论文将分层次经行编排,除去论文摘要致谢文献参考部分,正文部分还会对网站需求做出分析,以及阐述大体的设计和实现的功能,最后罗列部分调测记录,论文主要架构如下:
第一章:引言。第一章主要介绍了课题研究的背景,系统开发的现状和本文的微信小程序的介绍与主要工作。
第二章:系统需求分析。第二章主要从系统的用户功能等方面进行需求分析。
第三章:系统设计。第三章主要对系统框架、系统功能模块、数据库进行功能设计。
第四章:系统实现。第四章主要介绍了系统框架搭建、系统界面的实现。
第五章:系统测试。第五章主要对系统的部分界面进行测试并对主要功能进行测试
2 旅游平台系统分析
系统分析是开发一个项目的先决条件,通过系统分析可以很好的了解系统的主体用户的基本需求情况,同时这也是项目的开发的原因。进而对系统开发进行可行性分析,通常包括技术可行性、经济可行性等,可行性分析同时也是从项目整体角度进行的分析。然后就是对项目的具体需求进行分析,分析的手段一般都是通过用户的用例图来实现。下面是详细的介绍。
2.1 可行性分析
(1)操作可行性:
此次项目设计参考了几个该模式下网站的开发案例,对他们的操作界面分析,将众多案例结合在一起,突出以人为本简化操作,所以具有基本计算机知识的人都会操作本项目。
因此操作可行性也没有问题。
(2)技术可行性:
技术可行性指的是对于搭建框架的可行性,以及有更优秀的技术出现时系统的技术更新换代的纳新性如何,开发时间成本费用比如何。
现有的Java技术能够迎合所有旅游平台的搭建。开发这个旅游平台的时候我采用了Java+MYSQL用以运行整体程序。
综上所述技术可行性也没有问题。
(3)法律可行性:
从开发者角度来看,Java和MYSQL是网上开源且免费的,在知识产权方面不会产生任何法律纠纷。
从用户使用角度来看,只要不再系统上贩卖违禁品,对系统做出条约协议,杜绝非法支付即可。
综上所述法律可行性也没有问题。
2.2.1 数据流程
旅游平台主要的目的就是实现对酒店的在线订房,图2-1就是系统的数据流图。
图2-1酒店订房操作展开图
3.3.2 业务流程
分析完系统的数据流,接下来我们来看系统的业务流程,图2-2就是业务流程图:

图2-2业务流程图
2.3 系统功能分析
按照旅游平台的角色,我划分为了管理员模块+普通用户模块这两大部分。
普通用户管理模块:
(1)用户注册登录:用户注册为普通用户并登录旅游平台;用户对个人信息的增删改查,比如个人资料,密码修改。
(2)酒店信息:用户进行酒店信息的阅览,通过查询酒店信息,可对某一个酒店信息进行订房+点赞+评论+收藏。
(3)通知公告:用户点击“通知公告”菜单显示管理员在后台发布的所有的通知公告信息,可以查看通知公告详情。
(4)旅游景点:用户进行旅游景点的阅览,通过查询旅游景点信息,可对某一个旅游景点信息进行购票+点赞+评论+收藏。
(5)旅游资讯:当用户点击“旅游资讯”选项时,可以浏览所有的旅游相关信息,根据给定的条件,还可以输入关键词进行查找,点击即可进入详细的旅游资讯展示界面,用户可通过该界面进行收藏、点赞、评论等操作。
(6)我的账户:用户点击“我的账户”可以对个人资料以及密码进行更新。
(7)我的收藏:用户点击“我的收藏”,会显示出自己收藏的所有信息,点击某一条收藏可以查看信息详细介绍,同时删除收藏;
管理员管理模块:
(1)登录:管理员在后台可以输入用户名+密码进行登录,管理员的用户名和密码是在数据库中直接设定好的。
(2)系统用户:管理员点击“系统用户”这一菜单会显示管理员+普通用户这两个子菜单,管理员可以对这两个角色的信息进行增删改查操作。
(3)旅游景点:管理员点击“旅游景点”这一菜单会所有的旅游景点,管理员可以对旅游景点进行增删改查操作,同时也可以查看前台用户对旅游景点提交的评论。
(4)景点订单:管理员对前台用户提交的景点订单进行管控,点击某一条景点订单信息可进行详情查阅。
(5)酒店信息:管理员点击“酒店信息”菜单可以对酒店信息进行增删改查,同时也可以查看前台用户对酒店提交的评论。
(6)酒店订单:管理员对前台用户提交的酒店订单进行管控,点击某一条酒店订单信息可进行详情查阅。
(7)通知公告:管理员点击“通知公告”菜单可以查看到系统中的所有通知公告信息,对已经存在的通知公告,管理员可以修改,也可以添加新的通知公告或者删除通知公告。
(8)系统管理:管理员点击“系统管理”菜单可以对首页展示的轮播图进行增删改查。
旅游平台的非功能性需求比如旅游平台的安全性怎么样,可靠性怎么样,性能怎么样,可拓展性怎么样等。具体可以表示在如下3-1表格中:
表3-1旅游平台非功能需求表
| 安全性 | 主要指旅游平台数据库的安装,数据库的使用和密码的设定必须合乎规范。 |
| 可靠性 | 可靠性是指旅游平台能够安装用户的指示进行操作,经过测试,可靠性90%以上。 |
| 性能 | 性能是影响旅游平台占据市场的必要条件,所以性能最好要佳才好。 |
| 可扩展性 | 比如数据库预留多个属性,比如接口的使用等确保了系统的非功能性需求。 |
| 易用性 | 用户只要跟着旅游平台的页面展示内容进行操作,就可以了。 |
| 可维护性 | 旅游平台开发的可维护性是非常重要的,经过测试,可维护性没有问题 |
2.4 系统用例分析
通过2.3功能的分析,得出了本旅游平台的用例图:
普通用户角色用例如图2-3所示。

图2-3 旅游平台普通用户角色用例图
web后台管理上的管理员是维护整个旅游平台中所有数据信息的。管理员角色用例如图2-4所示。

本章主要通过对旅游平台的可行性分析、流程分析、功能需求分析、系统用例分析,确定整个旅游平台要实现的功能。同时也为旅游平台的代码实现和测试提供了标准。
3 旅游平台总体设计
本章主要讨论的内容包括旅游平台的功能模块设计、数据库系统设计。
3.1 系统架构设计
本旅游平台从架构上分为三层:表现层(UI)、业务逻辑层(BLL)以及数据层(DL)。

图3-1旅游平台系统架构设计图
表现层(UI):又称UI层,主要完成本旅游平台的UI交互功能,一个良好的UI可以打打提高用户的用户体验,增强用户使用本旅游平台时的舒适度。UI的界面设计也要适应不同版本的旅游平台以及不同尺寸的分辨率,以做到良好的兼容性。UI交互功能要求合理,用户进行交互操作时必须要得到与之相符的交互结果,这就要求表现层要与业务逻辑层进行良好的对接。
业务逻辑层(BLL):主要完成本旅游平台的数据处理功能。用户从表现层传输过来的数据经过业务逻辑层进行处理交付给数据层,系统从数据层读取的数据经过业务逻辑层进行处理交付给表现层。
数据层(DL):由于本旅游平台的数据是放在服务端的mysql数据库中,因此本属于服务层的部分可以直接整合在业务逻辑层中,所以数据层中只有数据库,其主要完成本旅游平台的数据存储和管理功能。
3.2 系统功能模块设计
在上一章节中主要对系统的功能性需求和非功能性需求进行分析,并且根据需求分析了本旅游平台中的用例。那么接下来就要开始对本旅游平台的架构、主要功能和数据库开始进行设计。旅游平台根据前面章节的需求分析得出,其总体设计模块图如图3-2所示。
图3-2 旅游平台功能模块图
3.2.2用户模块设计
后台管理者能够实现对前台注册的用户增删改查操作,用户模块结构图如下图:
图3-3普通用户结构图
3.2.3 评论管理模块设计
旅游平台是一个交流性质的公开平台,用户在平台上提交评论,增加用户之间的互动性。但是同时也为了更好的规范评论的内容,给予管理员删除不合适的评论的功能,所以需要专门设计一个评论管理模块,具体的结构图如下:

图3-4评论管理模块结构图
3.2.4酒店管理模块设计
旅游平台是中需要存储不少酒店信息,其模块功能结构,具体的结构图如下:

图3-5酒店信息模块结构图
3.2.5订房管理模块设计
旅游平台最重要的一个功能就是订房,其模块功能结构,具体的结构图如下:

图3-6订房模块结构图
数据库设计一般包括需求分析、概念模型设计、数据库表建立三大过程,其中需求分析前面章节已经阐述,概念模型设计有概念模型和逻辑结构设计两部分。
3.3.1 数据库概念结构设计
下面是整个旅游平台中主要的数据库表总E-R实体关系图。
图3-6 旅游平台总E-R关系图
下面根据旅游平台的数据库总E-R关系图可以得出旅游平台需要很多E-R图,在此罗列出来一些主要的数据库E-R模型图。

图3-7普通用户E-R关系图

图3-8 旅游景点信息E-R关系图

图3-9 景点订单E-R关系图

图3-10 评论信息E-R关系图
通过上一小节中旅游平台中总E-R关系图上得出一共需要创建很多个数据表。在此我主要罗列几个主要的数据库表结构设计。
表attraction_orders (景点订单)
| 编号 | 名称 | 数据类型 | 长度 | 小数位 | 允许空值 | 主键 | 默认值 | 说明 |
| 1 | attraction_orders_id | int | 10 | 0 | N | Y | 景点订单ID | |
| 2 | attraction_name | varchar | 64 | 0 | Y | N | 景点名称 | |
| 3 | scenic_area | varchar | 64 | 0 | Y | N | 景点地区 | |
| 4 | detailed_address | varchar | 64 | 0 | Y | N | 详细地址 | |
| 5 | admission_price | int | 10 | 0 | Y | N | 0 | 门票价格 |
| 6 | number_of_tickets_purchased | int | 10 | 0 | Y | N | 0 | 购票数量 |
| 7 | total_price | varchar | 64 | 0 | Y | N | 合计总价 | |
| 8 | ticket_purchase_date | date | 10 | 0 | Y | N | 购票日期 | |
| 9 | ticketing_users | int | 10 | 0 | Y | N | 0 | 购票用户 |
| 10 | user_name | varchar | 64 | 0 | Y | N | 用户姓名 | |
| 11 | pay_state | varchar | 16 | 0 | N | N | 未支付 | 支付状态 |
| 12 | pay_type | varchar | 16 | 0 | Y | N | 支付类型: 微信、支付宝、网银 | |
| 13 | create_time | datetime | 19 | 0 | N | N | CURRENT_TIMESTAMP | 创建时间 |
| 14 | update_time | timestamp | 19 | 0 | N | N | CURRENT_TIMESTAMP | 更新时间 |
表classification_of_tourist_attractions (景点分类)
| 编号 | 名称 | 数据类型 | 长度 | 小数位 | 允许空值 | 主键 | 默认值 | 说明 |
| 1 | classification_of_tourist_attractions_id | int | 10 | 0 | N | Y | 景点分类ID | |
| 2 | classification_of_tourist_attractions | varchar | 64 | 0 | Y | N | 景点分类 | |
| 3 | create_time | datetime | 19 | 0 | N | N | CURRENT_TIMESTAMP | 创建时间 |
| 4 | update_time | timestamp | 19 | 0 | N | N | CURRENT_TIMESTAMP | 更新时间 |
表comment (评论)
| 编号 | 名称 | 数据类型 | 长度 | 小数位 | 允许空值 | 主键 | 默认值 | 说明 |
| 1 | comment_id | int | 10 | 0 | N | Y | 评论ID: | |
| 2 | user_id | int | 10 | 0 | N | N | 0 | 评论人ID: |
| 3 | reply_to_id | int | 10 | 0 | N | N | 0 | 回复评论ID:空为0 |
| 4 | content | longtext | 2147483647 | 0 | Y | N | 内容: | |
| 5 | nickname | varchar | 255 | 0 | Y | N | 昵称: | |
| 6 | avatar | varchar | 255 | 0 | Y | N | 头像地址:[0,255] | |
| 7 | create_time | timestamp | 19 | 0 | N | N | CURRENT_TIMESTAMP | 创建时间: |
| 8 | update_time | timestamp | 19 | 0 | N | N | CURRENT_TIMESTAMP | 更新时间: |
| 9 | source_table | varchar | 255 | 0 | Y | N | 来源表: | |
| 10 | source_field | varchar | 255 | 0 | Y | N | 来源字段: | |
| 11 | source_id | int | 10 | 0 | N | N | 0 | 来源ID: |
表forum (论坛)
| 编号 | 名称 | 数据类型 | 长度 | 小数位 | 允许空值 | 主键 | 默认值 | 说明 |
| 1 | forum_id | mediumint | 8 | 0 | N | Y | 论坛id | |
| 2 | display | smallint | 5 | 0 | N | N | 100 | 排序 |
| 3 | user_id | mediumint | 8 | 0 | N | N | 0 | 用户ID |
| 4 | nickname | varchar | 16 | 0 | Y | N | 昵称:[0,16] | |
| 5 | praise_len | int | 10 | 0 | Y | N | 0 | 点赞数 |
| 6 | hits | int | 10 | 0 | N | N | 0 | 访问数 |
| 7 | title | varchar | 125 | 0 | N | N | 标题 | |
| 8 | keywords | varchar | 125 | 0 | Y | N | 关键词 | |
| 9 | description | varchar | 255 | 0 | Y | N | 描述 | |
| 10 | url | varchar | 255 | 0 | Y | N | 来源地址 | |
| 11 | tag | varchar | 255 | 0 | Y | N | 标签 | |
| 12 | img | text | 65535 | 0 | Y | N | 封面图 | |
| 13 | content | longtext | 2147483647 | 0 | Y | N | 正文 | |
| 14 | create_time | timestamp | 19 | 0 | N | N | CURRENT_TIMESTAMP | 创建时间: |
| 15 | update_time | timestamp | 19 | 0 | N | N | CURRENT_TIMESTAMP | 更新时间: |
| 16 | avatar | varchar | 255 | 0 | Y | N | 发帖人头像: | |
| 17 | type | varchar | 64 | 0 | N | N | 0 | 论坛分类:[0,1000]用来搜索指定类型的论坛帖 |
表hotel_information (酒店信息)
| 编号 | 名称 | 数据类型 | 长度 | 小数位 | 允许空值 | 主键 | 默认值 | 说明 |
| 1 | hotel_information_id | int | 10 | 0 | N | Y | 酒店信息ID | |
| 2 | hotel_name | varchar | 64 | 0 | Y | N | 酒店名称 | |
| 3 | hotel_area | varchar | 64 | 0 | Y | N | 酒店地区 | |
| 4 | detailed_address | varchar | 64 | 0 | Y | N | 详细地址 | |
| 5 | hotel_pictures | varchar | 255 | 0 | Y | N | 酒店图片 | |
| 6 | room_price | int | 10 | 0 | Y | N | 0 | 房间价格 |
| 7 | hotel_introduction | text | 65535 | 0 | Y | N | 酒店简介 | |
| 8 | hits | int | 10 | 0 | N | N | 0 | 点击数 |
| 9 | praise_len | int | 10 | 0 | N | N | 0 | 点赞数 |
| 10 | recommend | int | 10 | 0 | N | N | 0 | 智能推荐 |
| 11 | create_time | datetime | 19 | 0 | N | N | CURRENT_TIMESTAMP | 创建时间 |
| 12 | update_time | timestamp | 19 | 0 | N | N | CURRENT_TIMESTAMP | 更新时间 |
表hotel_orders (酒店订单)
| 编号 | 名称 | 数据类型 | 长度 | 小数位 | 允许空值 | 主键 | 默认值 | 说明 |
| 1 | hotel_orders_id | int | 10 | 0 | N | Y | 酒店订单ID | |
| 2 | hotel_name | varchar | 64 | 0 | Y | N | 酒店名称 | |
| 3 | detailed_address | varchar | 64 | 0 | Y | N | 详细地址 | |
| 4 | room_price | int | 10 | 0 | Y | N | 0 | 房间价格 |
| 5 | booking_days | int | 10 | 0 | Y | N | 0 | 订房天数 |
| 6 | number_of_room_reservations | int | 10 | 0 | Y | N | 0 | 订房数量 |
| 7 | total_price | varchar | 64 | 0 | Y | N | 合计总价 | |
| 8 | ordinary_users | int | 10 | 0 | Y | N | 0 | 普通用户 |
| 9 | user_name | varchar | 64 | 0 | Y | N | 用户姓名 | |
| 10 | pay_state | varchar | 16 | 0 | N | N | 未支付 | 支付状态 |
| 11 | pay_type | varchar | 16 | 0 | Y | N | 支付类型: 微信、支付宝、网银 | |
| 12 | create_time | datetime | 19 | 0 | N | N | CURRENT_TIMESTAMP | 创建时间 |
| 13 | update_time | timestamp | 19 | 0 | N | N | CURRENT_TIMESTAMP | 更新时间 |
表notice (公告)
| 编号 | 名称 | 数据类型 | 长度 | 小数位 | 允许空值 | 主键 | 默认值 | 说明 |
| 1 | notice_id | mediumint | 8 | 0 | N | Y | 公告id: | |
| 2 | title | varchar | 125 | 0 | N | N | 标题: | |
| 3 | content | longtext | 2147483647 | 0 | Y | N | 正文: | |
| 4 | create_time | timestamp | 19 | 0 | N | N | CURRENT_TIMESTAMP | 创建时间: |
| 5 | update_time | timestamp | 19 | 0 | N | N | CURRENT_TIMESTAMP | 更新时间: |
表regular_users (普通用户)
| 编号 | 名称 | 数据类型 | 长度 | 小数位 | 允许空值 | 主键 | 默认值 | 说明 |
| 1 | regular_users_id | int | 10 | 0 | N | Y | 普通用户ID | |
| 2 | user_name | varchar | 64 | 0 | Y | N | 用户姓名 | |
| 3 | user_gender | varchar | 64 | 0 | Y | N | 用户性别 | |
| 4 | user_phone_number | varchar | 64 | 0 | Y | N | 用户电话 | |
| 5 | examine_state | varchar | 16 | 0 | N | N | 已通过 | 审核状态 |
| 6 | user_id | int | 10 | 0 | N | N | 0 | 用户ID |
| 7 | create_time | datetime | 19 | 0 | N | N | CURRENT_TIMESTAMP | 创建时间 |
| 8 | update_time | timestamp | 19 | 0 | N | N | CURRENT_TIMESTAMP | 更新时间 |
表ticket_reservation (车票预定)
| 编号 | 名称 | 数据类型 | 长度 | 小数位 | 允许空值 | 主键 | 默认值 | 说明 |
| 1 | ticket_reservation_id | int | 10 | 0 | N | Y | 车票预定ID | |
| 2 | order_number | varchar | 64 | 0 | Y | N | 订单编号 | |
| 3 | train_number_name | varchar | 64 | 0 | Y | N | 车次名称 | |
| 4 | car_brand | varchar | 64 | 0 | Y | N | 汽车牌号 | |
| 5 | departure_time | datetime | 19 | 0 | Y | N | 出发时间 | |
| 6 | arrival_time | datetime | 19 | 0 | Y | N | 到达时间 | |
| 7 | departure_location | varchar | 64 | 0 | Y | N | 出发地点 | |
| 8 | destination_location | varchar | 64 | 0 | Y | N | 目的地点 | |
| 9 | car_routes | text | 65535 | 0 | Y | N | 汽车路线 | |
| 10 | ticket_price | int | 10 | 0 | Y | N | 0 | 车票价格 |
| 11 | ticket_purchase_date | date | 10 | 0 | Y | N | 购票日期 | |
| 12 | booking_quantity | int | 10 | 0 | Y | N | 0 | 预订数量 |
| 13 | total_price | varchar | 64 | 0 | Y | N | 合计总价 | |
| 14 | ordinary_users | int | 10 | 0 | Y | N | 0 | 普通用户 |
| 15 | user_name | varchar | 64 | 0 | Y | N | 用户姓名 | |
| 16 | pay_state | varchar | 16 | 0 | N | N | 未支付 | 支付状态 |
| 17 | pay_type | varchar | 16 | 0 | Y | N | 支付类型: 微信、支付宝、网银 | |
| 18 | create_time | datetime | 19 | 0 | N | N | CURRENT_TIMESTAMP | 创建时间 |
| 19 | update_time | timestamp | 19 | 0 | N | N | CURRENT_TIMESTAMP | 更新时间 |
表tourist_attractions (旅游景点)
| 编号 | 名称 | 数据类型 | 长度 | 小数位 | 允许空值 | 主键 | 默认值 | 说明 |
| 1 | tourist_attractions_id | int | 10 | 0 | N | Y | 旅游景点ID | |
| 2 | attraction_name | varchar | 64 | 0 | Y | N | 景点名称 | |
| 3 | classification_of_tourist_attractions | varchar | 64 | 0 | Y | N | 景点分类 | |
| 4 | scenic_area | varchar | 64 | 0 | Y | N | 景点地区 | |
| 5 | detailed_address | varchar | 64 | 0 | Y | N | 详细地址 | |
| 6 | admission_price | int | 10 | 0 | Y | N | 0 | 门票价格 |
| 7 | best_period | varchar | 64 | 0 | Y | N | 最佳期间 | |
| 8 | scenic_spot_pictures | varchar | 255 | 0 | Y | N | 景点图片 | |
| 9 | introduction_to_scenic_spots | text | 65535 | 0 | Y | N | 景点简介 | |
| 10 | hits | int | 10 | 0 | N | N | 0 | 点击数 |
| 11 | praise_len | int | 10 | 0 | N | N | 0 | 点赞数 |
| 12 | recommend | int | 10 | 0 | N | N | 0 | 智能推荐 |
| 13 | create_time | datetime | 19 | 0 | N | N | CURRENT_TIMESTAMP | 创建时间 |
| 14 | update_time | timestamp | 19 | 0 | N | N | CURRENT_TIMESTAMP | 更新时间 |
表train_number_and_ticket (车次车票)
| 编号 | 名称 | 数据类型 | 长度 | 小数位 | 允许空值 | 主键 | 默认值 | 说明 |
| 1 | train_number_and_ticket_id | int | 10 | 0 | N | Y | 车次车票ID | |
| 2 | train_number_name | varchar | 64 | 0 | Y | N | 车次名称 | |
| 3 | car_brand | varchar | 64 | 0 | N | N | 汽车牌号 | |
| 4 | departure_time | datetime | 19 | 0 | Y | N | 出发时间 | |
| 5 | arrival_time | datetime | 19 | 0 | Y | N | 到达时间 | |
| 6 | departure_location | varchar | 64 | 0 | Y | N | 出发地点 | |
| 7 | destination_location | varchar | 64 | 0 | Y | N | 目的地点 | |
| 8 | ticket_price | int | 10 | 0 | Y | N | 0 | 车票价格 |
| 9 | cover_photo | varchar | 255 | 0 | Y | N | 封面图片 | |
| 10 | car_routes | text | 65535 | 0 | Y | N | 汽车路线 | |
| 11 | hits | int | 10 | 0 | N | N | 0 | 点击数 |
| 12 | create_time | datetime | 19 | 0 | N | N | CURRENT_TIMESTAMP | 创建时间 |
| 13 | update_time | timestamp | 19 | 0 | N | N | CURRENT_TIMESTAMP | 更新时间 |
3.4本章小结
整个旅游平台的需求分析主要对系统总体架构以及功能模块的设计,通过建立E-R模型和数据库逻辑系统设计完成了数据库系统设计。
4 旅游平台详细设计与实现
旅游平台的详细设计与实现主要是根据前面的旅游平台的需求分析和旅游平台的总体设计来设计页面并实现业务逻辑。主要从旅游平台界面实现、业务逻辑实现这两部分进行介绍。
4.1用户功能模块
4.1.1 前台首页界面
当进入旅游平台的时候,首先映入眼帘的是系统的导航栏,下面是轮播图以及系统内容,其主界面展示如下图4-1所示。
图4-1 前台首页界面图
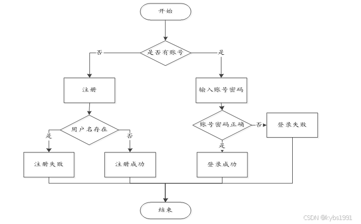
不是旅游平台中正式用户的是可以在线进行注册的,如果你没有本旅游平台的账号的话,添加“注册”,当填写上自己的账号+密码+确认密码+昵称+邮箱+手机号等后再点击“注册”按钮后将会先验证输入的有没有空数据,再次验证密码和确认密码是否是一样的,最后验证输入的账户名和数据库表中已经注册的账户名是否重复,只有都验证没问题后即可用户注册成功。其用用户注册展示如下图4-2所示。
图4-2 前台用户注册图
注册关键代码如下所示。
@PostMapping("register")
public Map<String, Object> signUp(HttpServletRequest request) throws IOException {
Map<String, String> query = new HashMap<>();
Map<String,Object> map = service.readBody(request.getReader());
query.put("username",String.valueOf(map.get("username")));
List list = service.selectBaseList(service.select(query, new HashMap<>()));
if (list.size()>0){
return error(30000, "用户已存在");
}
map.put("password",service.encryption(String.valueOf(map.get("password"))));
service.insert(map);
return success(1);
}
4.1.3 用户登录界面
旅游平台中的前台上注册后的用户是可以通过自己的账户名和密码进行登录的,当用户输入完整的自己的账户名和密码信息并点击“登录”按钮后,将会首先验证输入的有没有空数据,再次验证输入的账户名+密码和数据库中当前保存的用户信息是否一致,只有在一致后将会登录成功并自动跳转到旅游平台的首页中;否则将会提示相应错误信息,用户登录界面如下图4-3所示。
图4-3用户登录界面图
所有的用户都可以通过网页进入到旅游平台中对信息进行查看,但是要实现购票、收藏、评论的话,就不是所有人都能操作的,必须成为旅游平台的用户,注册登录的流程图如下图4-4所示。
图4-4注册登录流程图
登录代码如下:
4.1.4车次车票详情界面
用户可以查看车次车票,在查询到自己想要了解的车次车票的时候,可以进入查看详细的介绍,点击“购票”这一按钮以后会跳转到购票信息填写的界面,根据提示填写好购票的信息,点击“提交”以后购票就完成了,在车次车票详情这个界面,同时支持用户对喜欢的车次车票进行评论的功能,车次车票详情展示页面如图4-5所示。
图4-5 车次车票详情界面图
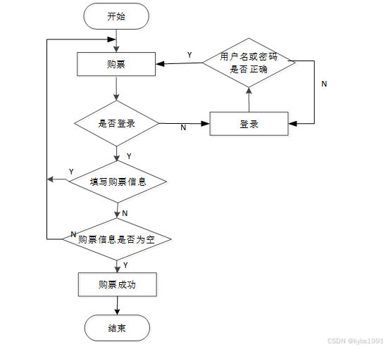
在实现购票操作的时候,没有登录的用户只能进行查看,如果想要实现购票这个操作的话,购票的前提必须是登录后才能进行。详见图4-6所示。

图4-6 购票流程图
4.1.5购票界面
当用户在车次车票详情界面想要进行购票,点击下方的“购票”按钮,就会跳转到购票信息填写界面,根据界面提示输入购票信息,点击“提交”按钮,购票就完成了,购票展示页面如图4-7所示。
图4-7 购票界面图
4.1.6我的账户界面
当用户点击右上角“我的账户”这个按钮,会出现子菜单,点击“我的账户”可以对个人的资料、登录系统的密码进行设置管理,我的账户界面如下图4-8所示。
图4-8 我的账户界面图
4.2管理员功能模块
管理员点击“系统用户”这一菜单会显示管理员和普通用户这两个子菜单,管理员可以对这两个角色的信息进行增删改查操作。界面如下图4-9所示。
图4-9系统用户管理界面图
系统用户管理关键代码如下所示。
@Transactional
public Map<String, Object> add(HttpServletRequest request) throws IOException {
service.insert(service.readBody(request.getReader()));
return success(1);
}
@Transactional
public Map<String, Object> addMap(Map<String,Object> map){
service.insert(map);
return success(1);
}
4.2.2旅游景点管理界面
点击“旅游景点”按钮会显示自己添加的旅游景点,如果想要添加新的旅游景点,点击“添加”按钮根据提示输入旅游景点,点击“提交”后在旅游景点界面就可以显示了,如果信息有错可以对旅游景点进行更新维护,也可以直接删除某一旅游景点,还可以管理评论信息。界面如下图4-11所示。
图4-11旅游景点管理界面图
旅游景点管理关键代码如下所示。
@RequestMapping("/get_obj")
public Map<String, Object> obj(HttpServletRequest request) {
List resultList = service.selectBaseList(service.select(service.readQuery(request), service.readConfig(request)));
if (resultList.size() > 0) {
JSONObject jsonObject = new JSONObject();
jsonObject.put("obj",resultList.get(0));
return success(jsonObject);
} else {
return success(null);
}
}
管理员点击“景点订单”会显示出所有的景点订单信息,支持输入景点名称对景点订单信息进行查询,如果想要添加新的景点订单信息,点击“添加”按钮,输入相关信息,点击“提交”按钮就可以添加了,同时可以选择某一条景点订单信息,点击“删除”进行删除,也可以点击后面的“支付”按钮对景点订单的支付信息进行设置,界面如下图4-12所示。
图4-12景点订单管理界面图
景点订单管理关键代码如下:
@RequestMapping("/get_list")
public Map<String, Object> getList(HttpServletRequest request) {
Map<String, Object> map = service.selectToPage(service.readQuery(request), service.readConfig(request));
return success(map);
}
4.2.4酒店信息管理界面
管理员点击“酒店信息”这一界面能够查看所有的酒店信息,可以进行增删改查操作,也可以对前台用户提交的酒店信息评论进行管控。界面如下图4-13所示。
图4-13酒店信息管理界面图
酒店信息管理关键代码如下:
@RequestMapping(value = "/del")
@Transactional
public Map<String, Object> del(HttpServletRequest request) {
service.delete(service.readQuery(request), service.readConfig(request));
return success(1);
}
4.2.5 酒店订单管理界面
管理员在后台可以对旅游平台中显示的酒店订单信息进行查询、删除、支付等操作,界面如下图4-15所示。
图4-15酒店订单管理界面图
4.2.6 交流管理界面
管理员点击“交流管理”菜单可以对其下旅游攻略和攻略的分类进行增删改查。界面如下图4-17所示。
图4-17交流管理界面图
5系统测试
系统开发到了最后一个阶段那就是系统测试,系统测试对软件的开发其实是非常有必要的。因为没什么系统一经开发出来就可能会尽善尽美,再厉害的系统开发工程师也会在系统开发的时候出现纰漏,系统测试能够较好的改正一些bug,为后期系统的维护性提供很好的支持。通过系统测试,开发人员也可以建立自己对系统的信心,为后期的系统版本的跟新提供支持。
5.2 系统测试用例
系统测试包括:用户登录功能测试、旅游景点展示功能测试、旅游景点添加、旅游景点搜索、密码修改功能测试,如表5-1、5-2、5-3、5-4、5-5所示:
表5-1 用户登录功能测试表
| 用例名称 | 用户登录系统 |
| 目的 | 测试用户通过正确的用户名和密码可否登录功能 |
| 前提 | 未登录的情况下 |
| 测试流程 | 1) 进入登录页面 2) 输入正确的用户名和密码 |
| 预期结果 | 用户名和密码正确的时候,跳转到登录成功界面,反之则显示错误信息,提示重新输入 |
| 实际结果 | 实际结果与预期结果一致 |
旅游景点查看功能测试:
表5-2 旅游景点查看功能测试表
| 用例名称 | 旅游景点查看 |
| 目的 | 测试旅游景点查看功能 |
| 前提 | 用户登录 |
| 测试流程 | 点击旅游景点列表 |
| 预期结果 | 可以查看到所有旅游景点 |
| 实际结果 | 实际结果与预期结果一致 |
管理员添加旅游景点界面测试:
表5-3 管理员添加旅游景点界面测试表
| 用例名称 | 旅游景点添加测试用例 |
| 目的 | 测试旅游景点添加功能 |
| 前提 | 用户正常登录情况下 |
| 测试流程 | 1)管理员点击旅游景点管理,然后点击添加后并填写信息。 2)点击进行提交。 |
| 预期结果 | 提交以后,页面首页会显示新的旅游景点 |
| 实际结果 | 实际结果与预期结果一致 |
旅游景点搜索功能测试:
表5-4旅游景点搜索功能测试表
| 用例名称 | 旅游景点搜索测试 |
| 目的 | 测试旅游景点搜索功能 |
| 前提 | 无 |
| 测试流程 | 1)在搜索框填入搜索关键字。 2)点击搜索按钮。 |
| 预期结果 | 页面显示包含有搜索关键字的旅游景点 |
| 实际结果 | 实际结果与预期结果一致 |
密码修改功能测试:
表5-5 密码修改功能测试表
| 用例名称 | 密码修改测试用例 |
| 目的 | 测试管理员密码修改功能 |
| 前提 | 管理员用户正常登录情况下 |
| 测试流程 | 1)管理员密码修改并完成填写。 2)点击进行提交。 |
| 预期结果 | 使用新的密码可以登录 |
| 实际结果 | 实际结果与预期结果一致 |
5.3 系统测试结果
通过编写旅游平台的测试用例,已经检测完毕用户登录模块、旅游景点查看模块、旅游景点添加模块、旅游景点搜索模块、密码修改功能测试,通过这5大模块为旅游平台的后期推广运营提供了强力的技术支撑。
结论
至此,旅游平台已经结束,在开发前做了许多的准备,在本系统的设计和开发过程中阅览和学习了许多文献资料,从中我也收获了很多宝贵的方法和设计思路,对系统的开发也起到了很重要的作用,系统的开发技术选用的都是自己比较熟悉的,比如Web、Java技术、MYSQL,这些技术都是在以前的学习中学到了,其中许多的设计思路和方法都是在以前不断地学习中摸索出来的经验,其实对于我们来说工作量还是比较大的,但是正是由于之前的积累与准备,才能顺利的完成这个项目,由此看来,积累经验跟做好准备是十分重要的事情。
当然在该系统的设计与实现的过程中也离不开老师以及同学们的帮助,正是因为他们的指导与帮助,我才能够成功的在预期内完成了这个系统。同时在这个过程当中我也收获了很多东西,此系统也有需要改进的地方,但是由于专业知识的浅薄,并不能做到十分完美,希望以后有机会可以让其真正的投入到使用之中。
参考文献
[1]房歌菲,曹洁,张志鹏.旅游养老视角下在线旅游平台优化路径研究[J].科技与创新,2021(15):108-109+111.
[2]王娜,董焕晴.用户参与的在线旅游平台信息本体构建研究——以马蜂窝在线旅游平台为例[J].现代情报,2021,41(06):64-75.
[3]韦金运,龙健.数字化环境下旅游类网站的交互性设计分析[J].艺术大观,2021(15):49-50.
[4]刘艳玲,姚建盛.智慧旅游专业网站设计课程评价方案探索[J].电脑与电信,2021(05):8-10.
[5]李睿. 基于用户感知的在线旅游平台信息服务质量评价研究[D].吉林大学,2021.
[6]孙岩,李晶.基于SSM的旅游资源管理网站的设计与实现[J].信息技术与信息化,2021(01):37-39.
[7]王家明,李湘.基于大数据分析的新疆智慧旅游平台的设计与实现[J].电脑知识与技术,2021,17(03):129-130+133.
[8]胡涛,兰全祥.基于Spring Cloud的西安旅游平台的设计与实现[J].信息技术与信息化,2020(09):65-67.
[9]吴凡. 在线旅游平台互动体验对消费者价值共创意愿的影响研究[D].南京财经大学,2020.
[10]黄涓,鲍正德,李晨曦.旅游平台的建构与设计——以国内六大旅游平台为例[J].信息与电脑(理论版),2019,31(22):52-54.
[11]张海燕,鹿梦思.基于HOE-ELM模型的旅游平台信息对游客行为意向的影响研究[J].商学研究,2019,26(05):27-40.
[12]王永芳,张秀英.旅游电商网站评价体系构建及实例分析[J].商业经济,2019(06):133-136.
[13]吴贤贤.全域旅游背景下海南省县级旅游目的地网站主题模式探究[J].南方农机,2019,50(11):12-13.
[14]林佳青. 基于技术接受模型的用户对交易型旅游平台的持续使用意愿研究[D].华侨大学,2019.
[15] Smartsave Has Become One Of The Most Recommended Travel Sites For Big Discounts On Attractions[J]. M2 Presswire,2018:
[16]栗璞. 基于云计算平台智能旅游导览系统的研究与实现[D].北京工业大学,2019.
致 谢
在撰写本论文期间,我受益于许多人的帮助和支持,在此向他们表示衷心的感谢。首先,我要感谢我的导师,他给予了我宝贵的指导和建议,推动了我研究的方向。同时,他鼓励我不断探索和挑战自己,帮助我克服困难并取得进步。此外,我还要感谢我的同学和朋友们,在我撰写论文过程中给予了我很多鼓励和帮助,分享了他们的见解和经验,让我从不同角度思考问题,提高了我的研究方法。最后,我要感谢我的家人,他们一直以来对我支持和理解,给予我无尽的鼓励和动力,使我坚持下去并完成这篇论文。在此向所有支持和帮助过我的人表示深深的谢意,没有你们的支持,我将无法完成这篇论文。感谢你们的付出和支持!
请关注点赞+私信博主,免费领取项目源码
952

被折叠的 条评论
为什么被折叠?



