食品线上营销推广系统的设计与实现
摘 要
随着互联网技术的飞速发展,食品行业也在逐步向线上拓展。为了满足消费者对于便捷、多样化的食品购买需求,同时提升食品企业的营销效率和效果,设计并实现了食品线上营销推广系统。
本系统旨在通过整合先进的技术和营销策略,为食品企业提供一个全面、高效、个性化的线上营销平台。利用 Springcloud 的微服务架构,采用Java编程语言和MVVM模式等技术,采用MySQL数据库来建立数据之间的转换,系统能够实现灵活扩展和高效运行,以应对日益增长的业务需求。
通过该系统,食品企业可以更好地展示产品信息、推广品牌、与消费者进行互动,从而增加销售机会和提升用户满意度。同时,本系统界面简洁,使用人员可以迅速掌握,有效的提高了工作效率。
关键词:推广系统;java语言;MySQL数据库
Design and Implementation of an Online Food Marketing and Promotion System
Abstract
With the rapid development of Internet technology, the food industry is gradually expanding online. In order to meet the convenient and diversified food purchasing needs of consumers, and to improve the marketing efficiency and effectiveness of food enterprises, a food online marketing promotion system has been designed and implemented.
This system aims to provide a comprehensive, efficient, and personalized online marketing platform for food enterprises by integrating advanced technology and marketing strategies. By utilizing the microservices architecture of Springcloud, Java programming language and MVVM pattern technologies, and using MySQL database to establish data conversion, the system can achieve flexible expansion and efficient operation to meet the growing business needs.
Through this system, food enterprises can better display product information, promote brands, and interact with consumers, thereby increasing sales opportunities and improving user satisfaction. At the same time, the interface of this system is simple, and users can quickly grasp it, effectively improving work efficiency.
Keywords: Promotion system; Java language; MySQL database
目 录
食品线上营销推广系统的设计与实现具有重要的研究背景和意义。随着互联网的普及和电子商务的快速发展,线上营销已经成为食品行业的重要趋势。然而,传统的线上营销方式存在信息不对称、推广效果难以评估等问题。因此,设计和开发食品线上营销推广系统可以通过整合现代化的技术手段和创新的推广策略,提供全面、高效和可评估的推广解决方案。该系统不仅可以帮助食品企业提升品牌曝光度和销售额,还可以为消费者提供个性化的购物体验和优质的产品信息,促进食品行业的持续健康发展。
-
- 国内外研究现状
食品线上营销推广系统的设计与实现是当前国内外研究的热点领域。在国外,许多企业和研究机构已经开始关注并实践食品线上营销推广系统的研究。他们通过结合互联网技术和数字营销策略,开发了针对食品行业的在线购物平台和推广工具,以提高品牌曝光度和销售额。在国内,随着电子商务的快速发展,越来越多的食品企业也开始重视线上营销推广系统的研究与应用。一些企业已经建立了自己的电商平台,并采取个性化推广、精准投放等方式进行产品推广。然而,目前国内外的研究主要集中在线上购物平台和数字营销策略的应用方面,缺乏对食品线上营销推广系统整体设计与实现的深入探讨。因此,设计和开发一个综合考虑用户需求和商业目标的食品线上营销推广系统,仍然是一个值得深入研究和开发的方向。
根据市场调研得到的信息数据,结合国内外前沿研究,利用相关系统开发和设计方法,最终设计出食品线上营销推广系统。
本文共有七章,如下所示。
第一章概述了食品线上营销推广系统的研究目的和意义;精炼地总结了国内外在内的领域研究情况和未来的研究趋势,最后给出了论文的组成结构。
第二章简要概述了本文所用的开发技术和工具。
第三章简要对系统各业务流程进行需求分析、可行性分析。
第四章对食品线上营销推广系统进行设计。
第五章对食品线上营销推广系统进行实现,并贴出相关页面截图,语言描述出具体功能实现的操作方法。
第六章对食品线上营销推广系统采用测试用例的方式来对一些主要功能模块测试,最后得出测试结果。
第七章总结全文并对未来的研究做出展望。
-
开发工具及相关技术介绍
- 开发技术说明
本系统前端部分基于MVVM模式进行开发,采用B/S模式,后端部分基于Java的springcloud框架进行开发。
前端部分:前端框架采用了比较流行的渐进式JavaScript框架Vue.js。使用Vue-Router和Vuex实现动态路由和全局状态管理,Ajax实现前后端通信,Element UI组件库使页面快速成型,项目前端通过栅格布局实现响应式,可适应PC端、平板端、手机端等不同屏幕大小尺寸的完美布局展示。
后端部分:采用springcloud作为开发框架,同时集成MyBatis、Redis等相关技术。
2.1.2 一系列独立运行的微服务共同构建起了整个系统;
2.1.3 每个服务为独立的业务开发,一个微服务一般完成某个特定的功能,比如:订单管理、用户管理等;
2.1.4 微服务之间通过一些轻量的通信机制进行通信,例如通过REST API或者RPC的方式进行调用。
微服务的优缺点
a、易于开发和维护
b、启动较快
c、局部修改容易部署
d、技术栈不受限
e、按需伸缩
f、DevOps
-
- MySQL数据库
MySQL是一种开放源代码的关系型数据库管理系统(RDBMS),关系数据库将数据保存在不同的表中,提高了灵活性,它使用最常用的结构化查询语言(SQL)进行数据库管理。MySQL因其具有速度快、体积小、总体拥有成本低和开放源码的优点而备受关注。特点:
(1)支持多种操作系统。
(2)为多种编程语言提供了API。
(3)支持多线程,充分利用CPU资源。
(4)MySQL性能卓越、服务稳定,很少出现异常宕机。
(5)原生JSON支持。
(6)优化SQL查询算法,有效地提高查询速度[8]。
-
- java简介
Java语言是在二十世纪末由Sun公司发布的,而且公开源代码,这一优点吸引了许多世界各地优秀的编程爱好者,也使得他们开发出当时一款又一款经典好玩的小游戏。Java语言是纯面向对象语言之一,从发布初期到现今,可以说有将近20多年的历史,已发展成为人类计算机编程语言发展史上的一个深远影响。
Java语言具有非常多种的特性:(1)跨平台的无关性;(2)面向对象;(3)安全性得以保障;(4)支持多个任务;(5)多种编写方式,代码编写简单。对比其他的低级语言、高级语言,Java语言具有明显的显著优势以及未来开阔的前景,可以广泛的应用在个人笔记本电脑、大数据、大型游戏等等。
首先,Java语言具有面向对象的特性,并且易于理解。关于对象,其实可以理解成每一种事物都是一种对象,包括我们人类自身都是一种对象。利用面向对象语言的基本特征来解决软件开发中的实际问题,为有效软件开发提供了技术支持。
其次,Java 语言具有很好的跨平台无关性。所编写出来的应用程序是Java语言编写的,那么就无需再使用编译器来修改程序代码,可以直接在任何计算机系统中运行,Windows系统可以运行,在Linux系统中也可以,也就是经过一次编译,可以到处运行,所以Java语言具有卓越的可移植性,可以很好的跨平台实现。
B/S(浏览器/服务器)结构是目前主流的网络化的结构模式,它能够把系统核心功能集中在服务器上面,可以帮助系统开发人员简化操作,便于维护和使用。只需要用户在用户端安装360浏览器、谷歌浏览器、QQ浏览器等当前大众浏览器,在电脑里面安装sqlserver、mysql数据库等数据库。安装好的浏览器与服务器端的数据库进行信息数据的交互。很多专门软件能够做到的事情,采用B/S结构模式也能实现,它能够结合Web浏览器技术,ActiveX技术以及多种脚本语言等技术。帮助程序开发者节约了不少开发成本。目前B/S结构成为程序开发主流结构,它最好的地方就是没有地点限制还不用专门安装软件,笔记本或者电脑能够上网就能访问系统。系统使用B/S进行开发在后期系统维护上面就会很省事,不用什么问题都在服务器上面操作,简单的用户端处理就解决部分问题,开发出来的程序跟用户交互性上面也会增强,还可以实时刷新浏览器进行程序局部的数据信息更新。
MVVM是Model-View-ViewModel的简写。它本质上就是MVC 的改进版。MVVM 就是将其中的View 的状态和行为抽象化,让我们将视图 UI 和业务逻辑分开。当然这些事 ViewModel 已经帮我们做了,它可以取出 Model 的数据同时帮忙处理 View 中由于需要展示内容而涉及的业务逻辑。微软的WPF带来了新的技术体验,如Silverlight、音频、视频、3D、动画……,这导致了软件UI层更加细节化、可定制化。同时,在技术层面,WPF也带来了 诸如Binding、Dependency Property、Routed Events、Command、DataTemplate、ControlTemplate等新特性。MVVM(Model-View-ViewModel)框架的由来便是MVP(Model-View-Presenter)模式与WPF结合的应用方式时发展演变过来的一种新型架构框架。它立足于原有MVP框架并且把WPF的新特性糅合进去,以应对客户日益复杂的需求变化。
本系统将在经济、技术、操作这三个角度上进行可行性分析。
整个系统从设计到开发以及测试过程严谨步骤齐全,所有工作任务全部由本人完成,并未获取外部技术支持,节约了一切服务成本开销以及人工成本,在硬件方面,为节约成本使用一台二手移动工作站作为项目部署服务器以及数据库服务器,成本在一万元一下,真个网络部署也是由本人独立完成不涉及到其他人工费用,整个开发过程本着低成本,低消耗的原则。
技术可行性分析的目的是确认该系统能否利用现有技术实现,并评估开发效率和完成情况。技术的可行性是指在当前的技术条件下,计算机软件和硬件的开发是否能够满足发展的要求。因为该系统的开发基于Java语言,所以开发该系统所需的软件和硬件条件可以在普通计算机上满足。因为它占用的内存相对较少,所以用MySQL数据库开发和设计软件理论上没有问题,因为它占用的内存太少。上述技术可以有效地保证系统的成功和高效开发。
食品线上营销推广系统的使用界面简单易于操作,采用常见的界面窗口来登录界面,通过电脑进行访问操作,用户只要平时使用过电脑都能进行访问操作。此系统的开发采用Java技术开发,人性化和完善化是B/S结构开发比较显要的特点使得用户操作相比较其他更加简洁方便。易操作、易管理、交互性好在本系统操作上体现得淋漓尽致。
设计互联网的食品线上营销推广系统的目标是为了更加有效的进行食品的买卖活动,这也是商品交易的一种新选择。这使得人与商家交易趋于网络化的管理方式,使互联网交易更加容易,从而提高工作效率,降低管理成本。在本系统中需要对用户身份进行管理,包括买家身份和商家身份。
客户可以首次查看详细的介绍,食品线上营销推广系统中各种食品的实物图,价格和其他基本信息,以便客户可以识别自己满意的食品。选择食品后,客户可以将选择的食品添加到购物车中,如果您在清算前改变主意,仍然可以不用购买。客户选择要购买的食品后,可以将其提交给系统软件,系统软件将自动生成一个相对的订单号。
网站管理员在系统软件中扮演着非常关键的角色,管理者可以执行促销活动管理、福利抽奖管理、参加抽奖管理、系统管理、公告信息管理、资源管理、商城管理等要求。此外,系统软件还应确保信息内容清晰有序,管理员能够轻松的找到需要的管理类别。
普通用户功能包括以下各项:
- 公告信息:此功能用于发布重要的通知、公告或消息。
- 食品资讯:该部分提供有关食品的知识。用户可以通过这些资讯更好地了解食品,做出更明智的购买决策,并获取有关食品健康和营养方面的信息。
- 食品信息:这里展示各种食品的详细信息,例如食品名称、图片、描述、价格、成分、保质期等。用户可以查看食品的详细介绍,了解产品特点和优势,帮助他们在商城中做出购买选择。
- 商城管理:这是一个核心功能,允许用户进行一系列与购物相关的操作。用户可以搜索和筛选商品、将商品加入购物车、查看购物车内容、进行结算和支付,以及管理订单等。
- 促销活动:系统会展示当前正在进行的促销活动,如打折、满减、赠品等。这些活动旨在吸引用户购买,增加用户的购买积极性和参与度。
- 福利抽奖:此功能让用户有机会参与抽奖活动。这可以增加用户的互动性和粘性,同时也是一种用户回馈的方式。
- 我的账户:这是用户个人信息和账户管理的中心。用户可以查看和编辑个人资料等。
- 参加抽奖:用户可以通过个人中心参加福利抽奖活动,查看抽奖记录和中奖情况。
- 订单配送:用户能够跟踪订单的配送状态,包括订单处理、发货、物流信息等,以便了解购买商品的送达情况。
- 收藏:用户可以在个人中心管理他们收藏的商品,方便快速找到感兴趣的物品。
商家用户功能相比普通用户有以下几项不同:
- 食品信息:方便商家集中管理和编辑自己的食品产品信息。
- 促销活动:快速查看和管理正在进行的促销活动。
- 福利抽奖:查看抽奖活动的参与情况和结果。
- 参加抽奖:作为商家,发布系统的福利抽奖活动。
- 订单配送:跟踪订单的物流配送情况,确保顺利交付。
管理员功能包括以下各项:
- 后台首页:管理员登录后的起始页面,提供系统整体状态的概览。
- 系统用户:管理系统中的用户,包括添加、编辑、删除用户账号,设置用户权限等。确保系统的安全性和用户管理的规范性。
- 促销活动管理:创建、编辑和管理各种促销活动,如打折、满减、赠品等。设定活动的规则、时间范围和适用商品。
- 福利抽奖管理:设计和管理福利抽奖活动,包括设置奖品、抽奖规则和参与条件。查看抽奖结果并进行相应的奖励发放。
- 参加抽奖管理:审核和管理用户的参加抽奖请求,确保活动的公正性和合法性。处理用户的中奖信息和奖品发放。
- 系统管理:管理员可以对系统前台展示的轮播图以及公告栏进行增删改查,方便用户进行查看。
- 公告信息管理:发布、编辑和删除系统公告、通知等信息。确保用户能够及时获取到重要的系统消息。
- 资源管理:管理对食品资讯+资讯分类这两个子菜单,可以对这两个模块进行增删改查操作。
- 商城管理:监督和管理商城的商品信息,包括上下架商品、调整价格、管理库存等。处理订单和交易,确保商城的正常运营。
普通用户用例图如下所示。

图3-1普通用户用例图
商家用户用例图如下所示。

图3-2商家用户用例图
管理员用例图如下所示。

图3-3管理员用例图
食品添加用例描述如下表所示。
表3-1食品添加用例描述
| 用例名称 | 添加新食品 | |
| 参与者 | 管理员 | |
| 用例概述 | 本用例用于管理员进行添加新食品操作 | |
| 前置条件 | 管理员添加新食品前必须登录系统 | |
| 后置条件 | 系统中添加一个新食品 | |
| 基本食品流 | 参与者动作 | 系统响应 |
4、管理员填写新食品信息,点击“添加”按钮。 | 2、系统打开添加新食品界面。 3、系统检查管理员输入的食品信息是正确有效的。 5、系统将食品添加到数据库中。 6、系统提示“操作成功”。 7、系统跳转到食品管理界面。 | |
| 其他食品流 | 1、系统验证管理员输入的食品名为空,则提示“*请填写食品名称!”。 2、系统验证管理员输入的价格不是货币格式,则提示“*价格必须是货币格式!” | |
食品删除用例描述如下表所示。
表3-2食品删除用例描述
| 用例名称 | 删除食品 | |
| 参与者 | 管理员 | |
| 用例概述 | 本用例用于管理员进行删除食品操作 | |
| 前置条件 | 管理员删除食品前必须登录系统 | |
| 后置条件 | 系统中删除一个食品 | |
| 基本食品流 | 参与者动作 | 系统响应 |
| 1、管理员在后台主界面选择“食品管理”。 4、管理员选择一个食品,点击“删除”按钮。 6、管理员点击“确定”按钮。 | 2、系统从数据库中获取食品信息列表 3、系统打开食品列表界面。 5、系统提示“你确定要删除吗?”。 7、系统将食品从数据库中删除。 8、系统提示“删除成功”。 9、系统跳转到食品管理界面。 | |
| 其他食品流 | 无 | |
用户编辑用例描述如下表所示。
表3-3用户编辑用例描述
| 用例名称 | 修改用户 | |
| 参与者 | 管理员 | |
| 用例概述 | 本用例用于管理员进行修改用户信息操作 | |
| 前置条件 | 管理员已经登录系统 | |
| 后置条件 | 系统中更新一条用户记录 | |
| 基本食品流 | 参与者动作 | 系统响应 |
| 1、管理员在后台主界面选择“用户管理”。 4、管理员在用户列表中选择一个用户,点击“编辑”按钮。 6、管理员填写用户信息,点击“保存修改”按钮。 | 2、系统从数据库中获取用户信息。 3、系统打开用户列表界面。 5、系统打开修改用户信息界面。 7、系统将更改后的添加到数据库中。 8、系统提示“操作成功”。 9、系统跳转到用户管理界面。 | |
| 其他食品流 | 无 | |
食品购买用例描述如下表所示。
表3-4食品购买用例描述
| 用例名称 | 食品购买 | |
| 参与者 | 用户 | |
| 用例概述 | 本用例用于用户进行对食品购买操作 | |
| 前置条件 | 用户已经登录系统 | |
| 后置条件 | 系统中增加一条用户购买记录 | |
| 基本食品流 | 参与者动作 | 系统响应 |
| 1、用户在前台首页选择任意一个食品分类。 4、管理员在用户列表中选择一个食品。 7、用户填写购买订单,点击“购买”按钮。 | 2、系统从数据库中获取食品列表信息。 3、系统打开食品列表界面。 5、系统从数据库中获取食品信息。 6、系统打开食品信息及购买界面。 8、系统检查用户输入的信息是正确有效的。 9、系统将购买记录添加到数据库中。 | |
| 其他食品流 | 1、系统验证用户输入的字段为空,则提示“*购买数量不能为空!”。 | |
系统软件应确保公司内部信息内容的机密性,以确保用户利益。系统软件应选择管理权限,操纵不同客户的应用程序管理权限,并且客户不得滥用该权限进行实际操作。系统软件应确保数据信息的安全性。另外,客户指定系统软件具有纵横比的可信度,数据信息的准确性,并且系统软件是可恢复的。
客户会在系统使用过程中不断对系统提出新要求,扩展系统功能,这就要求系统软件必须具有出色的可伸缩性,以考虑到客户的长期和易于使用的法规,客户会在系统使用过程中不断对系统提出新要求,扩展系统功能。
控制系统设计应个性化,用户界面应该做到清晰简单一目了然,操作简单方便,达到人机 友好的目的。
系统软件响应速度是考虑系统软件特性的优缺点的关键参考。该系统要求响应速度短,升级解决方案快,数据交换和传输时间短以及后台管理网络服务器的响应速度快。由于系统软件用户的唯一性,系统软件必须立即有效地做出响应。并且,请务必在安全前提下确保高效的响应能力。
业务流程图(TFD)通过一些特定的符号描述业务的处理过程,它重点强调业务过程中每一项处理活动和具体业务部门的关系,选择部分模块进行具体描述。重点对本系统整体业务中最为主要的食品交易及订单业务进行描述,用户进入食品线上营销推广系统后进行各种模块信息的浏览,选择想要购买的食品添加到购物车,用户到购物车进行所购食品查询并确认购买、填写订单信息,另外,管理人员进入后端管理,以执行该订单信息控制模块的相关管理方法,并在解决后向客户提供反馈机制。
系统业务流程图如下所示。
图3-2系统业务流程图
本系统主要使用了五层架构进行开发,主要分为“表现层”、“控制层”、“服务层”、“业务逻辑层”、“数据访问层”。
“表现层”主要作为与用户交互的接口,提供给用户良好的可体验性,本系统在前后端交互主要使用的是Ajax技术来实现数据传输,不仅可以达到无刷新交互,同时还拥有较稳定的运行状态。
“控制层”主要控制前端界面和后端程序数据之间的同步,然后根据前端请求完成数据更新或者是界面控制。以及负责将“服务层”提供的服务进行最后组装并调用。
“服务层”介于“控制层”和“业务逻辑层”之间,主要是将“业务逻辑层”的数据服务进行再一次组装,之后在作为接口提供给“控制层”使用。
“业务逻辑层”主要是动态的调用“数据访问层”的方法,对复杂的算法进行操作,处理前端传过来的请求并且做出相应的逻辑处理。
“数据访问层”主要负责对数据库的访问,可以访问数据库系统、文本文件、二进制文件、xml文档等等。负责业务对象的增加,修改,删除,加载。
系统架构图如下所示。
图4-1系统架构图
通过软件的需求分析已经获得了系统的基本功能需求。根据各大功能模块的不同,将系统分为各种功能大块。系统功能结构如下图所示。
图4-2系统功能结构图
前台适用用于用户的登录、注册、食品的展示和检索、食品的购买和查看自己的订单等。
- 浏览食品:只要进入这个平台就可以查看各种食品,有生活各类所需要的食品,用户可以根据自己的需要自行浏览,选择自己心仪的食品。
- 查询食品:对于购买商食品目标明确的用户,就可以在搜索栏里直接搜索自己想购买的食品,更快、更准确的找到食品。
- 个人信息:登记个人信息并注册就可以成为平台的会员,该模块包括姓名、性别、、账户余额、电话和电子邮件。
- 密码修改:这个模块中包括原密码、新密码和确认密码。
- 个人订单:用户购买了食品之后,就会生成一张订单,订单号是自动生成的,当用户付款之后,就可以在订单管理模块待发货中看到付完款的订单,后台管理员看到订单详情,进行核对之后,订单状态就会变为已审核,同时订单状态也会反馈给用户,用户收到货就如果对商品不满意可以申请售后反馈。
后台包括管理员登录、增加食品、查看和修改食品信息、订单管理、会员管理。
- 增加食品:该模块用来上架新的食品,包括增加食品名称、食品类别、食品简介、商食品目前的销量和库存量、食品单价和食品图片。
- 查看食品信息:可以查看上架食品的信息,能随时修改食品的信息,也可以下架卖出食品。
- 订单管理:订单是前台生成的,后台可以对订单的状态进行一些改变,同时,买家的售后申请操作,卖家可以批准或删除。
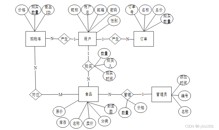
概念结构设计是在需求分析的基础之上,将需求分析抽象成概念,这样易于开发人员将复杂进行简单化操作,使得开发人员能够专注于处理模式和组织结构等,其中常用的概念模型是E-R模型。
系统E-R图如下所示。
图4-3系统E-R图
在图中,用户购买食品,关系为1:N,用户对食品的管理,包括食品价格、数量等,关系为1:N,用户将要买的食品加入购物车,关系为1:1,用户拥有自己的订单,关系为1:N。
针对系统的实体和属性,结合数据设计思想,对系统的逻辑设计的内容进行如下描述。
食品(食品编号、食品名称、食品图片、价格、类目、库存数量、介绍)。
购物车(购物车编号、食品编号、购买数量、总额、购买人、购买时间)。
订单(订单编号、用户名、订单内容、总金额、手机号、收货地址、是否支付、当前状态)。
食品类目(食品类目编号、添加时间、名称)。
资讯(资讯编号、标题、类别、内容、图片)。
在完成数据库查询定义的总体设计之后,现在可以将上述数据库查询定义结构转换为适用于某种类型的数据库管理的特定数据库系统,即数据库查询的逻辑结构。
食品线上营销推广系统数据库查询中各表的设计方案结果如下表所示。每个表格都在数据库查询中指示一个表。数据库表结构文档如下:
| 编号 | 名称 | 数据类型 | 长度 | 小数位 | 允许空值 | 主键 | 默认值 | 说明 |
| 1 | token_id | int | 10 | 0 | N | Y | 临时访问牌ID | |
| 2 | token | varchar | 64 | 0 | Y | N | 临时访问牌 | |
| 3 | info | text | 65535 | 0 | Y | N | ||
| 4 | maxage | int | 10 | 0 | N | N | 2 | 最大寿命:默认2小时 |
| 5 | create_time | timestamp | 19 | 0 | N | N | CURRENT_TIMESTAMP | 创建时间: |
| 6 | update_time | timestamp | 19 | 0 | N | N | CURRENT_TIMESTAMP | 更新时间: |
| 7 | user_id | int | 10 | 0 | N | N | 0 | 用户编号: |
| 编号 | 名称 | 数据类型 | 长度 | 小数位 | 允许空值 | 主键 | 默认值 | 说明 |
| 1 | address_id | int | 10 | 0 | N | Y | 收货地址: | |
| 2 | name | varchar | 32 | 0 | Y | N | 姓名: | |
| 3 | phone | varchar | 13 | 0 | Y | N | 手机: | |
| 4 | postcode | varchar | 8 | 0 | Y | N | 邮编: | |
| 5 | address | varchar | 255 | 0 | N | N | 地址: | |
| 6 | user_id | mediumint | 8 | 0 | N | N | 用户ID:[0,8388607]用户获取其他与用户相关的数据 | |
| 7 | create_time | timestamp | 19 | 0 | N | N | CURRENT_TIMESTAMP | 创建时间: |
| 8 | update_time | timestamp | 19 | 0 | N | N | CURRENT_TIMESTAMP | 更新时间: |
| 9 | default | bit | 1 | 0 | N | N | 0 | 默认判断 |
| 编号 | 名称 | 数据类型 | 长度 | 小数位 | 允许空值 | 主键 | 默认值 | 说明 |
| 1 | article_id | mediumint | 8 | 0 | N | Y | 文章id:[0,8388607] | |
| 2 | title | varchar | 125 | 0 | N | Y | 标题:[0,125]用于文章和html的title标签中 | |
| 3 | type | varchar | 64 | 0 | N | N | 0 | 文章分类:[0,1000]用来搜索指定类型的文章 |
| 4 | hits | int | 10 | 0 | N | N | 0 | 点击数:[0,1000000000]访问这篇文章的人次 |
| 5 | praise_len | int | 10 | 0 | N | N | 0 | 点赞数 |
| 6 | create_time | timestamp | 19 | 0 | N | N | CURRENT_TIMESTAMP | 创建时间: |
| 7 | update_time | timestamp | 19 | 0 | N | N | CURRENT_TIMESTAMP | 更新时间: |
| 8 | source | varchar | 255 | 0 | Y | N | 来源:[0,255]文章的出处 | |
| 9 | url | varchar | 255 | 0 | Y | N | 来源地址:[0,255]用于跳转到发布该文章的网站 | |
| 10 | tag | varchar | 255 | 0 | Y | N | 标签:[0,255]用于标注文章所属相关内容,多个标签用空格隔开 | |
| 11 | content | longtext | 2147483647 | 0 | Y | N | 正文:文章的主体内容 | |
| 12 | img | varchar | 255 | 0 | Y | N | 封面图 | |
| 13 | description | text | 65535 | 0 | Y | N | 文章描述 |
| 编号 | 名称 | 数据类型 | 长度 | 小数位 | 允许空值 | 主键 | 默认值 | 说明 |
| 1 | type_id | smallint | 5 | 0 | N | Y | 分类ID:[0,10000] | |
| 2 | display | smallint | 5 | 0 | N | N | 100 | 显示顺序:[0,1000]决定分类显示的先后顺序 |
| 3 | name | varchar | 16 | 0 | N | N | 分类名称:[2,16] | |
| 4 | father_id | smallint | 5 | 0 | N | N | 0 | 上级分类ID:[0,32767] |
| 5 | description | varchar | 255 | 0 | Y | N | 描述:[0,255]描述该分类的作用 | |
| 6 | icon | text | 65535 | 0 | Y | N | 分类图标: | |
| 7 | url | varchar | 255 | 0 | Y | N | 外链地址:[0,255]如果该分类是跳转到其他网站的情况下,就在该URL上设置 | |
| 8 | create_time | timestamp | 19 | 0 | N | N | CURRENT_TIMESTAMP | 创建时间: |
| 9 | update_time | timestamp | 19 | 0 | N | N | CURRENT_TIMESTAMP | 更新时间: |
| 编号 | 名称 | 数据类型 | 长度 | 小数位 | 允许空值 | 主键 | 默认值 | 说明 |
| 1 | auth_id | int | 10 | 0 | N | Y | 授权ID: | |
| 2 | user_group | varchar | 64 | 0 | Y | N | 用户组: | |
| 3 | mod_name | varchar | 64 | 0 | Y | N | 模块名: | |
| 4 | table_name | varchar | 64 | 0 | Y | N | 表名: | |
| 5 | page_title | varchar | 255 | 0 | Y | N | 页面标题: | |
| 6 | path | varchar | 255 | 0 | Y | N | 路由路径: | |
| 7 | position | varchar | 32 | 0 | Y | N | 位置: | |
| 8 | mode | varchar | 32 | 0 | N | N | _blank | 跳转方式: |
| 9 | add | tinyint | 3 | 0 | N | N | 1 | 是否可增加: |
| 10 | del | tinyint | 3 | 0 | N | N | 1 | 是否可删除: |
| 11 | set | tinyint | 3 | 0 | N | N | 1 | 是否可修改: |
| 12 | get | tinyint | 3 | 0 | N | N | 1 | 是否可查看: |
| 13 | field_add | text | 65535 | 0 | Y | N | 添加字段: | |
| 14 | field_set | text | 65535 | 0 | Y | N | 修改字段: | |
| 15 | field_get | text | 65535 | 0 | Y | N | 查询字段: | |
| 16 | table_nav_name | varchar | 500 | 0 | Y | N | 跨表导航名称: | |
| 17 | table_nav | varchar | 500 | 0 | Y | N | 跨表导航: | |
| 18 | option | text | 65535 | 0 | Y | N | 配置: | |
| 19 | create_time | timestamp | 19 | 0 | N | N | CURRENT_TIMESTAMP | 创建时间: |
| 20 | update_time | timestamp | 19 | 0 | N | N | CURRENT_TIMESTAMP | 更新时间: |
| 编号 | 名称 | 数据类型 | 长度 | 小数位 | 允许空值 | 主键 | 默认值 | 说明 |
| 1 | cart_id | int | 10 | 0 | N | Y | 购物车ID: | |
| 2 | title | varchar | 64 | 0 | Y | N | 标题: | |
| 3 | img | varchar | 255 | 0 | N | N | 0 | 图片: |
| 4 | user_id | int | 10 | 0 | N | N | 0 | 用户ID: |
| 5 | create_time | timestamp | 19 | 0 | N | N | CURRENT_TIMESTAMP | 创建时间: |
| 6 | update_time | timestamp | 19 | 0 | N | N | CURRENT_TIMESTAMP | 更新时间: |
| 7 | state | int | 10 | 0 | N | N | 0 | 状态:使用中,已失效 |
| 8 | price | double | 9 | 2 | N | N | 0.00 | 单价: |
| 9 | price_ago | double | 9 | 2 | N | N | 0.00 | 原价: |
| 10 | price_count | double | 11 | 2 | N | N | 0.00 | 总价: |
| 11 | num | int | 10 | 0 | N | N | 1 | 数量: |
| 12 | goods_id | mediumint | 8 | 0 | N | N | 商品id:[0,8388607] | |
| 13 | type | varchar | 64 | 0 | N | N | 未分类 | 商品分类: |
| 14 | description | varchar | 255 | 0 | Y | N | 描述:[0,255]用于产品规格描述 |
| 编号 | 名称 | 数据类型 | 长度 | 小数位 | 允许空值 | 主键 | 默认值 | 说明 |
| 1 | collect_id | int | 10 | 0 | N | Y | 收藏ID: | |
| 2 | user_id | int | 10 | 0 | N | N | 0 | 收藏人ID: |
| 3 | source_table | varchar | 255 | 0 | Y | N | 来源表: | |
| 4 | source_field | varchar | 255 | 0 | Y | N | 来源字段: | |
| 5 | source_id | int | 10 | 0 | N | N | 0 | 来源ID: |
| 6 | title | varchar | 255 | 0 | Y | N | 标题: | |
| 7 | img | varchar | 255 | 0 | Y | N | 封面: | |
| 8 | create_time | timestamp | 19 | 0 | N | N | CURRENT_TIMESTAMP | 创建时间: |
| 9 | update_time | timestamp | 19 | 0 | N | N | CURRENT_TIMESTAMP | 更新时间: |
| 编号 | 名称 | 数据类型 | 长度 | 小数位 | 允许空值 | 主键 | 默认值 | 说明 |
| 1 | comment_id | int | 10 | 0 | N | Y | 评论ID: | |
| 2 | user_id | int | 10 | 0 | N | N | 0 | 评论人ID: |
| 3 | reply_to_id | int | 10 | 0 | N | N | 0 | 回复评论ID:空为0 |
| 4 | content | longtext | 2147483647 | 0 | Y | N | 内容: | |
| 5 | nickname | varchar | 255 | 0 | Y | N | 昵称: | |
| 6 | avatar | varchar | 255 | 0 | Y | N | 头像地址:[0,255] | |
| 7 | create_time | timestamp | 19 | 0 | N | N | CURRENT_TIMESTAMP | 创建时间: |
| 8 | update_time | timestamp | 19 | 0 | N | N | CURRENT_TIMESTAMP | 更新时间: |
| 9 | source_table | varchar | 255 | 0 | Y | N | 来源表: | |
| 10 | source_field | varchar | 255 | 0 | Y | N | 来源字段: | |
| 11 | source_id | int | 10 | 0 | N | N | 0 | 来源ID: |
| 编号 | 名称 | 数据类型 | 长度 | 小数位 | 允许空值 | 主键 | 默认值 | 说明 |
| 1 | food_information_id | int | 10 | 0 | N | Y | 食品信息ID | |
| 2 | merchant_users | int | 10 | 0 | Y | N | 0 | 商家用户 |
| 3 | store_name | varchar | 64 | 0 | Y | N | 店铺名称 | |
| 4 | food_name | varchar | 64 | 0 | Y | N | 食品名称 | |
| 5 | food_specifications | varchar | 64 | 0 | Y | N | 食品规格 | |
| 6 | food_introduction | text | 65535 | 0 | Y | N | 食品介绍 | |
| 7 | cart_title | varchar | 125 | 0 | Y | N | 标题:[0,125]用于产品html的标签中 | |
| 8 | cart_img | text | 65535 | 0 | Y | N | 封面图:用于显示于产品列表页 | |
| 9 | cart_description | varchar | 255 | 0 | Y | N | 描述:[0,255]用于产品规格描述 | |
| 10 | cart_price_ago | double | 8 | 2 | N | N | 0.00 | 原价:[1] |
| 11 | cart_price | double | 8 | 2 | N | N | 0.00 | 卖价:[1] |
| 12 | cart_inventory | int | 10 | 0 | N | N | 0 | 商品库存 |
| 13 | cart_type | varchar | 64 | 0 | N | N | 未分类 | 商品分类: |
| 14 | cart_content | longtext | 2147483647 | 0 | Y | N | 正文:产品的主体内容 | |
| 15 | cart_img_1 | text | 65535 | 0 | Y | N | 主图1: | |
| 16 | cart_img_2 | text | 65535 | 0 | Y | N | 主图2: | |
| 17 | cart_img_3 | text | 65535 | 0 | Y | N | 主图3: | |
| 18 | cart_img_4 | text | 65535 | 0 | Y | N | 主图4: | |
| 19 | cart_img_5 | text | 65535 | 0 | Y | N | 主图5: | |
| 20 | create_time | datetime | 19 | 0 | N | N | CURRENT_TIMESTAMP | 创建时间 |
| 21 | update_time | timestamp | 19 | 0 | N | N | CURRENT_TIMESTAMP | 更新时间 |
| 编号 | 名称 | 数据类型 | 长度 | 小数位 | 允许空值 | 主键 | 默认值 | 说明 |
| 1 | goods_id | mediumint | 8 | 0 | N | Y | 产品id:[0,8388607] | |
| 2 | title | varchar | 125 | 0 | Y | N | 标题:[0,125]用于产品和html的<title>标签中 | |
| 3 | img | text | 65535 | 0 | Y | N | 封面图:用于显示于产品列表页 | |
| 4 | description | varchar | 255 | 0 | Y | N | 描述:[0,255]用于产品规格描述 | |
| 5 | price_ago | double | 8 | 2 | N | N | 0.00 | 原价:[1] |
| 6 | price | double | 8 | 2 | N | N | 0.00 | 卖价:[1] |
| 7 | sales | int | 10 | 0 | N | N | 0 | 销量:[0,1000000000] |
| 8 | inventory | int | 10 | 0 | N | N | 0 | 商品库存 |
| 9 | type | varchar | 64 | 0 | N | N | 商品分类: | |
| 10 | hits | int | 10 | 0 | N | N | 0 | 点击量:[0,1000000000]访问这篇产品的人次 |
| 11 | content | longtext | 2147483647 | 0 | Y | N | 正文:产品的主体内容 | |
| 12 | img_1 | text | 65535 | 0 | Y | N | 主图1: | |
| 13 | img_2 | text | 65535 | 0 | Y | N | 主图2: | |
| 14 | img_3 | text | 65535 | 0 | Y | N | 主图3: | |
| 15 | img_4 | text | 65535 | 0 | Y | N | 主图4: | |
| 16 | img_5 | text | 65535 | 0 | Y | N | 主图5: | |
| 17 | create_time | timestamp | 19 | 0 | N | N | CURRENT_TIMESTAMP | 创建时间: |
| 18 | update_time | timestamp | 19 | 0 | N | N | CURRENT_TIMESTAMP | 更新时间: |
| 19 | customize_field | text | 65535 | 0 | Y | N | 自定义字段 | |
| 20 | source_table | varchar | 255 | 0 | Y | N | 来源表: | |
| 21 | source_field | varchar | 255 | 0 | Y | N | 来源字段: | |
| 22 | source_id | int | 10 | 0 | N | N | 0 | 来源ID: |
| 23 | user_id | int | 10 | 0 | Y | N | 0 | 添加人 |
| 编号 | 名称 | 数据类型 | 长度 | 小数位 | 允许空值 | 主键 | 默认值 | 说明 |
| 1 | type_id | int | 10 | 0 | N | Y | 商品分类ID: | |
| 2 | father_id | smallint | 5 | 0 | N | N | 0 | 上级分类ID:[0,32767] |
| 3 | name | varchar | 255 | 0 | Y | N | 商品名称: | |
| 4 | desc | varchar | 255 | 0 | Y | N | 描述: | |
| 5 | icon | varchar | 255 | 0 | Y | N | 图标: | |
| 6 | source_table | varchar | 255 | 0 | Y | N | 来源表: | |
| 7 | source_field | varchar | 255 | 0 | Y | N | 来源字段: | |
| 8 | create_time | timestamp | 19 | 0 | N | N | CURRENT_TIMESTAMP | 创建时间: |
| 9 | update_time | timestamp | 19 | 0 | N | N | CURRENT_TIMESTAMP | 更新时间: |
| 编号 | 名称 | 数据类型 | 长度 | 小数位 | 允许空值 | 主键 | 默认值 | 说明 |
| 1 | hits_id | int | 10 | 0 | N | Y | 点赞ID: | |
| 2 | user_id | int | 10 | 0 | N | N | 0 | 点赞人: |
| 3 | create_time | timestamp | 19 | 0 | N | N | CURRENT_TIMESTAMP | 创建时间: |
| 4 | update_time | timestamp | 19 | 0 | N | N | CURRENT_TIMESTAMP | 更新时间: |
| 5 | source_table | varchar | 255 | 0 | Y | N | 来源表: | |
| 6 | source_field | varchar | 255 | 0 | Y | N | 来源字段: | |
| 7 | source_id | int | 10 | 0 | N | N | 0 | 来源ID: |
| 编号 | 名称 | 数据类型 | 长度 | 小数位 | 允许空值 | 主键 | 默认值 | 说明 |
| 1 | logistics_delivery_id | int | 10 | 0 | N | Y | 物流配送ID | |
| 2 | order_number | varchar | 64 | 0 | Y | N | 订单号 | |
| 3 | product_name | varchar | 64 | 0 | Y | N | 商品名称 | |
| 4 | purchase_quantity | varchar | 64 | 0 | Y | N | 购买数量 | |
| 5 | total_transaction_amount | double | 11 | 2 | Y | N | 0.00 | 交易总额 |
| 6 | the_date_of_issuance | date | 10 | 0 | Y | N | 发货日期 | |
| 7 | delivery_number | varchar | 30 | 0 | Y | N | 配送订单 | |
| 8 | ordinary_users | int | 10 | 0 | Y | N | 0 | 普通用户 |
| 9 | shipping_address | varchar | 64 | 0 | Y | N | 收货地址 | |
| 10 | delivery_status | varchar | 64 | 0 | Y | N | 配送状态 | |
| 11 | signing_status | varchar | 64 | 0 | Y | N | 签收状态 | |
| 12 | recommend | int | 10 | 0 | N | N | 0 | 智能推荐 |
| 13 | contact_name | varchar | 255 | 0 | Y | N | 联系人名字 | |
| 14 | merchant_id | int | 10 | 0 | Y | N | 商家id | |
| 15 | create_time | datetime | 19 | 0 | N | N | CURRENT_TIMESTAMP | 创建时间 |
| 16 | update_time | timestamp | 19 | 0 | N | N | CURRENT_TIMESTAMP | 更新时间 |
| 编号 | 名称 | 数据类型 | 长度 | 小数位 | 允许空值 | 主键 | 默认值 | 说明 |
| 1 | merchant_users_id | int | 10 | 0 | N | Y | 商家用户ID | |
| 2 | merchant_name | varchar | 64 | 0 | Y | N | 商家姓名 | |
| 3 | store_name | varchar | 64 | 0 | Y | N | 店铺名称 | |
| 4 | examine_state | varchar | 16 | 0 | N | N | 已通过 | 审核状态 |
| 5 | user_id | int | 10 | 0 | N | N | 0 | 用户ID |
| 6 | create_time | datetime | 19 | 0 | N | N | CURRENT_TIMESTAMP | 创建时间 |
| 7 | update_time | timestamp | 19 | 0 | N | N | CURRENT_TIMESTAMP | 更新时间 |
| 编号 | 名称 | 数据类型 | 长度 | 小数位 | 允许空值 | 主键 | 默认值 | 说明 |
| 1 | notice_id | mediumint | 8 | 0 | N | Y | 公告id: | |
| 2 | title | varchar | 125 | 0 | N | N | 标题: | |
| 3 | content | longtext | 2147483647 | 0 | Y | N | 正文: | |
| 4 | create_time | timestamp | 19 | 0 | N | N | CURRENT_TIMESTAMP | 创建时间: |
| 5 | update_time | timestamp | 19 | 0 | N | N | CURRENT_TIMESTAMP | 更新时间: |
| 编号 | 名称 | 数据类型 | 长度 | 小数位 | 允许空值 | 主键 | 默认值 | 说明 |
| 1 | order_id | int | 10 | 0 | N | Y | 订单ID: | |
| 2 | order_number | varchar | 64 | 0 | Y | N | 订单号: | |
| 3 | goods_id | mediumint | 8 | 0 | N | N | 商品id:[0,8388607] | |
| 4 | title | varchar | 32 | 0 | Y | N | 商品标题: | |
| 5 | img | varchar | 255 | 0 | Y | N | 商品图片: | |
| 6 | price | double | 10 | 2 | N | N | 0.00 | 价格: |
| 7 | price_ago | double | 10 | 2 | N | N | 0.00 | 原价: |
| 8 | num | int | 10 | 0 | N | N | 1 | 数量: |
| 9 | price_count | double | 8 | 2 | N | N | 0.00 | 总价: |
| 10 | norms | varchar | 255 | 0 | Y | N | 规格: | |
| 11 | type | varchar | 64 | 0 | N | N | 未分类 | 商品分类: |
| 12 | contact_name | varchar | 32 | 0 | Y | N | 联系人姓名: | |
| 13 | contact_email | varchar | 125 | 0 | Y | N | 联系人邮箱: | |
| 14 | contact_phone | varchar | 11 | 0 | Y | N | 联系人手机: | |
| 15 | contact_address | varchar | 255 | 0 | Y | N | 收件地址: | |
| 16 | postal_code | varchar | 9 | 0 | Y | N | 邮政编码: | |
| 17 | user_id | int | 10 | 0 | N | N | 0 | 买家ID: |
| 18 | merchant_id | mediumint | 8 | 0 | N | N | 0 | 商家ID: |
| 19 | create_time | timestamp | 19 | 0 | N | N | CURRENT_TIMESTAMP | 创建时间: |
| 20 | update_time | timestamp | 19 | 0 | N | N | CURRENT_TIMESTAMP | 更新时间: |
| 21 | description | varchar | 255 | 0 | Y | N | 描述:[0,255]用于产品规格描述 | |
| 22 | state | varchar | 16 | 0 | N | N | 待付款 | 订单状态:待付款,待发货,待签收,已签收,待退款,已退款,已拒绝,已完成 |
| 23 | remark | text | 65535 | 0 | Y | N | 订单备注 | |
| 24 | delivery_state | varchar | 16 | 0 | Y | N | 未配送 | 发货状态:未配送,已配送 |
| 25 | vip_discount | double | 11 | 2 | Y | N | 0.00 | 折扣 |
表participate_in_the_lottery (参加抽奖)
| 编号 | 名称 | 数据类型 | 长度 | 小数位 | 允许空值 | 主键 | 默认值 | 说明 |
| 1 | participate_in_the_lottery_id | int | 10 | 0 | N | Y | 参加抽奖ID | |
| 2 | merchant_users | int | 10 | 0 | Y | N | 0 | 商家用户 |
| 3 | store_name | varchar | 64 | 0 | Y | N | 店铺名称 | |
| 4 | activity_name | varchar | 64 | 0 | Y | N | 活动名称 | |
| 5 | activity_time | varchar | 64 | 0 | Y | N | 活动时间 | |
| 6 | event_location | varchar | 64 | 0 | Y | N | 活动地点 | |
| 7 | participating_users | int | 10 | 0 | Y | N | 0 | 参加用户 |
| 8 | user_name | varchar | 64 | 0 | Y | N | 用户姓名 | |
| 9 | number_of_participants | varchar | 64 | 0 | Y | N | 参加人数 | |
| 10 | number_of_draws | varchar | 64 | 0 | Y | N | 抽中奖次 | |
| 11 | winning_the_prize | varchar | 64 | 0 | Y | N | 抽中奖品 | |
| 12 | examine_state | varchar | 16 | 0 | N | N | 未审核 | 审核状态 |
| 13 | examine_reply | varchar | 16 | 0 | Y | N | 审核回复 | |
| 14 | create_time | datetime | 19 | 0 | N | N | CURRENT_TIMESTAMP | 创建时间 |
| 15 | update_time | timestamp | 19 | 0 | N | N | CURRENT_TIMESTAMP | 更新时间 |
| 编号 | 名称 | 数据类型 | 长度 | 小数位 | 允许空值 | 主键 | 默认值 | 说明 |
| 1 | praise_id | int | 10 | 0 | N | Y | 点赞ID: | |
| 2 | user_id | int | 10 | 0 | N | N | 0 | 点赞人: |
| 3 | create_time | timestamp | 19 | 0 | N | N | CURRENT_TIMESTAMP | 创建时间: |
| 4 | update_time | timestamp | 19 | 0 | N | N | CURRENT_TIMESTAMP | 更新时间: |
| 5 | source_table | varchar | 255 | 0 | Y | N | 来源表: | |
| 6 | source_field | varchar | 255 | 0 | Y | N | 来源字段: | |
| 7 | source_id | int | 10 | 0 | N | N | 0 | 来源ID: |
| 8 | status | bit | 1 | 0 | N | N | 1 | 点赞状态:1为点赞,0已取消 |
表promotional_activities (促销活动)
| 编号 | 名称 | 数据类型 | 长度 | 小数位 | 允许空值 | 主键 | 默认值 | 说明 |
| 1 | promotional_activities_id | int | 10 | 0 | N | Y | 促销活动ID | |
| 2 | merchant_users | int | 10 | 0 | Y | N | 0 | 商家用户 |
| 3 | store_name | varchar | 64 | 0 | Y | N | 店铺名称 | |
| 4 | store_logo | varchar | 255 | 0 | Y | N | 店铺logo | |
| 5 | activity_name | varchar | 64 | 0 | Y | N | 活动名称 | |
| 6 | activity_time | varchar | 64 | 0 | Y | N | 活动时间 | |
| 7 | event_discounts | varchar | 64 | 0 | Y | N | 活动折扣 | |
| 8 | activity_content | text | 65535 | 0 | Y | N | 活动内容 | |
| 9 | activity_rules | text | 65535 | 0 | Y | N | 活动规则 | |
| 10 | hits | int | 10 | 0 | N | N | 0 | 点击数 |
| 11 | praise_len | int | 10 | 0 | N | N | 0 | 点赞数 |
| 12 | create_time | datetime | 19 | 0 | N | N | CURRENT_TIMESTAMP | 创建时间 |
| 13 | update_time | timestamp | 19 | 0 | N | N | CURRENT_TIMESTAMP | 更新时间 |
| 编号 | 名称 | 数据类型 | 长度 | 小数位 | 允许空值 | 主键 | 默认值 | 说明 |
| 1 | regular_users_id | int | 10 | 0 | N | Y | 普通用户ID | |
| 2 | user_name | varchar | 64 | 0 | Y | N | 用户姓名 | |
| 3 | user_gender | varchar | 64 | 0 | Y | N | 用户性别 | |
| 4 | examine_state | varchar | 16 | 0 | N | N | 已通过 | 审核状态 |
| 5 | user_id | int | 10 | 0 | N | N | 0 | 用户ID |
| 6 | create_time | datetime | 19 | 0 | N | N | CURRENT_TIMESTAMP | 创建时间 |
| 7 | update_time | timestamp | 19 | 0 | N | N | CURRENT_TIMESTAMP | 更新时间 |
| 编号 | 名称 | 数据类型 | 长度 | 小数位 | 允许空值 | 主键 | 默认值 | 说明 |
| 1 | sensitive_vocabulary_id | int | 10 | 0 | N | Y | 敏感词汇ID | |
| 2 | sensitive_vocabulary | varchar | 64 | 0 | Y | N | 敏感词汇 | |
| 3 | create_time | datetime | 19 | 0 | N | N | CURRENT_TIMESTAMP | 创建时间 |
| 4 | update_time | timestamp | 19 | 0 | N | N | CURRENT_TIMESTAMP | 更新时间 |
| 编号 | 名称 | 数据类型 | 长度 | 小数位 | 允许空值 | 主键 | 默认值 | 说明 |
| 1 | slides_id | int | 10 | 0 | N | Y | 轮播图ID: | |
| 2 | title | varchar | 64 | 0 | Y | N | 标题: | |
| 3 | content | varchar | 255 | 0 | Y | N | 内容: | |
| 4 | url | varchar | 255 | 0 | Y | N | 链接: | |
| 5 | img | varchar | 255 | 0 | Y | N | 轮播图: | |
| 6 | hits | int | 10 | 0 | N | N | 0 | 点击量: |
| 7 | create_time | timestamp | 19 | 0 | N | N | CURRENT_TIMESTAMP | 创建时间: |
| 8 | update_time | timestamp | 19 | 0 | N | N | CURRENT_TIMESTAMP | 更新时间: |
| 编号 | 名称 | 数据类型 | 长度 | 小数位 | 允许空值 | 主键 | 默认值 | 说明 |
| 1 | upload_id | int | 10 | 0 | N | Y | 上传ID | |
| 2 | name | varchar | 64 | 0 | Y | N | 文件名 | |
| 3 | path | varchar | 255 | 0 | Y | N | 访问路径 | |
| 4 | file | varchar | 255 | 0 | Y | N | 文件路径 | |
| 5 | display | varchar | 255 | 0 | Y | N | 显示顺序 | |
| 6 | father_id | int | 10 | 0 | Y | N | 0 | 父级ID |
| 7 | dir | varchar | 255 | 0 | Y | N | 文件夹 | |
| 8 | type | varchar | 32 | 0 | Y | N | 文件类型 |
| 编号 | 名称 | 数据类型 | 长度 | 小数位 | 允许空值 | 主键 | 默认值 | 说明 |
| 1 | user_id | mediumint | 8 | 0 | N | Y | 用户ID:[0,8388607]用户获取其他与用户相关的数据 | |
| 2 | state | smallint | 5 | 0 | N | N | 1 | 账户状态:[0,10](1可用|2异常|3已冻结|4已注销) |
| 3 | user_group | varchar | 32 | 0 | Y | N | 所在用户组:[0,32767]决定用户身份和权限 | |
| 4 | login_time | timestamp | 19 | 0 | N | N | CURRENT_TIMESTAMP | 上次登录时间: |
| 5 | phone | varchar | 11 | 0 | Y | N | 手机号码:[0,11]用户的手机号码,用于找回密码时或登录时 | |
| 6 | phone_state | smallint | 5 | 0 | N | N | 0 | 手机认证:[0,1](0未认证|1审核中|2已认证) |
| 7 | username | varchar | 16 | 0 | N | N | 用户名:[0,16]用户登录时所用的账户名称 | |
| 8 | nickname | varchar | 16 | 0 | Y | N | 昵称:[0,16] | |
| 9 | password | varchar | 64 | 0 | N | N | 密码:[0,32]用户登录所需的密码,由6-16位数字或英文组成 | |
| 10 | | varchar | 64 | 0 | Y | N | 邮箱:[0,64]用户的邮箱,用于找回密码时或登录时 | |
| 11 | email_state | smallint | 5 | 0 | N | N | 0 | 邮箱认证:[0,1](0未认证|1审核中|2已认证) |
| 12 | avatar | varchar | 255 | 0 | Y | N | 头像地址:[0,255] | |
| 13 | open_id | varchar | 255 | 0 | Y | N | 针对获取用户信息字段 | |
| 14 | create_time | timestamp | 19 | 0 | N | N | CURRENT_TIMESTAMP | 创建时间: |
| 15 | vip_level | varchar | 255 | 0 | Y | N | 会员等级 | |
| 16 | vip_discount | double | 11 | 2 | Y | N | 0.00 | 会员折扣 |
| 编号 | 名称 | 数据类型 | 长度 | 小数位 | 允许空值 | 主键 | 默认值 | 说明 |
| 1 | group_id | mediumint | 8 | 0 | N | Y | 用户组ID:[0,8388607] | |
| 2 | display | smallint | 5 | 0 | N | N | 100 | 显示顺序:[0,1000] |
| 3 | name | varchar | 16 | 0 | N | N | 名称:[0,16] | |
| 4 | description | varchar | 255 | 0 | Y | N | 描述:[0,255]描述该用户组的特点或权限范围 | |
| 5 | source_table | varchar | 255 | 0 | Y | N | 来源表: | |
| 6 | source_field | varchar | 255 | 0 | Y | N | 来源字段: | |
| 7 | source_id | int | 10 | 0 | N | N | 0 | 来源ID: |
| 8 | register | smallint | 5 | 0 | Y | N | 0 | 注册位置: |
| 9 | create_time | timestamp | 19 | 0 | N | N | CURRENT_TIMESTAMP | 创建时间: |
| 10 | update_time | timestamp | 19 | 0 | N | N | CURRENT_TIMESTAMP | 更新时间: |
| 编号 | 名称 | 数据类型 | 长度 | 小数位 | 允许空值 | 主键 | 默认值 | 说明 |
| 1 | welfare_lottery_id | int | 10 | 0 | N | Y | 福利抽奖ID | |
| 2 | merchant_users | int | 10 | 0 | Y | N | 0 | 商家用户 |
| 3 | store_name | varchar | 64 | 0 | Y | N | 店铺名称 | |
| 4 | activity_name | varchar | 64 | 0 | Y | N | 活动名称 | |
| 5 | activity_time | varchar | 64 | 0 | Y | N | 活动时间 | |
| 6 | event_location | varchar | 64 | 0 | Y | N | 活动地点 | |
| 7 | event_prizes | varchar | 64 | 0 | Y | N | 活动奖品 | |
| 8 | number_of_prizes | varchar | 64 | 0 | Y | N | 奖品数量 | |
| 9 | number_of_participants | varchar | 64 | 0 | Y | N | 活动人数 | |
| 10 | activity_content | text | 65535 | 0 | Y | N | 活动内容 | |
| 11 | lottery_rules | text | 65535 | 0 | Y | N | 抽奖规则 | |
| 12 | hits | int | 10 | 0 | N | N | 0 | 点击数 |
| 13 | praise_len | int | 10 | 0 | N | N | 0 | 点赞数 |
| 14 | timer_title | varchar | 64 | 0 | Y | N | 计时器标题 | |
| 15 | timing_start_time | datetime | 19 | 0 | Y | N | 计时开始时间 | |
| 16 | timing_end_time | datetime | 19 | 0 | Y | N | 计时结束时间 | |
| 17 | create_time | datetime | 19 | 0 | N | N | CURRENT_TIMESTAMP | 创建时间 |
| 18 | update_time | timestamp | 19 | 0 | N | N | CURRENT_TIMESTAMP | 更新时间 |
用户界面要尽量简洁大方,使用户能够方便找到需要的功能入口,浏览、购买食品,且要易于修改和维护,同时还要保证用户合法和系统安全。
首页界面如下图所示。
图5-1首页界面
用户注册页面主要用于客户注册,在这个页面中客户要填写用户名,密码,昵称、邮箱等信息,并且各项信息都不能为空。客户也可以点击修改个人资料和密码。系统管理员对已注册客户的信息可进行确认,可将用户列为正式用户,也可以将其删除。一般注册了的用户默认都是正是用户,前提是管理员没有删除该账号。客户在注册成功以后,才可登录系统。模块的功能是在yonghuzhuce.jsp页面中实现的。
用户注册界面如下所示。
图5-2用户注册界面
-
-
- 食品信息的实现
-
食品信息展示页是展示系统食品的页面,通过sql语句:"select shangpinxinximingcheng,id,tupian,jiage,addtime from shangpinxinxi order by addtime desc",将所有是商品按商品编号降序排列。
食品信息页面,如下图所示。
图5-3食品信息页面
-
-
- 食品搜索的实现
-
食品搜索引擎主要是为客户提供一个食品搜索的功能,便于客户查找自己所需要的食品。在这里,客户可以通过选择下拉列表框中的选项,输入食品名,食品状态,发布人等,再在文本框中输入相应的信息后点击确定,就可以搜索到对应的食品信息。
食品搜索界面如下图所示。
图5-4食品搜索界面
-
-
- 食品购买的实现
-
购物车页面主要用于客户交易食品,当客户选定了要订的食品以后,可以查看食品的内容简介。在客户已登录的前提下,在搜索到自己所需的食品以后,当点击添加到购物车时,可把自己选订的食品添加到购物车中。
食品购买界面如下图所示。
图5-5食品购买界面
个人购物车界面如下图所示。
图5-6个人购物车界面
客户订单管理模块主要包括了查看客户详细订单和处理订单等功能。这些功能分别在dingdan_detail.jsp、dingdan_list.jsp二个页面中实现的。
客户填写订单,主要是在把选订的食品加入购物车以后,需填写的一个订单。目的是为了让管理员了解客户的信息,也是为客户提供一个购物的便利,以下信息客户必须填写。为了方便客户,特为客户提供了多种的支付币种,支付方式,客户可以在支付页面中选择适合自己情况的方式。
订单生成界面如下图所示。
图5-7订单生成界面
-
-
- 系统用户管理的实现
-
管理员对系统用户的管理,在yhzhgl.jsp实现管理员用户的管理,包括录入、删除、修改,修改密码通过SESSION获取用户名,然后输入新密码,提交到mod.jsp中,使用sql命令更新密码。
系统用户管理界面如下图所示。
图5-8系统用户管理界面
登录密码修改界面如下图所示。
图5-9登录密码修改界面
-
-
- 促销活动管理的实现
-
管理员在首页通过管理员账号登录以后,就可以进入后台管理。查询促销活动信息主要可以查看活动名称、活动时间、活动内容等信息。促销活动管理模块中包含促销活动列表和促销活动列表添加两个小模块。在促销活动列表小模块中系统管理员可以对促销活动列表进行更改,其功能是在shangpinleibie_updt.jsp页面中实现的。而促销活动列表添加提供了促销活动的添加修改删除等功能。其中添加是在shangpin_add.jsp中实现的,可以添加活动名称、活动折扣、活动规格以及上传图片和活动的简介等信息。
促销活动列表和促销活动列表添加界面如下图所示。
图5-11促销活动列表添加界面
-
-
- 订单列表的实现
-
管理员在后台管理界面点击到所有订单界面dingdan_list.jsp,向控制层dingdanAction发送请求,搜索当前所有订单信息,dingdanAction向dingdanDAOImp调用搜索全部订单的请求,向数据库的订单表搜索当前所有订单并将订单信息以对象的形式层层返回到dingdan_list.jsp界面,显示出当前所有订单信息。同时可以删除过期订单,确认已有订单,进行发货处理。
订单列表界面如下图所示。
图5-12订单列表界面
软件测试是指使用人工或全自动方法来操作或测试某些系统软件的整个过程。其目的取决于是否考虑要求的要求或澄清预期结果与特定结果之间的差异。它是帮助识别和开发设计手机软件计算机技术的正确性,彻底性和质量的全过程。
软件测试和测试不关注整个过程的主题活动,而只是分析整个过程中的物质以及开发和设计的手机软件。测试工程师应“实施”手机软件,在整个过程中对材料(开发文本和源代码)进行演练和操作,以发现问题并报告质量。测试工程师还必须假设手机软件存在问题,因此他们所做的实际操作都是为了更好地发现大量问题,而不仅仅是证明一切都适当。
软件功能性测试是指执行指定的工作流程,通过对一个系统的所有特性和功能都进行测试确保符合需求和规范。
系统功能性测试表如下表所示。
表6-1系统功能性测试表
| 编号 | 测试功能 | 测试内容 | 测试结果 |
| 1 | 用户登录 | 1.验证用户名与密码的正确性。 2.验证密码是否可见。 | 通过 |
| 2 | 首页展示 | 1.首页数据是否成功加载。 2.验证搜索功能的准确性。 3.验证是否可以异步加载。 4.验证导航栏按钮。 | 通过 |
| 3 | 个人信息修改 | 1.验证登录名是否可以正常更改。 2.验证联系方式是否可以更改。 3.验证收货地址可以正常修改。 4.验证密码是否可以修改。 | 通过 |
| 4 | 购物车管理 | 1.购物车清单是否可以生成。 2.验证消费信息是否准确。 | 通过 |
| 5 | 活动添加 | 1.验证活动数据准确性与完整性。 2.验证活动提交是否能成功展示。 | 通过 |
| 7 | 食品类目管理 | 1.验证类目新增是否可以成功。 2.验证类目删除是否可以成功。 | 通过 |
| 8 | 食品信息管理 | 1.食品信息是否与上传一致。 2.是否能完成价格修改。 3.验证库存信息修改。 | 通过 |
| 9 | 订单处理 | 1.能否正常上传单号完成发货。 2.验证数据准确性。 | 通过 |
| 10 | 添加食品 | 1.上传食品是否添加验证。 2.图片是否成功上传。 3.验证表单是否提交成功。 | 通过 |
| 11 | 用户管理 | 1.验证用户录入功能。 2.验证用户违规清理功能。 | 通过 |
第一个测试阶段:系统软件的操作界面由几个子控制模块组成,每个子控制模块都有其相对的作用。因此,系统软件的检测必须首先进行控制模块的检测。每个控制模块必须执行明确定义的子功能。测试控制模块的目的是确保每个控制模块都可以作为一个模块运行。
第二个测试阶段:集成检测是根据设计方案的软件体系结构,按照某种对策对经过控制模块检测的各个控制模块进行组装,并在整个组成过程中进行必要的检测。
第三个测试阶段:客户将执行食品线上营销推广系统的工程验收。系统测试后,所有控制模块均已根据设计计划组装成详细的食品线上营销推广系统。错误的插槽已被移除,操作接口必须进一步认证成效。
系统软件可以在运行过程中执行其相关功能,可以完成查询,添加,删除,修改等功能,并且运行显示信息都正常,后端管理数据库查询也可以正常工作,数据信息确保一致性和可靠性。
通过对食品线上营销推广系统的研究及设计与开发,食品线上营销推广系统基本开发完毕,并实现了小型的食品线上营销推广系统的基本功能。主要包括用户注册信息管理、用户信息管理、促销活动管理、福利抽奖管理、参加抽奖管理、系统管理、公告信息管理、资源管理、商城管理等模块。但是由于时间仓促及知识的缺陷,所以本系统还有很多不足的地方,比如没有与银行系统挂钩的支付模块,没有安全访问的限制,没有销售报表的打印等多方面的问题,这些都有待进一步的完善。
本课题按软件工程的要求设计与实现了整个系统,即可行性计划、需求分析报告、总体计划设计、总体设计和自动化测试过程。经开发与测试,其功能基础符合要求。该系统软件的关键是探索系统软件的开发环境,编程语言等核心技术,系统软件数据库查询的基本结构以及系统流程图程序模块的详细分析。该系统的创新点就是支持食品的多条件查询和喜好食品的自动推荐。
参考文献
[1]邵基伦,高齐,张绍振等.食品样品制备信息化系统的实施与应用[J].轻工科技,2024,40(01):90-93.
[2]谭光兴,甘景,戚秋晨.基于Java语言的远程数据采集系统设计与实现[J].科技与创新,2024,(01):19-22.DOI:10.15913/j.cnki.kjycx.2024.01.005.
[3]邓芳,古志华,李文莉等.餐饮食品营养标识现状及评价工具系统研究[J].食品安全导刊,2023,(36):157-159.DOI:10.16043/j.cnki.cfs.2023.36.053.
[4]韩前鹏,陈雨华,王星.基于Java的叶片机械自动设计平台研究与开发[J].工业控制计算机,2023,36(12):21-23.
[5]袁琳琳.计算机软件Java编程特点及技术分析[J].数字通信世界,2023,(12):87-89.
[6]D. N B ,L. S B ,Marie E , et al.Monogenetic volcanoes as windows into transcrustal mush: A case study of Slamet and Loyang volcanoes, Central Java[J].Journal of Volcanology and Geothermal Research,2023,444
[7]Luqman H ,Anju A A ,Yoga R P , et al.Microplastic pollution profile in the Indian Ocean of the Southern Java Island, Indonesia[J].Environmental Challenges,2023,13
[8]G. D C .CheckFoV: A Java tool to compute and draw Field of View, visual overlapping and targets coverage[J].Software Impacts,2024,19
[9]Nero D R .How to write reusable Java code[J].InfoWorld.com,2023,
[10]Krill P .JDK 22: The new features in Java 22[J].InfoWorld.com,2023,
[11]宋晓燕,杨芬.Java程序设计语言的分层教学实践[J].电子技术,2023,52(11):182-183.
[12]黄彩金,孙娟娟.从农场到餐桌战略——为了建立公平、健康和环境友好型食品系统[J].中国食品药品监管,2023,(11):118-131+164-166.
[13]罗永迪,陶光灿,杨鸿波.基于文献计量学可视化分析食品安全追溯系统的研究进展[J/OL].食品工业科技,1-17[2024-02-08].https://doi.org/10.13386/j.issn1002-0306.2023060032.
[14]王龙军,王晶,许靖唯.基于Spring Boot与Vue.js的问卷模块在数字阅读推广系统中的设计与实现[J].内蒙古科技与经济,2023,(18):115-118.
[15]朱文龙,杨双双,廉佐政等.一流专业背景下Java EE框架与程序设计课程教学改革[J].高师理科学刊,2023,43(07):74-77+88.
[16]苏婉怡,揣小龙,王煜尧等.基于Java技术的考试系统设计与实现[J].无线互联科技,2023,20(14):75-77.
[17]王鹃,张志杰,杨鸿远.基于解析树的Java Web灰盒模糊测试[J].计算机系统应用,2023,32(09):67-76.DOI:10.15888/j.cnki.csa.009230.
[18]张倩,时庆涛.“新工科”背景下“Java语言程序设计”混合式教学改革与实践[J].吉林广播电视大学学报,2023,(04):85-87+90.
[19]JAVA发布全新“瓜车”FANGO,开启电助力轻量化新时代[J].中国自行车,2023,(04):78-79.
[20]曾青云,韩震宇,沈小龙等.快餐食品自动化计量包装系统的研发[J].科技与创新,2022,(10):143-146.DOI:10.15913/j.cnki.kjycx.2022.10.043.
致谢
时光飞逝,转眼间我在学校的这些年生活即将结束,回顾这几年的学习生活,收获良多,既有幸福也有难过,学校生活的结束对于我来说也是一个新的开始。论文即将完成,在此,我心中有许多想要感谢的人。首先感谢我的导师,不仅在学习研究方面加以指导,也在生活和为人处世上给予帮助。还要感谢授课老师,你们严谨的学术精神和积极向上的工作态度都在激励我的成长和进步。感谢多年来一直生活在一起的室友,谢谢你们多年来的陪伴和照顾。最后,要感谢各位论文评审老师,感谢您们在百忙之中抽空评阅本论文并给出宝贵的意见和建议。
请关注点赞+私信博主,免费领取项目源码
858

被折叠的 条评论
为什么被折叠?



