基于SSM的家教系统的设计与实现
摘 要
信息化社会内需要与之针对性的信息获取途径,但是途径的扩展基本上为人们所努力的方向,由于站在的角度存在偏差,人们经常能够获得不同类型信息,这也是技术最为难以攻克的课题。针对家教系统服务等问题,对家教系统服务进行研究分析,然后开发设计出家教系统服务网以解决问题。
家教系统服务网主要功能模块包括用户管理、家教信息管理、家长信息管理、订单管理、家教老师管理、公告管理、教育动态管理,采取面对对象的开发模式进行软件的开发和硬体的架设,能很好的满足实际使用的需求,完善了对应的软体架设以及程序编码的工作,采取MySQL作为后台数据的主要存储单元,采用SSM技术、MyBatis技术进行业务系统的编码及其开发,实现了本系统的全部功能。本次报告,首先分析了研究的背景、作用、意义,为研究工作的合理性打下了基础。针对家教系统服务网的各项需求以及技术问题进行分析,证明了系统的必要性和技术可行性,然后对设计系统需要使用的技术软件以及设计思想做了基本的介绍,最后来实现家教系统服务网和部署运行使用它。
关键词:家教系统服务;SSM技术;MySQL数据库
Design and implementation of tutoring system based on SSM
Abstract
In the information society, there is a need for targeted information access, but the expansion of access is basically the direction of people's efforts. Due to the deviation of the perspective, people can often obtain different types of information, which is also the most difficult subject for technology to overcome. Aiming at the problems of tutoring system service, this paper studies and analyzes the tutoring system service, and then develops and designs the tutoring system service network to solve the problems.
The main functional modules of the tutor system service network include user management, tutor information management, parent information management, order management, tutor teacher management, announcement management and education dynamic management. The object-oriented development mode is adopted for software development and hardware erection, which can well meet the needs of actual use and improve the corresponding software erection and program coding, MySQL is used as the main storage unit of background data, and SSM technology and mybatis technology are used to code and develop the business system, which realizes all the functions of the system. This report first analyzes the background, function and significance of the research, which lays a foundation for the rationality of the research work. This paper analyzes the various requirements and technical problems of the tutor system service network, proves the necessity and technical feasibility of the system, and then makes a basic introduction to the technical software and design ideas needed to design the system. Finally, it realizes the operation and use of the tutor system service network and departments.
Key words: Tutoring system service; SSM technology; Mysql database
目 录
随着经济的不断发展以及我国人口数量不断的增加,升学压力越来越大,越来越多的家长认识到教育的重要性,为了让自己的孩子有一个美好的人生发展平台,家长越来越认识到家教的重要性。但是由于人际交往的局限,大部分家长没有渠道去寻找自己满意的家教,而对于想做家教的人来说,也没有渠道去寻找这样一个资源。因此,建立一个家教系统服务网,就能够让找家教的家长们和做家教的家长们有一个很好的系统交流平台。
对于孩子的教育,我国的家长是格外注意的。但是那都是一些面对面的进行讲解,向那样的不同等级家教系统服务网建设只处于初级阶段,这种家教系统服务网只是服务一部分区域,因此我们在这方面仍需要不断进行改进与创新。时代技术的不断革新,同时也会牵动那些家教需求的迫切需求。那些研究学家们认为,家教和传统教育模式应该是相互衔接的,包含的内容应该是涉及到个个方面的,例如包括外语,法律,经济学系统网络、管理应用等方面的所有专业。现在的家教还侧重于中高考等的相关应试教育。随着现在终身教育的理念和多元化生活方式的不断深入人心,人们都在不断的利用各种途径来充实自己在各方面的素养。例如知识的填充、艺术的培养等。因为鉴于这种情况的原因,家教这个应用平台将要开设艺术类、建筑类、文学类的相关课程内容,已达到丰富人们业余生活。在我们可以推测的范围内就可以得知这种教育方式必定会受到各个年龄层人们的亲睐。对于中小学的家教系统服务网已经是初出茅庐,这个平台为中小学生提供了基于北大才子网、国家教育e卡通(国家联合培养网)、科大100远程家教网、六一网络家教等多个Internet的家教服务。这些新生的服务网站为学生们提供如学习心得、课件、视频教程、题库一样的辅导任务,方便快捷,满足了大部分家长的需求。但是再完美的网站也会存在相应的不足之处。像网络迟钝、问断式的在线指导、最严重的是垃圾广告的不断出现。由于网站的初创者都是一个独立承担责任的法人,并且都是本着以盈利目的的因此对于家教系统服务网的创建在实行起来也出现了不同的观点。
在教育模式的研究与探讨上,每个国家都是格外重视的。那么我们就来分析印度在利用网络资源上的经典实例,大力发展国外市场是印度当下所进行的教育推行方针,对于语言和优质教育资源的拥有上,印度是具有发言权的,特别是在理科方面,因为对于方面的教育是很少涉及本土文化的。老师在这方面的教育上也是得心应手的,随着国外教育市场的不断需增,在印度工作的高级知识分子和教师抓住了这个时机,充分利用家教系统服务网来进行电子辅导教学,他们的操作方式很简单,就是传输者要有一台带有麦克耳机的电脑就可以进行网络教学了。传输另一端是接受者也是利用同样的设备加上一定的程序就可以在网络上与教师进行电子辅导教学。一套操作简单的设备可以使在印度收入低下层的人才扩充他们的工作时间,这是一种先进的网络教学方式,但是还有一部分人通过面授的方式来实现特定的教学。印度专门的公司会负责为那些优秀的教师介绍相应的家教工作,这些中介公司会主动与那些需要家教服务的国内外人士取得联系。以便开展相应的往来业务。家教系统服务网不仅可以实现老师和学生的实时交互问答,而且还可以利用先进的通讯技术例如扫描仪、数码铅笔等电子设备来及时传递系统给需求方。
本文的主要工作是研究如何将计算机和信息管理进行有机结合,从而利用Java语言以及Mysql数据库技术在Dreamweaver中实现了系统的功能模块,切实的开发出一套贴近¥新闻管理的实际,有效管理¥新闻的系统。
论文结构如下:
第一章绪论:主要对家教系统的开发背景,研究现状,目的,及意义进行了分析。
第二章开发技术及软件:主要把系统开发工具进行介绍,另外讲解开发系统所用到的一些特殊功能技术。
第三章系统分析:主要是对家教统进行需求分析,以及对其数据流程与功能进行分析。
第四章系统设计:主要根据系统需求对系统的设计进行介绍,以及对数据的开发与功能模块设计的过程。
第五章系统实现:本章主要结合系统界面截图,介绍了系统各个功能实现的结果。
第六章系统测试:本章系统进行功能模块的测试,撰写测试用例,确保系统各大功能准确无误。
第七章总结与展望:对整个论文的研究内容进行总结,概括整个论文的特点,指出不足之处,为下步深究指明方向。
超文本传输协议(HTTP)作为协作式与分布式的通信协议,其以万维网交换系统作为前提条件。HTTP为IEIF的国际化标准指标,在制定相关标准与实现内,W3C积极参与其中,同时发挥着不可替代的作用。其能够借助超文本标记语言,将文档在服务器与浏览器之间相互传输。HTML作为构架文档的标记语言,这些文档内将包括有关系统的链接,用户仅需要点击其中一个链接就能够访问多媒体对象与图像,同时获得该链接项所具有的附加系统。
Java是美国sun公司所推出的一款程序设计语言,其能够在多个平台内应用,具有良好兼容性,进而其凭借自身优势在数据中心、个人PC与科技超级计算机等平台内广泛应用,具有目前最为庞大的开发者专业社群。
JDK为美国sun公司为java开发员所推出的一款全新产品,要是没有JDK的情况下,所安装的java程序也就无法运行。
SSM(Spring+SpringMVC+MyBatis)框架集由Spring、MyBatis两个开源框架整合而成(SpringMVC是Spring中的部分内容)。常作为数据源较简单的web项目的框架。
1.6.1 Spring
Spring就像是整个项目中装配bean的大工厂,在配置文件中可以指定使用特定的参数去调用实体类的构造方法来实例化对象。也可以称之为项目中的粘合剂。
Spring的核心思想是IoC(控制反转),即不再需要程序员去显式地`new`一个对象,而是让Spring框架帮你来完成这一切。
1.6.2 SpringMVC
SpringMVC在项目中拦截用户请求,它的核心Servlet即DispatcherServlet承担中介或是前台这样的职责,将用户请求通过HandlerMapping去匹配Controller,Controller就是具体对应请求所执行的操作。SpringMVC相当于SSH框架中struts。
1.6.3 mybatis
mybatis是对jdbc的封装,它让数据库底层操作变的透明。mybatis的操作都是围绕一个sqlSessionFactory实例展开的。mybatis通过配置文件关联到各实体类的Mapper文件,Mapper文件中配置了每个类对数据库所需进行的sql语句映射。在每次与数据库交互时,通过sqlSessionFactory拿到一个sqlSession,再执行sql命令。
页面发送请求给控制器,控制器调用业务层处理逻辑,逻辑层向持久层发送请求,持久层与数据库交互,后将结果返回给业务层,业务层将处理逻辑发送给控制器,控制器再调用视图展现数据。
Vue.js是一套构建用户界面的渐进式框架。与其他重量级框架不同的是,Vue采用自底向上增量开发的设计。Vue 的核心库只关注视图层,并且非常容易学习,非常容易与其它库或已有项目整合。另一方面,Vue 完全有能力驱动采用单文件组件和Vue生态系统支持的库开发的复杂单页应用。
Vue.js 的目标是通过尽可能简单的 API 实现响应的数据绑定和组合的视图组件。
Vue.js 自身不是一个全能框架——它只聚焦于视图层。因此它非常容易学习,非常容易与其它库或已有项目整合。另一方面,在与相关工具和支持库一起使用时,Vue.js 也能驱动复杂的单页应用。
-
- Mysql数据库
Mysql 经过多次的更新,功能层面已经非常的丰富和完善了,从Mysql4版本到5版本进行了比较大的更新,在商业的实际使用中取得了很好的实际应用效果。最新版本的Mysql支持对信息的压缩,同时还能进行加密能更好的满足对信息安全性的需求。同时经过系统的多次更新,数据库自身的镜像功能也得到了很大的增强,运行的流畅度和易用性方面有了不小的进步,驱动的使用和创建也更加的高效快捷。最大的变动还是进行了空间信息的显示优化,能更加方便的在应用地图上进行坐标的标注和运算。强大的备份功能也保证了用户使用的过程会更加安心,同时支持的Office特性还支持用户的自行安装和使用。在信息的显示形式上也进行了不小的更新,增加了两个非常使用的显示区,一个是信息区,对表格和文字进行了分类处理,界面的显示更加清爽和具体。第二是仪表的信息控件,能在仪表信息区进行信息的显示,同时还能进行多个信息的比对,为用户的实际使用带来了很大的便捷。
针对本文中设计的学生社团管理系统在实际的实现过程中,最终选择Mysql数据库的主要原因在于在企业的应用系统应用及开发的过程中会存在大量的数据库比较频繁的操作,而且数据的安全性要求也是非常的高。综合这些因素,最终选择安全性系数比较高的Mysql来对学生社团管理系统后台数据进行存储操作。
技术性方面,采用当前主流的SSM技术进行系统主体框架的搭建,前台使用JavaScript,实现前台页面的设计与美观调整,以上技术,均由本人经过系统学习,并且都是在课程设计中实践过的,可以使得开发更加便捷和系统。从技术角度看,这个系统是完全可以实现的。
实用性方面,本次设计的主要任务是在家教系统服务网内家教老师查看、家教学生查看、网站公告、留言反馈等,符合当前潮流的发展。从用户角度出发,同时也考虑系统运营成本和人力资源,采用网络上的便捷方式,实现线上业务,使得业务流程更系统,也更方便用户的体验,比较实用。
经济性方面,由于本课题中设计的家教系统服务网的主要目的是为了能够更加方便及快捷的进行系统的查询管理及检索服务,也就是能够可以直接投入使用的系统化软件。系统的主要成本主要是集中在对使用数据后期继续维护及其管理更新这个操作上。但是一旦系统投入到实际的运行及使用之后就能够很好的提高系统查询检索的效率,同时也需要有效的保证查询者的系统方面的安全性,同时这个家教系统服务网所带来的实际应用方面的价值是远远的超过了实际系统进行开发与维护方面的成本,因此,从经济上来说开发这个软件是可行的。
家教系统服务网的功能主要分为前台用户根据自己的需求进行注册登录,浏览家教老师系统并对选中的家教老师进行查询操作。后台系统管理员因职责的不同,分为普通管理员和超级管理员,管理员主要对注册用户,教育动态,查看简历,家教信息、学员需求进行处理。
用户用例图如下所示。

图3-1 用户用例图
管理员用例图如下所示。

图3-1 管理员用例图
前台用户可分为未注册用户需求和已注册用户需求。
未注册用户的功能如下:
注册账号:用户填写个人信息,并验证手机号码。
浏览公告数据:用户可以浏览主页面的公告数据来了解系统的最新公告数据。
浏览家教老师:用户可以根据家教老师类型浏览家教老师的系统,并选中某个家教老师查看详情,例如:主题、家教类别、上课时间、上课地点、报酬薪资、联系电话、发布人等。
浏览家教学生:用户可以根据家教学生类型浏览家教学生的系统,并选中某个家教学生查看详情,例如:姓名、性别、学历、专业、照片、个人履历、可上课时间、薪资报酬、联系电话、发布人等。
已注册用户的功能如下:
登录:根据账号密码进行登录操作。
教育动态:用户可以通过筛选、排序、文章热门列表。
家教信息发布:对个人家教信息进行维护,添加、删除、修改系统。
学员需求发布:对个人需求系统进行维护,添加、删除、修改系统。
查看简历:(查看有哪些家教老师投递了哪一个需求,查看老师个人信息,可以点击同意或者否决表示是否需要这个老师做家教,同意后有对老师的评价按钮且不可修改需求)。
-
-
- 后台管理员功能
-
管理员功能如下:
修改密码:管理员可以随时修改自己进入系统的登录密码,以保证系统的安全性。
家教信息管理:对家教老师系统进行维护,审核、删除、修改系统。
家长信息管理:对家长信息进行维护,审核、删除、修改系统。
公告管理:发布、删除相关的公告数据系统。
用户管理:可以查看注册用户的系统,并对其进行管理。
首先主要考虑的是系统功能软件,在具体设计的环节上,是不是能够较好的满足各类用户的基本功能需求,如果不能较好的满足用户需求,那么这个系统的存在是没有价值的。软件系统的非功能性求分析,从7个方面展开,一个是性能分析,针对系统;一个是安全分析,针对系统,一个是完整度分析,针对系统,一个是可维护分析,针对系统,一个是可扩展性分析,针对系统,一个是适应业务的性能分析。面对家教系统服务网存在的性能、安全、扩展、完整度等7个方面性能综合比对分析后发现,需要相应的非功能性需求分析。
安全性对每一个系统来说都是非常重要的。安全性很好的系统可以保护企业的系统和用户的系统不被窃取。提高系统的安全性不仅是对用户的负责,更是对企业的负责。尤其针对于家教系统服务网来说,必须要有很好的安全性来保障整个系统。
系统具有对使用者有权限控制,针对角色的不通限制使用者的权限,以此来确保系统的安全性。
数据库中的数据是从外界输入的,当数据的输入时,由于种种原因,输入的数据会无效,或者是脏数据。因此,怎样保证输入的数据符合规定,成为了数据库系统,尤其是多用户的关系数据库系统首要关注的问题。
因此,在写入数据库时,要保证数据完整性、正确性和一致性。
对系统的数据流进行分析,系统的使用者分为二类,一般用户,管理员。系统主要对界面系统传送,登录系统的验证,注册系统的接收,用户各种操作的响应做处理。
系统顶层数据流图如下图所示。

图3-2 顶层数据流图
要判断用户是是什么身份,是根据登录的数据来判断后,跳转到对应的功能界面。在系统的内部用户就可以对数据进行操作,数据库中心就可以接收到系统传输的有效数据流来对数据sql语句进行对应操作。
系统底层数据流图如下图所示。
图3-3 底层数据流图
系统可以分为前台和后台两部分,每一种操作后系统都返回操作结果。前台和后台的数据连接主要通过数据库,既分别对数据库做不同的操作。
本家教系统服务网的架构设计主要分为可以3层,主要有Web层,业务层,Model层。其中web层还包括View层和Controller层,Model层包括元数据扩展层和数据访问层。
系统架构如下图所示。

图4-1 系统架构
家教系统服务网总体分为前台用户模块和后台管理员模块。
两个模块表现上是分别独立存在,但是访问的数据库是一样的。每一个模块的功能都是根据先前完成的需求分析,并查阅相关资料后整理制作的。
综上所述,系统功能结构图如下图所示。

图4-2 系统功能结构图
登录模块:登录模块是进入系统的入口,所有用户必须登录后才能访问系统。登录需要输入用户名和密码,如果多次尝试登录需要输入验证码。登录时需要选择用户的角色,是一般用户还是管理员登录等。登录成功后,会通过数据库获取用户的权限,并跳转至用户的主页面。
家教信息模块:对个人家教信息进行维护,添加、删除、修改系统。
家教下单模块:展示的是家长预约老师的信息(获取家教老师信息、上课的年级科目、上课时间几点到几点-整小时、单价、总价、上课地点、学生的姓名电话地址备注信息、可查看家教老师是同意或者否决,同意后有对老师的评价按钮且不可修改学生信息及备注)。
教育动态:用户可以通过筛选、排序、文章热门列表。
学员需求发布:对个人需求系统进行维护,添加、删除、修改系统。
从前面可以分析到数据库中最重要的是家教老师系统,用户系统,家教学生系统。分析可以得到如下数据描述:
平台用户:用于记录用户的各种系统,包括用户名、密码、头像、姓名、性别、年龄、联系手机、邮箱等数据项。
家教老师:存放给家教老师的内容,包括性别、年龄、身份证、专业、毕业学校、民族、学历、身份证图片、毕业证图片等数据项。
家教信息:存储各种家教信息系统。包括省、市、区、年级、科目、单价、家教老师、封面、点击数等数据项。
学员需求:存储各种学员需求系统。包括省、市、区、性别、手机号、年龄、身份证、邮箱、民族、学生姓名、头像、要求、辅导时间、单价、目前情况、辅导地址、家长账号、年级、点击数等数据项。
明星老师:存储各种明星老师数据内容。包括家教老师姓名、性别、年龄、毕业学校、专业、民族、学历、头像、简介、家教同意数量、家长同意单数等数据项。
根据前面的数据流程图,结合系统的功能模块设计,设计出符合系统的各系统实体。
系统ER图如下图所示。

图4-3 系统ER图
家教系统服务网所拥有的数据表有以下:用户系统表,家教老师系统表,家教学生系统表,留言表。
由于数据表较多,只展示系统主要数据表,如下表所示。
tutor表:
| 名称 | 类型 | 长度 | 不是null | 主键 | 注释 |
| tutor_id | int | 11 | 是 | 是 | 家教老师ID |
| tutor | varchar | 64 | 否 | 否 | 家教老师 |
| gender | varchar | 64 | 否 | 否 | 性别 |
| age | varchar | 64 | 否 | 否 | 年龄 |
| id | varchar | 255 | 否 | 否 | 身份证 |
| major | varchar | 64 | 否 | 否 | 专业 |
| graduation_school | varchar | 64 | 否 | 否 | 毕业学校 |
| nation | varchar | 64 | 否 | 否 | 民族 |
| education | varchar | 64 | 否 | 否 | 学历 |
| id_card_picture | varchar | 255 | 否 | 否 | 身份证图片 |
| diploma_picture | varchar | 255 | 否 | 否 | 毕业证图片 |
| examine_state | varchar | 16 | 是 | 否 | 审核状态 |
| recommend | int | 11 | 是 | 否 | 智能推荐 |
| user_id | int | 11 | 是 | 否 | 用户ID |
| create_time | datetime | 0 | 是 | 否 | 创建时间 |
| update_time | timestamp | 0 | 是 | 否 | 更新时间 |
parent表:
| 名称 | 类型 | 长度 | 不是null | 主键 | 注释 | |
| parent_id | int | 11 | 是 | 是 | 家长ID | |
| parent_account | varchar | 64 | 否 | 否 | 家长账号 | |
| examine_state | varchar | 16 | 是 | 否 | 审核状态 | |
| recommend | int | 11 | 是 | 否 | 智能推荐 | |
| user_id | int | 11 | 是 | 否 | 用户ID | |
| create_time | datetime | 0 | 是 | 否 | 创建时间 | |
| update_time | timestamp | 0 | 是 | 否 | 更新时间 | |
star_teacher表:
| 名称 | 类型 | 长度 | 不是null | 主键 | 注释 |
| star_teacher_id | int | 11 | 是 | 是 | 明星老师ID |
| name_of_tutor | varchar | 64 | 否 | 否 | 家教老师姓名 |
| gender | varchar | 64 | 否 | 否 | 性别 |
| age | varchar | 64 | 否 | 否 | 年龄 |
| graduation_school | varchar | 64 | 否 | 否 | 毕业学校 |
| major | varchar | 64 | 否 | 否 | 专业 |
| nation | varchar | 64 | 否 | 否 | 民族 |
| education | varchar | 64 | 否 | 否 | 学历 |
| head_portrait | varchar | 255 | 否 | 否 | 头像 |
| brief_introduction | varchar | 64 | 否 | 否 | 简介 |
| number_of_tutor_consent | int | 11 | 否 | 否 | 家教同意数量 |
| parents_agree_to_an_odd_number | int | 11 | 否 | 否 | 家长同意单数 |
| examine_state | varchar | 16 | 是 | 否 | 审核状态 |
| recommend | int | 11 | 是 | 否 | 智能推荐 |
| create_time | datetime | 0 | 是 | 否 | 创建时间 |
| update_time | timestamp | 0 | 是 | 否 | 更新时间 |
student_needs表:
| 名称 | 类型 | 长度 | 不是null | 主键 | 注释 |
| student_needs_id | int | 11 | 是 | 是 | 学员需求ID |
| province | varchar | 64 | 否 | 否 | 省 |
| city | varchar | 64 | 否 | 否 | 市 |
| area | varchar | 64 | 否 | 否 | 区 |
| gender | varchar | 64 | 否 | 否 | 性别 |
| phone_number | varchar | 16 | 否 | 否 | 手机号 |
| age | varchar | 64 | 否 | 否 | 年龄 |
| id | varchar | 255 | 否 | 否 | 身份证 |
| mailbox | varchar | 125 | 否 | 否 | 邮箱 |
| nation | varchar | 64 | 否 | 否 | 民族 |
| student_name | varchar | 64 | 否 | 否 | 学生姓名 |
| head_portrait | varchar | 255 | 否 | 否 | 头像 |
| requirement | varchar | 64 | 否 | 否 | 要求 |
| coaching_time | datetime | 0 | 否 | 否 | 辅导时间 |
| unit_price | int | 11 | 否 | 否 | 单价 |
| subject | varchar | 64 | 否 | 否 | 科目 |
| current_situation | text | 0 | 否 | 否 | 目前情况 |
| counseling_address | varchar | 64 | 否 | 否 | 辅导地址 |
| parent_account | int | 11 | 否 | 否 | 家长账号 |
| grade | varchar | 64 | 否 | 否 | 年级 |
| hits | int | 11 | 是 | 否 | 点击数 |
| examine_state | varchar | 16 | 是 | 否 | 审核状态 |
| recommend | int | 11 | 是 | 否 | 智能推荐 |
| create_time | datetime | 0 | 是 | 否 | 创建时间 |
| update_time | timestamp | 0 | 是 | 否 | 更新时间 |
tutor_information表:
| 名称 | 类型 | 长度 | 不是null | 主键 | 注释 | |
| tutor_information_id | int | 11 | 是 | 是 | 家教信息ID | |
| province | varchar | 64 | 否 | 否 | 省 | |
| city | varchar | 64 | 否 | 否 | 市 | |
| area | varchar | 64 | 否 | 否 | 区 | |
| grade | varchar | 64 | 否 | 否 | 年级 | |
| subject | varchar | 64 | 否 | 否 | 科目 | |
| unit_price | int | 11 | 否 | 否 | 单价 | |
| tutor | int | 11 | 否 | 否 | 家教老师 | |
| cover | varchar | 255 | 否 | 否 | 封面 | |
| hits | int | 11 | 是 | 否 | 点击数 | |
| examine_state | varchar | 16 | 是 | 否 | 审核状态 | |
| recommend | int | 11 | 是 | 否 | 智能推荐 | |
| create_time | datetime | 0 | 是 | 否 | 创建时间 | |
| update_time | timestamp | 0 | 是 | 否 | 更新时间 | |
tutor_order表:
| 名称 | 类型 | 长度 | 不是null | 主键 | 注释 |
| _id | int | 11 | 是 | 是 | 家教下单ID |
| province | varchar | 64 | 否 | 否 | 省 |
| city | varchar | 64 | 否 | 否 | 市 |
| area | varchar | 64 | 否 | 否 | 区 |
| student_name | varchar | 64 | 否 | 否 | 学生姓名 |
| gender | varchar | 64 | 否 | 否 | 性别 |
| unit_price | varchar | 64 | 否 | 否 | 单价 |
| start_time | datetime | 0 | 否 | 否 | 开始时间 |
| end_time | datetime | 0 | 否 | 否 | 结束时间 |
| total_length | int | 11 | 否 | 否 | 总长 |
| total | varchar | 64 | 否 | 否 | 总计 |
| parent_account | int | 11 | 否 | 否 | 家长账号 |
| tutor | int | 11 | 否 | 否 | 家教老师 |
| examine_state | varchar | 16 | 是 | 否 | 审核状态 |
| examine_reply | varchar | 255 | 否 | 否 | 审核回复 |
| pay_state | varchar | 16 | 是 | 否 | 支付状态 |
| pay_type | varchar | 16 | 否 | 否 | 支付类型 |
| recommend | int | 11 | 是 | 否 | 智能推荐 |
| create_time | datetime | 0 | 是 | 否 | 创建时间 |
| update_time | timestamp | 0 | 是 | 否 | 更新时间 |
从web系统查询数据的根本的查询步骤:
Step1: 进行检查并且过滤来自用户的系统数据;
Step2: 成立起一个合适的数据库进行连接;
Step3: 进行查询系统数据库;
Step4: 获得查询的结构;
Step5: 把查询的结果展示给用户。
Step6: 数据库连接断开,释放资源。
数据库连接原理如下图所示。

图5-1数据库连接原理
-
- 注册模块的实现
用户在填写数据的时候必须与注册页面上的验证相匹配否则会注册失败,注册页面的表单验证是通过JavaScript进行验证的,用户名的长度必须在6到18之间,邮箱必须带有@符号,密码和密码确认必须相同,你输入的密码,系统会根据你输入密码的强度给出指定的值,电话号码和身份证号码必须要求输入格式与生活相符合,当你前台验证通过的时候你点击注册,表单会将你输入的值通过name值传递给后台并保存到数据库中。
用户注册流程图如下图所示。

图5-1用户注册流程图
用户注册界面如下图所示。

图5-2用户注册界面
用户注册的关键代码为:
* 注册
* @return
*/
@PostMapping("register")
public Map<String, Object> signUp(HttpServletRequest request) throws IOException {
// 查询用户
Map<String, String> query = new HashMap<>();
Map<String,Object> map = service.readBody(request.getReader());
query.put("username",String.valueOf(map.get("username")));
List list = service.selectBaseList(service.select(query, new HashMap<>()));
if (list.size()>0){
return error(30000, "用户已存在");
}
map.put("password",service.encryption(String.valueOf(map.get("password"))));
service.insert(map);
return success(1);
}
public Map<String,Object> readBody(BufferedReader reader){
BufferedReader br = null;
StringBuilder sb = new StringBuilder("");
try{
br = reader;
String str;
while ((str = br.readLine()) != null){
sb.append(str);
}
br.close();
String json = sb.toString();
return JSONObject.parseObject(json, Map.class);
}catch (IOException e){
e.printStackTrace();
}finally{
if (null != br){
try{
br.close();
}catch (IOException e){
e.printStackTrace();
}
}
}
return null;
}
public void insert(Map<String,Object> body){
E entity = JSON.parseObject(JSON.toJSONString(body),eClass);
baseMapper.insert(entity);
log.info("[{}] - 插入操作:{}",entity);
}
-
- 登录模块的实现
主要由两部分组成,登录前的登录界面以及登录后的用户功能界面。登录界面,要求用户输入用户名和密码,当用户名和密码其中一个输入为空时,给出提示“用户名,密码不能为空”。获取用户名和密码后到数据库中查找,如果用户名存在,以及对应的密码正确,则登录成功,否则登录失败。登录失败后给出提示,并把焦点停在文本框中。登录成功后将该次会话的全局变量username设置为用户名。登录成功后进入会员的功能模块,主要有会员基本系统修改,已经发布家教老师系统管理,发布系统,和退出功能。退出功能是清除全局变量username的值,并跳回到首页。
登录流程图如下图所示。

图5-4登录流程图
用户登录界面如下图所示。

图5-5用户登录界面
用户登录的关键代码如下:
* 登录
* @param data
* @param httpServletRequest
* @return
*/
@PostMapping("login")
public Map<String, Object> login(@RequestBody Map<String, String> data, HttpServletRequest httpServletRequest) {
log.info("[执行登录接口]");
String username = data.get("username");
String email = data.get("email");
String phone = data.get("phone");
String password = data.get("password");
List resultList = null;
QueryWrapper wrapper = new QueryWrapper<User>();
Map<String, String> map = new HashMap<>();
if(username != null && "".equals(username) == false){
map.put("username", username);
resultList = service.selectBaseList(service.select(map, new HashMap<>()));
}
else if(email != null && "".equals(email) == false){
map.put("email", email);
resultList = service.selectBaseList(service.select(map, new HashMap<>()));
}
else if(phone != null && "".equals(phone) == false){
map.put("phone", phone);
resultList = service.selectBaseList(service.select(map, new HashMap<>()));
}else{
return error(30000, "账号或密码不能为空");
}
if (resultList == null || password == null) {
return error(30000, "账号或密码不能为空");
}
//判断是否有这个用户
if (resultList.size()<=0){
return error(30000,"用户不存在");
}
User byUsername = (User) resultList.get(0);
Map<String, String> groupMap = new HashMap<>();
groupMap.put("name",byUsername.getUserGroup());
List groupList = userGroupService.selectBaseList(userGroupService.select(groupMap, new HashMap<>()));
if (groupList.size()<1){
return error(30000,"用户组不存在");
}
UserGroup userGroup = (UserGroup) groupList.get(0);
//查询用户审核状态
if (!StringUtils.isEmpty(userGroup.getSourceTable())){
String res = service.selectExamineState(userGroup.getSourceTable(),byUsername.getUserId());
if (res==null){
return error(30000,"用户不存在");
}
if (!res.equals("已通过")){
return error(30000,"该用户审核未通过");
}
}
//查询用户状态
if (byUsername.getState()!=1){
return error(30000,"用户非可用状态,不能登录");
}
String md5password = service.encryption(password);
if (byUsername.getPassword().equals(md5password)) {
// 存储Token到数据库
AccessToken accessToken = new AccessToken();
accessToken.setToken(UUID.randomUUID().toString().replaceAll("-", ""));
accessToken.setUser_id(byUsername.getUserId());
tokenService.save(accessToken);
// 返回用户信息
JSONObject user = JSONObject.parseObject(JSONObject.toJSONString(byUsername));
user.put("token", accessToken.getToken());
JSONObject ret = new JSONObject();
ret.put("obj",user);
return success(ret);
} else {
return error(30000, "账号或密码不正确");
}
}
public String select(Map<String,String> query,Map<String,String> config){
StringBuffer sql = new StringBuffer("select ");
sql.append(config.get(FindConfig.FIELD) == null || "".equals(config.get(FindConfig.FIELD)) ? "*" : config.get(FindConfig.FIELD)).append(" ");
sql.append("from ").append("`").append(table).append("`").append(toWhereSql(query, "0".equals(config.get(FindConfig.LIKE))));
if (config.get(FindConfig.GROUP_BY) != null && !"".equals(config.get(FindConfig.GROUP_BY))){
sql.append("group by ").append(config.get(FindConfig.GROUP_BY)).append(" ");
}
if (config.get(FindConfig.ORDER_BY) != null && !"".equals(config.get(FindConfig.ORDER_BY))){
sql.append("order by ").append(config.get(FindConfig.ORDER_BY)).append(" ");
}
if (config.get(FindConfig.PAGE) != null && !"".equals(config.get(FindConfig.PAGE))){
int page = config.get(FindConfig.PAGE) != null && !"".equals(config.get(FindConfig.PAGE)) ? Integer.parseInt(config.get(FindConfig.PAGE)) : 1;
int limit = config.get(FindConfig.SIZE) != null && !"".equals(config.get(FindConfig.SIZE)) ? Integer.parseInt(config.get(FindConfig.SIZE)) : 10;
sql.append(" limit ").append( (page-1)*limit ).append(" , ").append(limit);
}
log.info("[{}] - 查询操作,sql: {}",table,sql);
return sql.toString();
}
public List selectBaseList(String select) {
List<Map<String,Object>> mapList = baseMapper.selectBaseList(select);
List<E> list = new ArrayList<>();
for (Map<String,Object> map:mapList) {
list.add(JSON.parseObject(JSON.toJSONString(map),eClass));
}
return list;
}
-
- 用户资料修改模块的实现
用户登录/注册成功之后可以修改自己的基本系统。修改页面的表单中每一个input的name值都要与实体类中的参数相匹配,在用户点击修改页面的时候,如果改后用户名与数据库里面重复了,页面会提示该用户名已经存在了,否则通过Id来查询用户,并将用户的系统修改为表单提交的数据。
如果公告栏数据的系统需要修改,管理员可以通过查询公告栏数据的基本系统来查询公告栏数据,查询公告栏数据是通过ajax技术来进行查询的,需要传递公告栏数据的标题、编号等参数然后在返回到该页面中,可以选中要修改或删除的那条系统,如果选中了超过一条数据,页面会挑一个窗口提醒只能选择一条数,如果没有选中数据会挑一个窗口题型必须选择一条数据。当选择确认修改的时候,后台会根据传过来的id到数据库查询,并将结果返回到修改页面中,可以在修改页面中修改刚刚选中的系统当点击确认的时候from表单会将修改的数据提交到后台并保存到数据库中,就是说如果提交的数据数据库中存在就修改,否则就保存。
公告栏数据展示界面如下图所示。

图5-6公告数据展示界面
公告栏添加界面如下图所示。

图5-7公告栏添加界面
公告栏数据发布的关键代码如下:
@Transactional
public Map<String, Object> add(HttpServletRequest request) throws IOException {
service.insert(service.readBody(request.getReader()));
return success(1);
}
@Transactional
public Map<String, Object> addMap(Map<String,Object> map){
service.insert(map);
return success(1);
}
-
- 教育动态列表模块的实现
教育动态列表功能主要指对其封面图、标签、来源、分类、来源地址、标题、点击数等一些描述、查看评论数据添加、删除、查询操作。
教育动态列表管理流程图如下所示。

图5-10教育动态列表流程图
教育动态列表界面如下所示。

图5-1教育动态列表界面
此页面的关键是编写家教老师系统,包括家教老师昵称,用户名、家教老师、性别、年龄、身份证、专业、毕业学校、民族、学历等。单击提交按钮以完成系统的添加。如果未写入完整的家教老师系统,例如,如果未写入家教老师编号,系统将给出相应的错误提示,并且无法成功输入。数据以概念的形式以onsubmit =“return checkForm()”的形式写入以进行检查,checkForm()函数是一种用于写入数据的不同类型的校对方法,是不是为空也是经过form表单中的onsubmit=”return checkForm()来检查。
管理员点击左侧菜单“家教老师系统管理”,页面跳转到家教老师系统管理外观,调用后台家教老师查询所有家教老师系统。并将系统密封到数据集合List,绑定到请求对象,然后页面跳转到相应的SSM页面,显示出家教老师系统,单击删除按钮完成家教老师系统的删除。
家教老师管理流程图如下图所示。

图5-17家教老师管理流程图
家教老师管理界面如下图所示。

图5-18家教老师管理界面
家教老师发布的关键代码如下:
public Map<String, Object> getList(HttpServletRequest request) {
Map<String, Object> map = service.selectToPage(service.readQuery(request), service.readConfig(request));
return success(map);
}
-
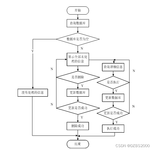
- 家教信息管理模块的实现
根据需求,需要对家教信息进行添加、删除或修改详情系统。删除或修改家教信息时,系统根据家教信息的状态判定为可删除状态下,才会给出删除和修改链接,点击删除链接按钮时,请求到达后台,还会先查询家教老师状态再次做出判定能否删除。点击修改链接按钮时,会跳转到修改系统的页面,重新填写好数据后,数据提交到后台会对数据库中相应的记录做出修改。
添加家教信息时,会给出数据填写的页面,该页面根据填写好的家教信息同样会事先发送Ajax请求查询编号是否已存在,数据填写好之后提交到后台,会调用相关服务在数据库中插入记录。
家教信息管理流程图如下图所示。

图5-20家教学生管理流程图
家教信息管理页面设计效果如下图所示。

图5-21家教信息管理界面
家教信息发布的关键代码如下:
@RequestMapping(value = "/del")
@Transactional
public Map<String, Object> del(HttpServletRequest request) {
service.delete(service.readQuery(request), service.readConfig(request));
return success(1);
}
-
- 学员需求模块的实现
学员需求功能主要指对其科目、性别、手机号、年龄、身份证邮箱、民族等一些描述、查看评论数据添加、删除、查询操作。
学员需求界面如下图所示。

图5-20学员需求界面
-
- 家长下单模块的实现
家长下单功能主要指对其省、市、区、年级、科目、单价等一些描述、查看评论数据添加、删除、查询操作。
家长下单界面如下图所示。

图5-21家长下单界面
对任何系统而言,测试都是必不可少的环节,测试可以发现系统存在的很多问题,所有的软件上线之前,都应该进行充足的测试之后才能保证上线后不会Bug频发,或者是功能不满足需求等问题的发生。下面分别从单元测试,功能测试和用例测试来对系统进行测试以保证系统的稳定性和可靠性。
下表是系统登录功能测试用例,检测了用户名和密码的不同的输入情况,观察系统的响应情况。得出该功能达到了设计目标。
表6-1 系统登录功能测试用例
| 功能描述 | 用于系统登录 | |
| 测试目的 | 检测登录时的合法性检查 | |
| 测试数据以及操作 | 预期结果 | 实际结果 |
| 输入的用户名和密码带有非法字符 | 提示用户名或者密码错误 | 与预期结果一致 |
| 输入的用户名或者密码为空 | 提示用户名或者密码错误 | 与预期结果一致 |
| 输入的用户名和密码不存在 | 提示用户名或者密码错误 | 与预期结果一致 |
| 输入正确的用户名和密码 | 登录成功 | 与预期结果一致 |
下表是注册功能测试用例,检测了各种数据的输入情况,观察系统的响应情况。得出该功能达到了设计目标。
表6-2 注册功能测试用例
| 功能描述 | 用于用户注册 | |
| 测试目的 | 检测用户注册时的合法性检查 | |
| 测试数据以及操作 | 预期结果 | 实际结果 |
| 输入的手机号不合法 | 提示请输入正确的手机号码 | 与预期结果一致 |
| 输入的字段为空 | 提示必填项不能为空 | 与预期结果一致 |
| 输入的密码少于6位 | 提示密码必须为6-12位 | 与预期结果一致 |
| 输入的密码大于12位 | 提示密码必须为6-12位 | 与预期结果一致 |
下表是家教老师管理功能的测试用例,检测了家教老师管理中对家教老师系统的增加,删除,修改,查询操作是否成功运行。观察系统的响应情况,得出该功能也达到了设计目标,系统运行正确。
前置条件;用户登录系统。
表6-3 家教老师管理的测试用例
| 功能描述 | 用于家教老师管理 | |
| 测试目的 | 检测家教老师管理时的各种操作的运行情况 | |
| 测试数据以及操作 | 预期结果 | 实际结果 |
| 点击添加家教老师,必填项合法输入,点击保存 | 提示添加成功 | 与预期结果一致 |
| 点击添加家教老师,必填项输入不合法,点击保存 | 提示必填项不能为空 | 与预期结果一致 |
| 点击修改家教老师,必填项修改为空,点击保存 | 提示必填项不能为空 | 与预期结果一致 |
| 点击修改家教老师,必填项输入不合法,点击保存 | 提示必填项不能为空 | 与预期结果一致 |
| 点击删除家教老师,选择家教老师删除 | 提示删除成功 | 与预期结果一致 |
| 点击搜索家教老师,输入存在的家教老师名 | 查找出家教老师 | 与预期结果一致 |
| 点击搜索家教老师,输入不存在的家教老师名 | 不显示家教老师 | 与预期结果一致 |
下表是家教信息管理功能的测试用例,检测了家教信息管理中对家教信息系统的增加,删除,修改,查询操作是否成功运行。观察系统的响应情况,得出该功能也达到了设计目标,系统运行正确。
前置条件;用户登录系统。
表6-4 家教信息管理的测试用例
| 功能描述 | 用于家教信息管理 | |
| 测试目的 | 检测家教信息管理时的各种操作的运行情况 | |
| 测试数据以及操作 | 预期结果 | 实际结果 |
| 点击添加家教信息,必填项合法输入,点击保存 | 提示添加成功 | 与预期结果一致 |
| 点击添加家教信息,必填项输入不合法,点击保存 | 提示必填项不能为空 | 与预期结果一致 |
| 点击修改家教信息,必填项修改为空,点击保存 | 提示必填项不能为空 | 与预期结果一致 |
| 点击修改家教信息,必填项输入不合法,点击保存 | 提示必填项不能为空 | 与预期结果一致 |
| 点击删除家教信息,选择家教学生删除 | 提示删除成功 | 与预期结果一致 |
| 点击搜索家教信息,输入存在的家教信息 | 查找出家教信息 | 与预期结果一致 |
| 点击搜索家教学生,输入不存在的家教信息 | 不显示家教信息 | 与预期结果一致 |
使用阿里云PTS(Performance Testing Service)性能测试服务对线上系统进行压力测试。线上服务器环境为:1核心CPU,1G内存,1Mbps公网带宽,Centos7.0操作系统。
压测过程中使用了2台并发机器,每台机器20个用户并发,对系统主页,登录,数据查询和数据维护等模块进行并发访问,测试结果是有40个用户并发时,数据管理相关页面的响应时间甚至达到了7s,通过查看服务器出网流量发现已经达到1381kb/s,可以看出服务器的带宽已经达到峰值,如果系统使用5Mbps的带宽,系统的响应时间和TPS将会大大增加。在整个测试的过程中,CPU的使用率占用仅8%,也提现出带宽瓶颈对系统的影响非常严重。
随着计算机互联网技术的迅猛发展,各行各业都已经实现采用计算机相关技术对日益放大的数据进行管理。该课题是家教系统服务网为核心展开的,主要是为了实现公告系统化管理和用户¥在线预订家教学生的需求。
家教系统服务网的开发是以SSM编程语言作为基础,在SSM平台上完成编码工作,系统整体为B/S架构,数据库系统使用MySQL。文中详细分析了家教系统服务网的研究背景、研究目的和意义、开发工具和相关技术以及系统需求、系统详细设计和系统测试等等一系列内容。系统实现了家教系统服务网所需的一些基本功能,并通过测试对这些实现的功能进行了完善,进而提高了系统整体的实用性。整个系统的开发过程中大量使用了SSM相关的知识以及前端开发使用的IDEA和JavaScript等,同时涉及到了很多开源框架和组件,例如后台系统中运用的MVC架构、Freemarker模板引擎等,前端运用的UI框架等。
系统投入运行时,各功能均运行正常。系统的每个界面的操作符合常规逻辑,对使用者来说操作简单,界面友好。整个系统的各个功能设计合理,体现了人性化。
但是由于自己在系统开发过程中对一些用到的相关知识和技术掌握不够牢固,再加上自身开发经验欠缺,因此系统在有些方面的功能还不够完善,考虑的不够全面,因此整个系统还有待日后逐步完善。
参考文献
[1]刘中洁.抖音短视频在旅游营销中的融合探讨[J].山西青年,2021(03):151-152.
[1]刘茜颖,张艳红.基于SSM的线上教育系统设计与实现[J].电脑编程技巧与维护,2021(10):45-46+59.
[2]王江霖,黄彩霞,樊旭龙.基于SSM框架的网络资源共享平台的研究与实现[J].电脑知识与技术,2021,17(28):76-78.
[3]许跃颖.基于敏捷开发的SSM Web应用开发措施[J].电子制作,2021(16):45-46+22.
[4]Mingwu Li,Shobhit Jain,George Haller. Reduction of finite-element models to low-dimensional spectral submanifolds in systems with internal resonance[C]//Abstracts of the 8th International Conference on Vibration Engineering (ICVE 2021).,2021:329.DOI:10.26914/c.cnkihy.2021.017195.
[5]Thomas Thurnher,George Haller,Shobhit Jain. Computation of Steady-State Response in Parametrically Forced Nonlinear Mechanical Systems Using Spectral Submanifolds[C]//Abstracts of the 8th International Conference on Vibration Engineering (ICVE 2021).,2021:331.DOI:10.26914/c.cnkihy.2021.017197.
[6]任洁品,许益帆,刘娟.大学生家教APP的设计与实现[J].福建电脑,2020,36(08):116-118.
[7]李浩,毕学慧,匡少华,徐强生,刘坤哲,刘华明.基于O2O模式的家教App设计与实现[J].电脑知识与技术,2019,15(36):68-71+73.
[8]来学伟.基于移动端的家教系统的设计与开发[J].内江科技,2019,40(11):58+16.
[9]王建,杨瑞.基于java的大学生家教管理系统设计[J].信息通信,2019(10):89-90.
[10]张丽,李楠.易家教信息管理系统设计与实现[J].信息技术与信息化,2019(04):35-36+39.
[11]陈柯宇. 基于Android和JavaEE的家教平台设计与实现[D].电子科技大学,2018.
[12]李明志. 中小学社区教育平台的设计与实现[D].厦门大学,2018.
[13]项永明. 大学生家教系统的设计与实现[D].吉林学,2018.
[14]周彤,张力,马亚蓉,周莎.浅谈大学生家教现状及家教管理对其发展的影响[J].教育教学论坛,2018(39):159-160.
[15]张伟. 基于Web的学生课下学习系统的设计与实现[D].河北师范大学,2018.
[16]张红艳. 家教网的设计与实现[D].吉林大学,2018.
致谢
本次设计历时3个月。在这个毕业设计中,它离不开指导教师的指导,使事情基本顺利。指导老师无论是在毕业设计历经中,还是在论文做完中都给了了我特别大的助益。另1个方面,教师认真负责的工作姿态,谨慎的教学精神厚重的理论水准都使我获益匪浅。他勤恳谨慎的教学育人学习姿态也给我留下了特别特别深的感觉。我从老师那里学到了很多东西。在理论和实践中,我的技能得到了特别大的提高。在此,特向教师表示由衷的感激。
经过对该毕业设计的全部研究和开发,我的系统研发经历了从需求分析到实现详细功能,再到最终测试和维护的特殊进展。让我对系统研发有了更深层次的认识。如今我的动手本领单独处理疑惑的本领也获取到了特别大的演练学习增多,这是这次毕业设计最好的收获。
最后,在整个系统开发过程中,我周围的同学和朋友给了我很多意见,所以我很快就确认了系统的商业思想。在次,我由衷的向他们表示感激。
点赞+收藏+关注 → 私信领取本源代码、数据库
本文详细介绍了基于SSM技术构建的家教系统服务网,涵盖用户管理、家教信息管理等关键模块,强调了系统设计的面向对象原则和MySQL数据库的应用。重点讨论了系统的可行性、功能需求、安全性需求,以及数据库设计和实现过程。通过测试确保了系统的稳定性和实用性。
2364

被折叠的 条评论
为什么被折叠?



