目录
问题描述:
给定一个链表的头节点 head ,返回链表开始入环的第一个节点。 如果链表无环,则返回 null。
如果链表中有某个节点,可以通过连续跟踪 next 指针再次到达,则链表中存在环。 为了表示给定链表中的环,评测系统内部使用整数 pos 来表示链表尾连接到链表中的位置(索引从 0 开始)。如果 pos 是 -1,则在该链表中没有环。注意:pos 不作为参数进行传递,仅仅是为了标识链表的实际情况。
不允许修改 链表。
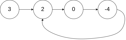
示例 1:

输入:head = [3,2,0,-4], pos = 1 输出:返回索引为 1 的链表节点 解释:链表中有一个环,其尾部连接到第二个节点。
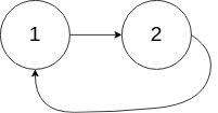
示例 2:

输入:head = [1,2], pos = 0 输出:返回索引为 0 的链表节点 解释:链表中有一个环,其尾部连接到第一个节点。
示例 3:

输入:head = [1], pos = -1 输出:返回 null 解释:链表中没有环。
实现代码:
双指针法
class Solution {
public:
ListNode *detectCycle(ListNode *head)
{
ListNode* fast=head;//快指针
ListNode* slow=head;//慢指针
while(fast!=NULL&&fast->next!=NULL)
{
slow=slow->next;//慢指针每次走一步
fast=fast->next->next;//快指针每次走两步
if(slow==fast)
{
ListNode* index1=fast;//记录相遇位置
ListNode* index2=head;
//当快慢指针相遇时,两指针从head和相遇点同时出发,直至相遇,找到换的入口
while(index1!=index2)
{
index1=index1->next;
index2=index2->next;
}
return index1;
}
}
return NULL;//若无环
}
};
下面给出原理解释:

slow指针一次走一步,fast指针一次走两步。
其中n为fast指针在圈里转的圈数,根据算的结果可以看出,当n=1时,z=x,也就是说fast与slow相遇点到环的入口的长度等于x的长度,所以我们只要在头结点和相遇点定义index1,index2两个指针,一起移动,当其相遇的时候,就移动到了环的入口结点,直接返回即可。当然n不一定等于1,根据最后公式,只不过index2会在环里转几圈,最后还是会与index1在环入口相遇。
至于fast指针与slow指针为什么一定会相遇,而不是fast指针跳过slow指针呢?因为fast指针相对于slow指针一次是走一步,相当于物理里的相对运动吧,既然是走一步,那必然不会出现跳过的情况。
至于为什么slow指针不会在环里转超过一圈呢?因为fast指针一次走的是slow指针一次走的两倍,当slow走完一圈时,fast必然会走完两圈,所以在此之前两指针一定会相遇。
本文介绍了一种使用双指针法检测链表中环的高效算法。通过快慢指针的移动,不仅可以判断链表是否存在环,还能定位环的入口节点。

被折叠的 条评论
为什么被折叠?



