🔥 博客主页: 我要成为C++领域大神
🎥 系列专栏:【C++核心编程】 【计算机网络】 【Linux编程】 【操作系统】
❤️ 感谢大家点赞👍收藏⭐评论✍️本博客致力于分享知识,欢迎大家共同学习和交流。

给你二叉树的根结点 root ,请你将它展开为一个单链表:
- 展开后的单链表应该同样使用 TreeNode ,其中 right 子指针指向链表中下一个结点,而左子指针始终为 null 。
- 展开后的单链表应该与二叉树 先序遍历 顺序相同。
示例 1:
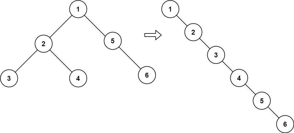
输入:root = [1,2,5,3,4,null,6]
输出:[1,null,2,null,3,null,4,null,5,null,6]
示例 2:
输入:root = []
输出:[]
示例 3:
输入:root = [0]
输出:[0]
前序遍历
思路
由于将树转化为链表,链表中节点的先后顺序与前序遍历的顺序一样,所以我们可以考虑使用前序遍历。在前序遍历过程中,将节点入vector的操作改成构建新树的右孩子即可。
代码实现
/**
* Definition for a binary tree node.
* struct TreeNode {
* int val;
* TreeNode *left;
* TreeNode *right;
* TreeNode() : val(0), left(nullptr), right(nullptr) {}
* TreeNode(int x) : val(x), left(nullptr), right(nullptr) {}
* TreeNode(int x, TreeNode *left, TreeNode *right) : val(x), left(left),
* right(right) {}
* };
*/
class Solution {
public:
TreeNode* cur;
void flatten(TreeNode* root) {
if (root == nullptr)
return;
TreeNode dummy(-1); // 使用虚拟头节点来简化操作
cur = &dummy;
preorderTraversal(root);
root->left = nullptr; // 确保根节点的左指针为 nullptr
root->right = dummy.right->right; // 将根节点的右指针指向展开后的链表
}
void preorderTraversal(TreeNode* root) {
if (root == nullptr)
return;
stack<TreeNode*> st;
st.push(root);
while (!st.empty()) {
TreeNode* node = st.top();
st.pop();
cur->right = node;
cur = cur->right;
if (node->right) {
st.push(node->right);
}
if (node->left) {
st.push(node->left);
}
// 设置当前节点的左指针为 nullptr 以确保形成链表
cur->left = nullptr;
}
}
};
334

被折叠的 条评论
为什么被折叠?



