🔥博客主页: 我要成为C++领域大神
🎥系列专栏:【C++核心编程】 【计算机网络】 【Linux编程】 【操作系统】
❤️感谢大家点赞👍收藏⭐评论✍️
本博客致力于分享知识,欢迎大家共同学习和交流。

给你一个整数数组 nums ,其中元素已经按 升序 排列,请你将其转换为一棵 平衡 二叉搜索树。
示例 1:

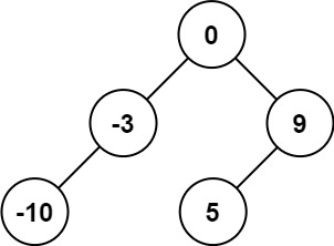
输入:nums = [-10,-3,0,5,9]
输出:[0,-3,9,-10,null,5]
解释:[0,-10,5,null,-3,null,9] 也将被视为正确答案:
示例 2:

输入:nums = [1,3]
输出:[3,1]
解释:[1,null,3] 和 [3,1] 都是高度平衡二叉搜索树。
递归构建树
思路
因为题目给我们的数组是严格有序的,所以可以取中间元素作为根节点,然后根节点的左孩子可以是数组左半部分中间位置元素,右孩子可以是数组右半部分中间位置元素,很容易想到二分。在递归构建树的同时,每次更新数组左右下标。
递归三部曲:
确定函数参数和返回值:参数是vector,起始位置和终止位置。返回值root节点的指针。
确定递归的终止条件:数组起始位置大于终止位置
确定单层递归的逻辑:
为根节点申请空间,构建左子树,构建右子树。
代码实现
/**
* Definition for a binary tree node.
* struct TreeNode {
* int val;
* TreeNode *left;
* TreeNode *right;
* TreeNode() : val(0), left(nullptr), right(nullptr) {}
* TreeNode(int x) : val(x), left(nullptr), right(nullptr) {}
* TreeNode(int x, TreeNode *left, TreeNode *right) : val(x), left(left),
* right(right) {}
* };
*/
class Solution {
public:
TreeNode* sortedArrayToBST(vector<int>& nums) {
if (nums.empty())
return nullptr;
return dfs(nums, 0, nums.size());
}
TreeNode* dfs(vector<int>& nums, int start, int end) {
if (start >= end)
return nullptr;
int mid = start + (end - start) / 2;
TreeNode* root = new TreeNode(nums[mid]);
root->left = dfs(nums, start, mid);
root->right = dfs(nums, mid + 1, end);
return root;
}
};
418

被折叠的 条评论
为什么被折叠?



