作者 | Jianping Li 编辑 | 3D视觉之心
点击下方卡片,关注“自动驾驶之心”公众号
戳我-> 领取自动驾驶近15个方向学习路线
本文只做学术分享,如有侵权,联系删文
局部平面假设的影响
从移动测绘系统获得的点云数据通常存在两种误差来源:姿态误差和激光雷达测量误差。大多数现有的SLAM系统利用一些顺序配准方案(如ICP、NDT、特征配准)将激光扫描合并在一起,但增量处理会导致姿态估计中的累积误差。姿态误差可以通过一些LiDAR BA方法来纠正。至于激光雷达测量误差,主要由测距噪声引起,可以通过在3D空间中使用点云平滑或基于地图的优化来纠正。
直观上LiDAR BA和点云平滑过程可以互相受益:
即使初始姿态不完美,通过在3D空间中应用平滑核,仍然可以识别出噪声点云的局部形状先验。形状先验可以作为BA中的一个更通用的因素,而不是平面特征。
相比仅在局部3D空间中进行点云平滑,调整后的姿态保证了点云的全局准确性。
近期有工作从初始噪声点云中提取平面特征,然后利用这些平面约束进行束调整。但它们对平面特征的依赖可能在缺乏结构特征的复杂环境中导致性能下降和发散。点云平滑和基于地图的优化在提高点云质量方面注重空间一致性,而不考虑传感器姿态,这与仅优化传感器姿态的现有LiDAR BA方法不同。由于点云平滑方法仅维护点云的局部一致性,平滑过程中不会修正姿态漂移,特别是在室内建图应用中,无法保证全局准确性。
如图1所示,为了解决现有激光雷达束调整方法在复杂环境中的挑战,PSS-BA采取的核心思想是:即使初始姿态不完美,仍然可以通过在初始噪声点云上应用多尺度平滑核来获得形状先验。然后逐步使用多尺度平滑核进行姿态校正。具体创新点是:
利用表面平滑核构建BA残差,在复杂环境中比基于平面约束的现有BA方法提供更鲁棒和丰富的约束。
引入了逐步平滑策略,加速了束调整的收敛并提高了精度,相比设置固定尺度的方法效果更佳。
实现了精细的姿态和参数化表面,可直接用于高质量点云重建和如BIM等3D建模应用。
(大拇指往上滑,点击最上方的卡片关注我,整个操作只会花你 1.328 秒,然后带走未来、所有、免费的干货,万一有内容对您有帮助呢~)
如何做空间平滑
整个系统如图2所示。将嘈杂的LiDAR帧作为输入,并设置预设的大平滑核宽度 γ,空间平滑模块将在粗略尺度上平滑嘈杂的点云并获取多项式系数。然后,姿态调整模块利用提取的多项式系数来校正LiDAR帧。如果校正变化小于一个阈值,则可以视为收敛。否则,平滑核宽度 γ 将减小到更细的尺度 γγ 再次进行空间平滑。迭代平滑和调整策略保证了LiDAR BA的收敛性和准确性。
LiDAR 因子提取的空间平滑
平滑核采样
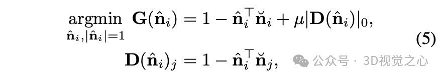
使用 γ 的体素大小均匀采样输入的嘈杂点云,将剩余的点 被视为平滑核。对于嘈杂点云中的每个点,使用主成分分析(PCA)计算初始点法线。对于给定的平滑核 ,将其距离不大于 γ 的邻近点定义为 。平滑核 和邻域 的初始点法线分别定义为和。在连续的三维环境假设下,局部空间的法线变化很小。因此,我们可以通过求解约束法线变化的目标函数 来获得平滑核的最佳法线估计,其中约束条件为对邻域法线的变化:
一旦得到了平滑核 的最佳法线 ,就可通过构建三个正交轴来建立 的局部切线框架 :
如图3所示,这三个轴使得 成为从 到 的点变换矩阵。
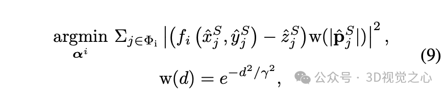
加权曲面拟合
对于平滑核 ,它的邻域点 被投影到平滑核的切空间 中:
设平滑核的参数为 αααα,平滑后的坐标 为,其中 是多项式函数,计算如下:
现在的核心问题是使用投影的嘈杂点 来稳健地确定最佳参数α。使用最小二乘估计来考虑高斯径向权重函数来找到最佳参数α:
平滑点和关联因子
通过用 替换中的每个点的 ,可以获得平滑后的点云。此外,和之间的差异被视为姿态误差引起的误差。因此,如果PSS-BA仍未收敛,将与关联起来,并将其用于后续的姿态调整。
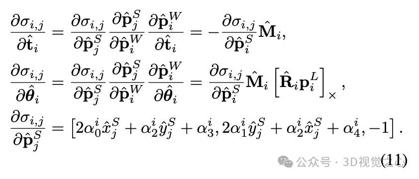
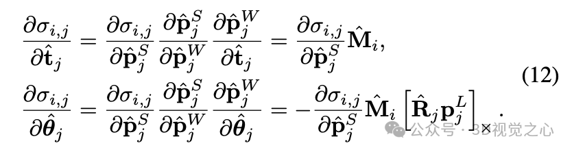
使用多项式表面约束进行姿态调整
多项式残差的雅可比
与拟合的多项式曲面之间的差被视为误差σ,其写作如下:
对于第个姿态,σ的雅可比矩阵可以使用链式法则推导得到如下形式:
同样的,对于第个姿态:
姿态矫正
最后将所有的多项式残差组合起来,使用最小二乘估计来校正姿态,具体如下:
如果优化后的范数变化小于阈值,则提出的PSS-BA算法将终止。否则,PSS-BA算法将减小核函数的大小并继续下一次迭代。
实验效果
总结一下
现有的解决方案主要依赖于检测平面特征,但在具有较少结构几何或存在较大初始姿态误差的复杂环境中可能不足够。PSS-BA目标是在复杂环境中从LiDAR数据中准确构建点云,通过组合空间平滑和姿态调整模块来克服这些挑战,确保局部一致性和全局准确性,从而得到精确的姿态和高质量的点云重建结果。缺陷是由于内存限制,PSS-BA只能同时处理几百帧数据,无法在大规模地图应用中的应用。
参考
[1] PSS-BA: LiDAR Bundle Adjustment with Progressive Spatial Smoothing
投稿作者为『自动驾驶之心知识星球』特邀嘉宾,欢迎加入交流!
① 全网独家视频课程
BEV感知、BEV模型部署、BEV目标跟踪、毫米波雷达视觉融合、多传感器标定、多传感器融合、多模态3D目标检测、车道线检测、轨迹预测、在线高精地图、世界模型、点云3D目标检测、目标跟踪、Occupancy、cuda与TensorRT模型部署、大模型与自动驾驶、Nerf、语义分割、自动驾驶仿真、传感器部署、决策规划、轨迹预测等多个方向学习视频(扫码即可学习)

② 国内首个自动驾驶学习社区
国内最大最专业,近3000人的交流社区,已得到大多数自动驾驶公司的认可!涉及30+自动驾驶技术栈学习路线,从0到一带你入门自动驾驶感知(2D/3D检测、语义分割、车道线、BEV感知、Occupancy、多传感器融合、多传感器标定、目标跟踪)、自动驾驶定位建图(SLAM、高精地图、局部在线地图)、自动驾驶规划控制/轨迹预测等领域技术方案、大模型、端到端等,更有行业动态和岗位发布!欢迎扫描下方二维码,加入自动驾驶之心知识星球,这是一个真正有干货的地方,与领域大佬交流入门、学习、工作、跳槽上的各类难题,日常分享论文+代码+视频
③【自动驾驶之心】技术交流群
自动驾驶之心是首个自动驾驶开发者社区,聚焦感知、定位、融合、规控、标定、端到端、仿真、产品经理、自动驾驶开发、自动标注与数据闭环多个方向,目前近60+技术交流群,欢迎加入!扫码添加汽车人助理微信邀请入群,备注:学校/公司+方向+昵称(快速入群方式)

④【自动驾驶之心】全平台矩阵

2476

被折叠的 条评论
为什么被折叠?



