给定一个链表,判断链表中是否有环。
为了表示给定链表中的环,我们使用整数 pos 来表示链表尾连接到链表中的位置(索引从 0 开始)。 如果 pos 是 -1,则在该链表中没有环。
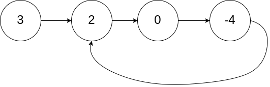
示例 1:
输入:head = [3,2,0,-4], pos = 1
输出:true
解释:链表中有一个环,其尾部连接到第二个节点。

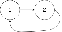
示例 2:
输入:head = [1,2], pos = 0
输出:true
解释:链表中有一个环,其尾部连接到第一个节点。

示例 3:

输入:head = [1], pos = -1
输出:false
解释:链表中没有环。
思路:采用快慢指针来进行解决,快的指针的移动速度为慢的指针的两倍,如果最终快的指针追上了慢的指针,指向同一个地址,就说明有环,若是块的指针指向为空,就说明没有环,代码如下:
/**
* Definition for singly-linked list.
* struct ListNode {
* int val;
* ListNode *next;
* ListNode(int x) : val(x), next(NULL) {}
* };
*/
class Solution {
public:
bool hasCycle(ListNode *head) {
if(head == NULL){
return false;
}
ListNode* fast = head;
ListNode* slow = head;
while(fast){
slow = slow->next;
fast = fast->next;
if(!fast){
return false;
}
fast = fast->next;
if(fast == slow){
return true;
}
}
return false;
}
};
本文介绍了一种利用快慢指针检测链表中是否存在环的高效算法。通过实例解析,展示了当快指针追上慢指针即表示链表有环的原理。此方法适用于计算机科学中的数据结构与算法领域。
639

被折叠的 条评论
为什么被折叠?



