编写一个程序,找到两个单链表相交的起始节点。
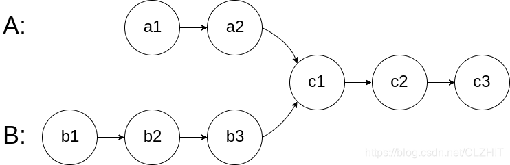
如下面的两个链表:

在节点 c1 开始相交。
示例 1:

输入:intersectVal = 8, listA = [4,1,8,4,5], listB = [5,0,1,8,4,5], skipA = 2, skipB = 3
输出:Reference of the node with value = 8
输入解释:相交节点的值为 8 (注意,如果两个列表相交则不能为 0)。从各自的表头开始算起,链表 A 为 [4,1,8,4,5],链表 B 为 [5,0,1,8,4,5]。在 A 中,相交节点前有 2 个节点;在 B 中,相交节点前有 3 个节点。
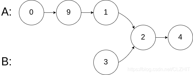
示例 2:

输入:intersectVal = 2, listA = [0,9,1,2,4], listB = [3,2,4], skipA = 3, skipB = 1
输出:Reference of the node with value = 2
输入解释:相交节点的值为 2 (注意,如果两个列表相交则不能为 0)。从各自的表头开始算起,链表 A 为 [0,9,1,2,4],链表 B 为 [3,2,4]。在 A 中,相交节点前有 3 个节点;在 B 中,相交节点前有 1 个节点。
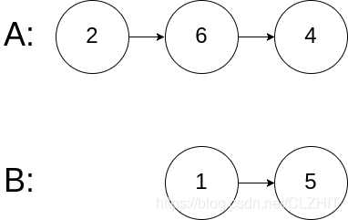
示例 3:

输入:intersectVal = 0, listA = [2,6,4], listB = [1,5], skipA = 3, skipB = 2
输出:null
输入解释:从各自的表头开始算起,链表 A 为 [2,6,4],链表 B 为 [1,5]。由于这两个链表不相交,所以 intersectVal 必须为 0,而 skipA 和 skipB 可以是任意值。
解释:这两个链表不相交,因此返回 null。
注意:
如果两个链表没有交点,返回 null.
在返回结果后,两个链表仍须保持原有的结构。
可假定整个链表结构中没有循环。
程序尽量满足 O(n) 时间复杂度,且仅用 O(1) 内存。
思路1,使用set求交集
1、遍历链表A,将A中节点对应的指针地址,插入set
2、遍历链表B,将B中节点对应的指针(地址),在set中查找,发现在set中的第一个节点地址,即是两个链表的交点
class Solution {
public:
ListNode* getIntersectionNode(ListNode* headA, ListNode* headB) {
std::set<ListNode*> node_set;
while (headA) {
node_set.insert(headA);
headA = headA->next; //遍历链表A
}
while (headB) {
if (node_set.find(headB) != node_set.end()) {
return headB; //当在headB中找到第一个出现在node_set中的节点
}
headB = headB->next;
}
return NULL;
}
};
思路2,空间复杂度O(1)
步骤1:计算headA链表长度,计算headB链表长度,较长的链表多出来的长度
步骤2:将较长链表的指针移动到和较短链表指针对其的位置
步骤3:headA和headB同时移动,当两个指针指向同一个节点时就找到了
int get_list_length(ListNode* head) {
int len = 0;
while (head) { //遍历链表,计算链表长度
++len;
head = head->next;
}
return len;
}
ListNode* forward_long_list(int long_len, int short_len, ListNode* head) {
int delta = long_len - short_len;
while (head && delta--) {
head = head->next;
}
return head;
}
class Solution {
public:
ListNode* getIntersectionNode(ListNode* headA, ListNode* headB) {
int List_A_len = get_list_length(headA);
int List_B_len = get_list_length(headB);
if (List_A_len > List_B_len) {
headA = forward_long_list(List_A_len, List_B_len, headA);
//如果链表A长,移动headA到对应位置
}
else {
headB = forward_long_list(List_B_len, List_A_len, headB);
//如果链表B长,移动headB到对应位置
}
while (headA && headB) {
if (headA == headB) {
return headA;
}
headA = headA->next;
headB = headB->next;
}
return NULL;
}
};
本文介绍了一种高效算法,用于确定两个单链表是否相交,并找到它们的第一个公共节点。通过两种方法实现:一是利用集合存储节点地址进行查找,二是通过调整指针位置在O(1)空间复杂度下解决问题。
522

被折叠的 条评论
为什么被折叠?



