随着信息技术的迅速发展,校园管理系统的数字化转型已成为高校管理的重要趋势。本文旨在设计并实现一个功能完善、操作简便且用户友好的校园日常管理系统,主要服务于学生、教师和管理员等不同用户角色,实现包括用户注册、登录、系统用户管理教室信息管理、教室申请管理、课程分类管理、课程信息管理、已修课程管理、考试信息管理、学生考试管理、学生成绩管理、在线申请、系统管理、通知公告管理、以及资源管理等核心功能,基本完成整个校园日常管理业务流程,能够很好地满足不同用户需求。
本系统选择Java作为开发语言,基于Spring Boot框架构建后端业务逻辑,结合MySQL数据库储存和管理数据,采用前后端分离的设计理念,实现高效的功能模块划分和良好的用户体验,保证系统的快速迭代更新和长期稳定运行。研究过程中,遵循了需求分析、系统设计、编码实现和测试等方法,确保系统的稳定性和可用性。本校园日常管理系统的研究与开发不仅提高了校园管理的效率,也为后续的系统扩展和功能优化提供了良好的基础,具有重要的实际应用价值。
关键词:校园日常管理系统;Spring Boot框架;Java语言;信息管理系统;校园信息化
Abstract
With the rapid development of information technology, the digital transformation of campus management systems has become an important trend in university management. This article aims to design and implement a comprehensive, easy-to-use, and user-friendly campus daily management system, mainly serving different user roles such as students, teachers, and administrators. The system includes user registration, login, system user management, classroom information management, classroom application management, course classification management, course information management, completed course management, exam information management, student exam management, student score management, online application, system management, notification and announcement management, and resource management. The core functions include user registration, login, system user management, classroom information management, course application management, course information management, completed exam information management, student score management, online application, system management, notification and announcement management, and resource management. It basically completes the entire campus daily management business process and can well meet the needs of different users.
This system chooses Java as the development language, builds backend business logic based on the Spring Boot framework, and combines MySQL database to store and manage data. It adopts the design concept of front-end and back-end separation to achieve efficient functional module division and good user experience, ensuring rapid iteration and long-term stable operation of the system. During the research process, methods such as requirement analysis, system design, coding implementation, and testing were followed to ensure the stability and availability of the system. The research and development of this campus daily management system not only improves the efficiency of campus management, but also provides a good foundation for subsequent system expansion and functional optimization, and has important practical application value.
Keywords: Campus daily management system; Spring Boot framework; Java language; mis; Campus informatization.
目 录
随着信息技术的迅速发展,教育领域的管理模式也在不断演变。传统的校园管理方式往往依赖于人工操作,存在着效率低下、信息不对称和资源浪费等问题。尤其是在学生人数逐年增加、课程设置日益复杂的背景下,学校在教室管理、课程安排、考试组织等方面面临着巨大的挑战[1]。为了应对这些挑战,许多高校开始探索信息化管理的解决方案,以提升管理效率和服务质量。因此,引入现代化技术开发一款综合性校园管理系统显得尤为重要。通过信息化手段,学校可以实现对各类信息的集中管理,以有效提升管理效率,减少人力成本,优化资源配置。这一系统的实施,不仅是对传统管理模式的有力补充,更是推动教育管理现代化的重要举措。
-
- 研究意义
本研究的意义在于通过构建一个基于Spring Boot的校园日常管理系统,探索信息技术在教育管理中的应用。该系统的部署与实施能够提高校园日常管理的效率和透明度,减少人工操作带来的错误和延误[2]。通过信息化手段,学校可以实现对教室、课程、考试等信息的实时管理,确保各类信息的准确性和及时性,从而提升管理效率和质量。借助本系统,可以为师生提供了更为便捷的服务。学生可以通过系统轻松搜索和浏览教室、课程和考试等信息,实现在线包括教室、选课、调停等在线申请操作,查询自己的已修课程、考试成绩等信息,教师则可以方便地管理课程和考试信息,跟踪学生已修课程及课程学习进度,便捷地批改试卷,录入和发布成绩[3]。这种便捷的服务不仅提升了用户体验,也增强了师生对学校管理的满意度。此外,本研究还具有重要的理论和实践价值。通过对校园管理系统的设计与实现,能够为后续相关系统的开发和优化提供理论基础和实践经验,推动校园建设的信息化、数据化发展。同时,研究过程中积累的经验和教训,也为其他高校在信息化管理方面的探索提供了借鉴。
在国内,随着教育信息化的推进,校园管理系统的研究和应用逐渐增多。许多高校开始探索基于信息技术的管理解决方案,以提升管理效率和服务质量。研究主要集中在系统的功能设计、技术实现和用户体验等方面。例如,提出基于云计算的校园管理系统,通过云平台实现资源的共享和管理的高效化。此外,国内研究也关注系统的安全性和数据隐私问题,提出相应的解决方案。然而,国内的研究仍存在一些不足之处。许多系统的功能相对单一,缺乏综合性和智能化的设计[4]。同时,部分高校在系统实施过程中,面临着技术支持不足和用户培训不到位的问题,影响了系统的实际应用效果。因此,进一步探索综合性、智能化的校园管理系统,仍然是国内研究的一个重要方向。
国外方面,校园管理系统的研究和应用相对成熟,许多高校已经实现了信息化管理。国外的研究主要集中在系统的集成性和智能化方面。例如,采用基于大数据和人工智能的管理系统,通过数据分析和预测模型,实现对学生学习情况的实时监控和干预。此外,国外的研究还注重用户体验,许多系统在界面设计和功能设置上,充分考虑了师生的实际需求[5]。国外的研究也面临一些挑战。随着信息技术的快速发展,如何保持系统的更新和升级,确保其适应不断变化的管理需求,成为一个重要课题。此外,数据隐私和安全问题在国外也引起了广泛关注,许多研究者致力于探索有效的解决方案,以保护用户的个人信息。
总体来看,国内外在校园管理系统的研究上各有特色,未来的研究可以借鉴彼此的经验,推动校园管理系统的进一步发展。
本文共分为七章,章节内容安排如下:
第一章:前言,主要介绍校园日常管理系统领域研究的背景和意义,概述研究的现状。
第二章:关键技术,主要探讨和说明实现校园日常管理系统的关键技术。
第三章:系统分析,主要从校园日常管理系统的可行性、功能、性能等方面进行分析,为后续系统设计提供理论支持。
第四章:系统设计,主要对校园日常管理系统功能模块、数据库进行功能设计。
第五章:系统实现,主要介绍了校园日常管理系统各个用户的功能、系统界面的实现。
第六章:系统测试,主要对校园日常管理系统进行测试,验证功能完整性、稳定性和安全性,评估系统在实际运行中的性能表现。
第七章:结束语。总结全文研究内容,提出对校园日常管理系统领域未来发展的展望和建议,指出研究的不足和可优化之处,为相关领域的进一步探索提供参考。
Java是一种跨平台的编程语言,广泛用于开发各种类型的应用程序,包括Web应用、移动应用和大型软件系统。在校园日常管理系统中,Java通常用于后端开发,提供强大的处理能力和稳定性。同时Java是一种面向对象的编程语言,支持封装、继承和多态等特性,使代码更易于维护和重用。还拥有丰富的标准库和第三方框架,如Spring、Hibernate等,可以大大提高开发效率。
-
- MySQL数据库
MySQL是一种流行的开源关系型数据库管理系统,用于存储和管理数据。在校园日常管理系统中,MySQL可以用于数据存储、数据查询和数据管理等方面,用户可以免费使用和修改源代码,为平台提供可靠和高性能的数据库支持。MySQL支持多种存储引擎,如InnoDB和MyISAM,可以根据不同的应用场景选择合适的存储引擎,以提高性能;提供了多种数据安全机制,如用户权限管理、数据加密和备份恢复等,确保数据的安全性。
Spring Boot是一个用于构建微服务的Java框架,简化了Spring应用程序的开发和部署过程。Spring Boot通过自动配置和约定优于配置的理念,简化了Spring应用程序的开发过程,使开发者可以更快地构建和部署应用程序;拥有丰富的生态系统,如Spring Cloud、Spring Security等,可以满足各种企业级应用的需求[6]。在校园日常管理系统中,Spring Boot可以帮助开发团队快速搭建后端服务,并实现各种功能模块的集成和管理[7]。
B/S模式(Browser/Server模式)是一种网络应用架构,其中浏览器(Browser)作为客户端与服务器(Server)进行通信。这种模式使用户可以通过普通的Web浏览器访问应用程序,而无需安装额外的客户端软件。用户通过浏览器发送请求,服务器接收并处理这些请求,然后将结果返回给浏览器显示给用户。在校园日常管理系统中,Spring Boot结合B/S模式的优势包括跨平台的兼容性,用户可以在不同操作系统和设备上访问应用程序。此外,维护和部署也更为简便,并且能够实现较高的安全性,因为服务器端控制了应用程序和数据的访问权限[8]。
从技术角度来看,Spring Boot作为一种轻量级、快速构建的Java框架,能够提高开发效率,降低系统的复杂程度,易于维护和升级。同时,MySQL作为关系型数据库,能够支持平台数据的存储与管理,保障系统的稳定性和高效性。因此,本系统具有技术可行性。
从经济角度来看,基于Spring Boot搭建校园日常管理系统的投入成本相对较低,因为Spring Boot本身是一个免费、开源的框架,可以节省开发成本。同时,使用MySQL作为数据库也具有成本效益高的优势。因此,本系统具有经济可行性。
-
-
- 操作可行性
-
从操作角度来看,Spring Boot的简洁性和高度集成的特点使得系统的部署和运行相对简单,容易维护和管理的同时,能够提供一个界面直观友好和操作简单高效的系统,能满足用户的各项要求,方便用户快速上手使用。因此,本系统具有操作可行性。
本校园日常管理系统设计分为两个主要用户角色:学生用户、教师用户和管理员。以下是对每个角色的功能需求的详细描述。
学生用户角色用例如下图所示。

-
-
-
-
-
- 学生用户用例图
-
-
-
-
系统前台学生用户具体功能说明如下所示。
- 注册登录:提供注册和登录系统的功能,学生用户可以通过注册拥有系统账户,注册成功后可使用账号+密码登录系统前台。
- 首页:提供系统搜索功能和系统功能导航栏,展示平台的轮播图、最新动态、热门信息、推荐信息等内容。
- 通知公告:提供系统相关的通知公告信息,保证学生用户及时了解平台动态。
- 校园资讯:提供校园资讯的相关新闻、文章展示和热门资讯推荐,让学生用户快速获取最新资讯,支持点赞、收藏、评论校园资讯。
- 教室信息:提供教室信息展示,支持关键字、排序搜索,学生用户可以浏览教室信息,并点赞、收藏和评论教室信息,详情页提供申请使用功能。
- 课程信息:提供课程信息展示,支持关键字、排序搜索,学生用户可以浏览课程信息,并点赞、收藏和评论课程信息,详情页提供选课申请和调停申请功能。
- 考试信息:提供考试信息展示,支持关键字、排序搜索,学生用户可以浏览考试信息,并点赞、收藏和评论考试信息,可在详情页下载考试文件,提供提交试卷功能。
- 我的账户:提供管理个人资料功能,学生用户可修改自己的账户信息和密码信息。
- 个人中心:提供个人首页、教室申请、选课申请、调停申请、已修课程、学生考试、学生成绩、收藏等子菜单功能链接,学生用户可根据需求对其进行管理。
教师用户角色用例如下图所示。

-
-
-
-
-
- 教师用户用例图
-
-
-
-
系统后台管理教师用户具体功能说明如下所示。
- 注册登录:提供注册和登录系统的功能,教师用户可以在系统后台通过注册拥有系统账户,注册成功后可使用账号+密码登录系统后台,进行管理。
- 后台首页:教师用户登录系统后台的起始页,主要提供系统重要信息概览。
- 课程信息管理:教师用户可管理自己的课程信息的发布、删除、更新等操作,提供搜索功能,支持管控和查看评论内容。
- 已修课程管理:教师用户可搜索和浏览自己的已修课程信息。
- 考试信息管理:教师用户可管理自己的考试信息的发布、删除、更新等操作,提供搜索功能,可上传考试文件,支持管控和查看评论内容。
- 学生考试管理:教师用户可管理自己的学生考试信息,包括查询、删除学生考试,提供录入成绩操作(下载学生上传的试卷,进行批改),支持更新学生成绩的试卷分数及批改描述等内容。
- 学生成绩管理:教师用户可管理自己的学生成绩信息,包括查询、删除学生成绩,
- 在线申请:教师用户可管理选课申请、调停申请等的在线申请信息,包括查询、审核、删除在线申请信息。
管理员角色用例如下图所示。

-
-
-
-
-
- 管理员用例图
-
-
-
-
系统后台管理管理员具体功能说明如下所示。
- 登录:管理员可直接使用账号密码登录系统后台,进行管理,可对自己的个人信息和密码信息进行修改。
- 后台首页:管理员登录系统后台的起始页,主要提供系统重要信息概览。
- 系统用户:管理员可管理系统的所有系统用户信息,包括学生用户、教师用户、管理员账号等,支持用户权限管理和角色设置,可增改删查和审核系统用户信息。
- 教室信息管理:管理员可管理所有教室信息的发布、删除、更新等操作,提供搜索功能,支持管控和查看评论内容。
- 教室申请管理:管理员可管理所有教室申请信息,包括查询、删除、审核教室申请,支持更新审核状态,编辑审核回复。
- 课程分类管理:管理员可管理课程分类信息,包括新增、编辑、删除课程分类,提供搜索功能。
- 课程信息管理:管理员可管理所有课程信息的发布、删除、更新等操作,提供搜索功能,支持管控和查看评论内容。
- 已修课程管理:管理员可管理所有已修课程信息,包括查询、删除已修课程。
- 考试信息管理:管理员可管理所有考试信息的发布、删除、更新等操作,提供搜索功能,支持管控和查看评论内容。
- 学生考试管理:管理员可管理所有学生考试信息,包括查询、删除学生考试,提供录入成绩操作,支持更新学生成绩。
- 学生成绩管理:管理员可管理所有学生成绩信息,包括查询、删除学生成绩,
- 在线申请:管理员可管理所有选课申请、调停申请等的在线申请信息,包括查询、删除在线申请信息;选题申请管理还提供录入学习和审核操作;调停申请管理还提供审核操作。
- 系统管理:管理员可管理系统的轮播图信息,包括新增、编辑、删除轮播图,提供搜索功能,支持图片附带链接。
- 通知公告管理:管理员可管理平台发布的通知公告信息,包括新增、编辑、删除通知公告,提供搜索功能。
- 资源管理:管理员可管理校园资讯和资讯分类的新增、编辑、删除等操作,提供搜索功能,支持对校园资讯的评论管控和查看。
- 系统性能分析
性能需求分析是系统设计的重要组成部分,其目标是确保系统在各种负载条件下的高效、稳定和可靠。对于校园日常管理系统的设计与实现,下面是系统性能分析表:
-
-
-
-
- 性能需求表
-
-
-
| 项目 | 内容 |
| 响应时间 | 系统对用户请求的响应时间需在500ms以内 |
| 并发用户数 | 系统需要支持多个并发用户同时访问 |
| 吞吐量 | 系统每秒需要处理大量请求 |
| 可用性 | 系统需要保证一定的可用性 |
| 数据安全 | 用户敏感数据需要加密存储,并支持数据库备份和恢复 |
| 数据一致性 | 系统中的数据操作需保证ACID特性,确保数据一致性 |
| 扩展性 | 系统需要支持水平扩展,能够方便地增加服务器节点以应对高请求量 |
| 可维护性 | 系统代码需要清晰易懂、结构良好,方便团队成员维护和修改 |
| 日志记录 | 系统需要记录用户操作日志、异常日志以及系统运行日志 |
| 监控报警 | 系统需要实时监控运行状态,当系统异常时能够及时发送警报通知相关人员 |
| 缓存设置 | 针对频繁使用的数据,系统需要进行合适的缓存 |
用户访问平台网站,可以选择进行注册或登录操作。注册成功后,用户可以使用注册的账号登录平台。登录后的用户可以进入系统功能界面,使用自己权限内的功能操作。程序操作流程图如下图所示。

-
-
-
-
-
- 程序操作流程图
-
-
- 登录流程
-
-
用户访问平台的网站,进入登录页面页面,入其用户名和密码,后端服务接收登录请求,验证用户提供的用户名和密码是否匹配数据库中存储的信息,验证通过即可登录成功。登录流程图如下图所示。

-
-
-
-
-
- 登录流程图
-
-
- 注册流程
-
-
未有账号的用户可进入注册界面进行注册操作,填写注册表格,包括用户名、密码、电子邮件等必要信息。后台系统验证并保存用户提交的信息。分配唯一用户标识符。注册成功后,用户可以使用账号密码进行登录。用户注册流程图如下图所示。

B/S架构,即浏览器/服务器架构,是一种基于Web的分布式计算范式。在此架构中,应用程序的逻辑被巧妙地区分为客户端和服务器两部分。具体而言,客户端借助广泛使用的浏览器界面,进行应用访问与操作;而服务器端则肩负起业务逻辑处理、数据存储及管理的核心职责。值得一提的是,客户端无需安装特定的软件,用户仅需通过浏览器输入相应的URL地址,即可轻松访问应用程序,这一特性极大地提升了用户的使用便捷性和系统的维护效率。服务器端通常采用高性能的计算机和数据库系统,能够处理大量并发请求和复杂的业务逻辑。B/S架构的优势在于其跨平台性和易于维护性,开发者可以通过更新服务器端的代码来实现整个系统的升级和维护,而无需逐一更新客户端。

-
-
-
-
-
- 系统架构图
-
-
- 功能模块设计
-
-
功能模块设计是系统开发过程中的重要阶段,它旨在将系统划分为不同的模块,每个模块负责完成特定的功能或任务。校园日常管理系统由多个功能模块组成,每个模块下又包含具体的功能操作。根据前文功能需求分析,可以得出功能模块图如下图所示。

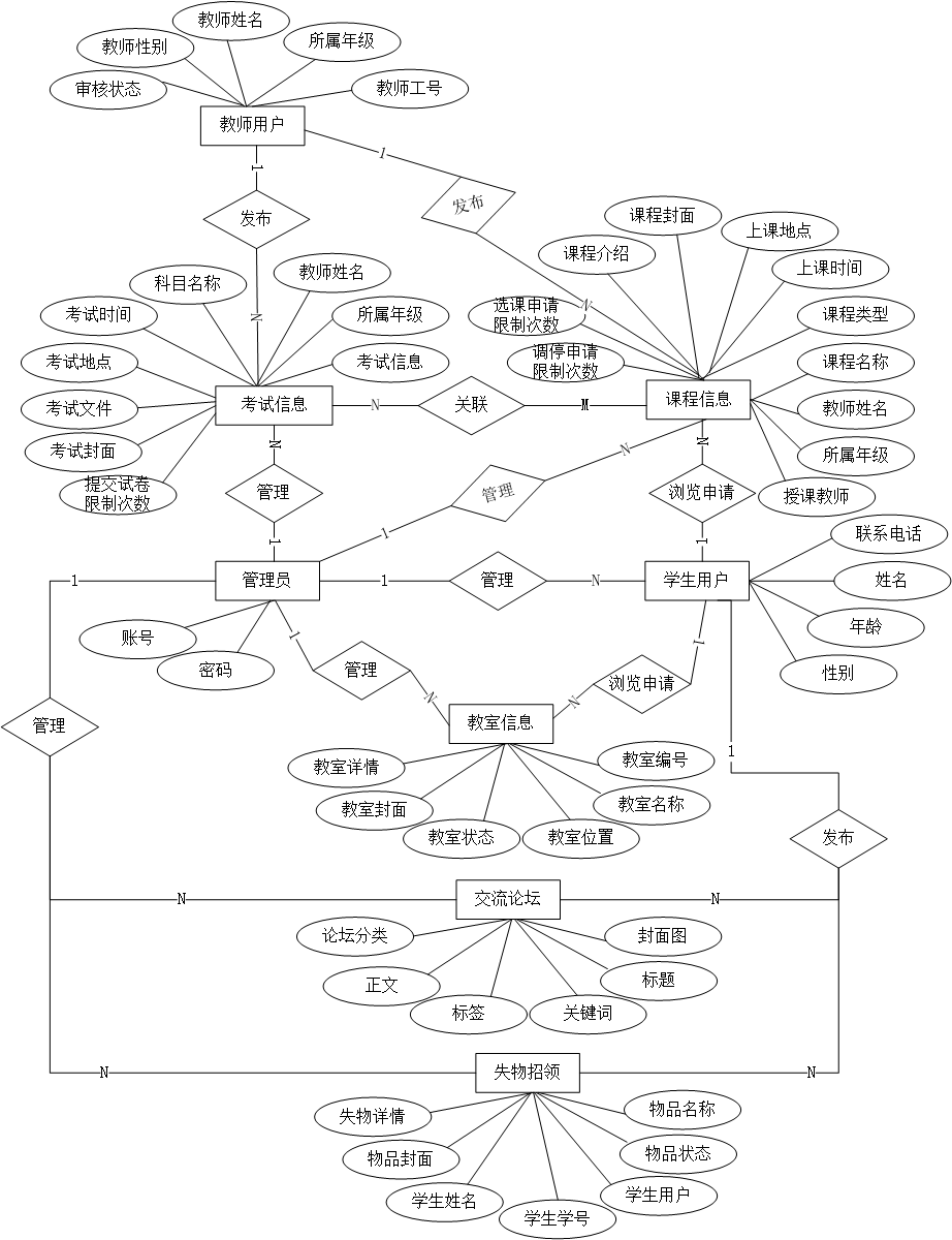
E-R图有助于理清系统中的数据结构和关系,为后续的数据库表结构设计提供指导。在进行数据库设计之前,首先需要先绘制实体-关系(E-R)图。E-R图将帮助理清业务中的实体(Entity)及它们之间的关系(Relationship),从而为后续的数据库表设计提供基础。根据前文可以得出本校园日常管理系统拥有多个实体,在此列举主要实体,各个实体之间联系总E-R图如下图所示。

-
-
-
-
-
- 总E-R图
-
-
- 数据库表结构设计
-
-
在E-R图确定后,接下来可以根据实体和关系的属性设计数据库表结构。在E-R图明确了实体和它们之间的关系后,接下来可以开始设计数据库表结构。每个实体对应一个数据库表,每个属性对应表中的字段。如下列表格所示,在此列举主要数据表。
表classroom_application (教室申请)
| 名称 | 数据类型 | 长度 | 主键 | 说明 |
| classroom_application_id | int | 10 | Y | 教室申请ID |
| classroom_number | varchar | 64 | N | 教室编号 |
| classroom_name | varchar | 64 | N | 教室名称 |
| student_users | int | 10 | N | 学生用户 |
| student_id | varchar | 64 | N | 学生学号 |
| student_name | varchar | 64 | N | 学生姓名 |
| application_date | date | 10 | N | 申请日期 |
| application_remarks | text | 65535 | N | 申请备注 |
| examine_state | varchar | 16 | N | 审核状态 |
| examine_reply | varchar | 16 | N | 审核回复 |
| create_time | datetime | 19 | N | 创建时间 |
| update_time | timestamp | 19 | N | 更新时间 |
| source_table | varchar | 255 | N | 来源表 |
| source_id | int | 10 | N | 来源ID |
| source_user_id | int | 10 | N | 来源用户 |
表classroom_information (教室信息)
| 名称 | 数据类型 | 长度 | 主键 | 说明 |
| classroom_information_id | int | 10 | Y | 教室信息ID |
| classroom_number | varchar | 64 | N | 教室编号 |
| classroom_name | varchar | 64 | N | 教室名称 |
| classroom_location | varchar | 64 | N | 教室位置 |
| classroom_status | varchar | 64 | N | 教室状态 |
| classroom_cover | varchar | 255 | N | 教室封面 |
| classroom_details | longtext | 2147483647 | N | 教室详情 |
| hits | int | 10 | N | 点击数 |
| praise_len | int | 10 | N | 点赞数 |
| recommend | int | 10 | N | 智能推荐 |
表completed_courses (已修课程)
| 名称 | 数据类型 | 长度 | 主键 | 说明 |
| completed_courses_id | int | 10 | Y | 已修课程ID |
| teaching_teacher | int | 10 | N | 授课教师 |
| grade_affiliation | varchar | 64 | N | 所属年级 |
| teachers_name | varchar | 64 | N | 教师姓名 |
| course_name | varchar | 64 | N | 课程名称 |
| student_users | int | 10 | N | 学生用户 |
| student_id | varchar | 64 | N | 学生学号 |
| student_name | varchar | 64 | N | 学生姓名 |
| learning_status | varchar | 64 | N | 学习状态 |
| status_description | text | 65535 | N | 状态描述 |
| source_table | varchar | 255 | N | 来源表 |
| source_user_id | int | 10 | N | 来源用户 |
表course_classification (课程分类)
| 名称 | 数据类型 | 长度 | 主键 | 说明 |
| course_classification_id | int | 10 | Y | 课程分类ID |
| course_classification | varchar | 64 | N | 课程分类 |
表course_information (课程信息)
| 名称 | 数据类型 | 长度 | 主键 | 说明 |
| course_information_id | int | 10 | Y | 课程信息ID |
| teaching_teacher | int | 10 | N | 授课教师 |
| grade_affiliation | varchar | 64 | N | 所属年级 |
| teachers_name | varchar | 64 | N | 教师姓名 |
| course_name | varchar | 64 | N | 课程名称 |
| course_type | varchar | 64 | N | 课程类型 |
| class_time | varchar | 64 | N | 上课时间 |
| class_location | varchar | 64 | N | 上课地点 |
| course_cover | varchar | 255 | N | 课程封面 |
| course_introduction | longtext | 2147483647 | N | 课程介绍 |
表course_selection_application (选课申请)
| 名称 | 数据类型 | 长度 | 主键 | 说明 |
| course_selection_application_id | int | 10 | Y | 选课申请ID |
| teaching_teacher | int | 10 | N | 授课教师 |
| grade_affiliation | varchar | 64 | N | 所属年级 |
| teachers_name | varchar | 64 | N | 教师姓名 |
| course_name | varchar | 64 | N | 课程名称 |
| student_users | int | 10 | N | 学生用户 |
| student_id | varchar | 64 | N | 学生学号 |
| student_name | varchar | 64 | N | 学生姓名 |
| course_selection_date | date | 10 | N | 选课日期 |
| course_selection_notes | text | 65535 | N | 选课备注 |
| examine_state | varchar | 16 | N | 审核状态 |
| examine_reply | varchar | 16 | N | 审核回复 |
| completed_courses_limit_times | int | 10 | N | 录入学习限制次数 |
| create_time | datetime | 19 | N | 创建时间 |
| source_table | varchar | 255 | N | 来源表 |
| source_id | int | 10 | N | 来源ID |
| source_user_id | int | 10 | N | 来源用户 |
表exam_information (考试信息)
| 名称 | 数据类型 | 长度 | 主键 | 说明 |
| exam_information_id | int | 10 | Y | 考试信息ID |
| teacher_users | int | 10 | N | 教师用户 |
| grade_affiliation | varchar | 64 | N | 所属年级 |
| teachers_name | varchar | 64 | N | 教师姓名 |
| subject_name | varchar | 64 | N | 科目名称 |
| exam_time | varchar | 64 | N | 考试时间 |
| exam_location | varchar | 64 | N | 考试地点 |
| exam_documents | varchar | 255 | N | 考试文件 |
| exam_cover | varchar | 255 | N | 考试封面 |
| exam_details | longtext | 2147483647 | N | 考试详情 |
表mediation_application (调停申请)
| 名称 | 数据类型 | 长度 | 主键 | 说明 |
| mediation_application_id | int | 10 | Y | 调停申请ID |
| teaching_teacher | int | 10 | N | 授课教师 |
| grade_affiliation | varchar | 64 | N | 所属年级 |
| teachers_name | varchar | 64 | N | 教师姓名 |
| course_name | varchar | 64 | N | 课程名称 |
| student_users | int | 10 | N | 学生用户 |
| student_id | varchar | 64 | N | 学生学号 |
| student_name | varchar | 64 | N | 学生姓名 |
| application_date | date | 10 | N | 申请日期 |
| application_remarks | text | 65535 | N | 申请备注 |
| examine_state | varchar | 16 | N | 审核状态 |
| examine_reply | varchar | 16 | N | 审核回复 |
表student_exam (学生考试)
| 名称 | 数据类型 | 长度 | 主键 | 说明 |
| student_exam_id | int | 10 | Y | 学生考试ID |
| teacher_users | int | 10 | N | 教师用户 |
| grade_affiliation | varchar | 64 | N | 所属年级 |
| teachers_name | varchar | 64 | N | 教师姓名 |
| subject_name | varchar | 64 | N | 科目名称 |
| student_users | int | 10 | N | 学生用户 |
| student_id | varchar | 64 | N | 学生学号 |
| student_name | varchar | 64 | N | 学生姓名 |
| submission_date | date | 10 | N | 提交日期 |
| student_exam_paper | varchar | 255 | N | 学生试卷 |
| submit_remarks | text | 65535 | N | 提交备注 |
表student_grades (学生成绩)
| 名称 | 数据类型 | 长度 | 主键 | 说明 |
| student_grades_id | int | 10 | Y | 学生成绩ID |
| teacher_users | int | 10 | N | 教师用户 |
| grade_affiliation | varchar | 64 | N | 所属年级 |
| teachers_name | varchar | 64 | N | 教师姓名 |
| subject_name | varchar | 64 | N | 科目名称 |
| student_users | int | 10 | N | 学生用户 |
| student_id | varchar | 64 | N | 学生学号 |
| student_name | varchar | 64 | N | 学生姓名 |
| exam_score | double | 9 | N | 试卷分数 |
| correction_description | text | 65535 | N | 批改描述 |
表student_users (学生用户)
| 名称 | 数据类型 | 长度 | 主键 | 说明 |
| student_users_id | int | 10 | Y | 学生用户ID |
| student_id | varchar | 64 | N | 学生学号 |
| student_name | varchar | 64 | N | 学生姓名 |
| student_gender | varchar | 64 | N | 学生性别 |
| examine_state | varchar | 16 | N | 审核状态 |
| user_id | int | 10 | N | 用户ID |
表teacher_users (教师用户)
| 名称 | 数据类型 | 长度 | 主键 | 说明 |
| teacher_users_id | int | 10 | Y | 教师用户ID |
| teacher_id | varchar | 64 | N | 教师工号 |
| grade_affiliation | varchar | 64 | N | 所属年级 |
| teachers_name | varchar | 64 | N | 教师姓名 |
| teacher_gender | varchar | 64 | N | 教师性别 |
| examine_state | varchar | 16 | N | 审核状态 |
| user_id | int | 10 | N | 用户ID |
考虑到校园日常管理系统主要面对部分人群,网站的访问量不大。系统处理、统计分析工作简单,Tomcat服务器能够满足中小型网络用户的数据处理,通过互联网Internet 接入及MySQL 5.6以上的数据库应用的需求点。系统具体开发环境如下表所示:
-
-
-
-
- 系统环境表
-
-
-
| 项目 | 开发环境 |
| 操作系统 | Windows 11、Windows 10、Windows 8、Windows 7 |
| 开发语言 | Java |
| 使用框架 | Spring Boot |
| 体系结构 | 三层B/S体系结构 |
| 开发工具 | IDEA(2020版)/MyEclipse(2017)/Eclipse、Vs Code |
| 数据库 | MySQL 5.6以上 |
| 数据库管理工具 | Navicat |
| JDK版本 | Java 1.8 |
| Maven | apache-maven 3.6.1-bin |
| Tomcat | apache-tomcat-7.0.88 |
用户输入用户名和密码后,系统首先对这些输入进行基本的格式验证,确保用户名和密码符合系统设定的格式要求(如长度、特殊字符要求等)。系统接收到用户输入后,会根据用户名查找系统中存储的用户信息数据库或者其他持久化存储方式。系统需要验证密码的正确性,验证成功即可成功登录。界面设计如下图所示。

-
-
-
-
-
- 用户登录界面设计
-
-
-
-
登录关键代码如下:

-
-
- 用户注册模块
-
用户注册时,系统要求用户提供必要的信息,例如用户名、密码、电子邮件地址等。这些信息通常由用户在注册表单中输入,并通过前端验证确保格式的正确性。注册过程完成后,系统会为新用户创建一个账户。这包括分配一个唯一的用户ID和设置初始的权限或者角色。界面设计如下图所示。

-
-
-
-
-
- 用户注册界面设计
-
-
-
-
注册关键代码如下:

-
-
- 首页模块
-
学生用户登录系统前台后,首先进入前台首页界面,该界面主要提供系统搜索功能和系统功能导航栏,展示平台的轮播图、最新动态、热门信息、推荐信息等内容。界面设计如下图所示。

-
-
-
-
-
- 首页界面设计
-
-
- 教室信息模块
-
-
教室信息模块主要提供教室信息展示、申请等功能,支持关键字、排序搜索,学生用户可以浏览教室信息,并点赞、收藏和评论教室信息,详情页提供申请使用功能。点击“申请使用”操作,可提交教室申请信息。界面设计如下图所示。

-
-
-
-
-
- 教室信息界面设计
-
-
- 课程信息模块
-
-
课程信息模块主要提供课程信息展示、申请功能,支持关键字、排序搜索,学生用户可以浏览课程信息,并点赞、收藏和评论课程信息,详情页提供选课申请和调停申请功能。点击“选课申请”可输入并提交选题申请信息,点击“调停申请”可申请调停课程。界面设计如下图所示。

-
-
-
-
-
- 课程信息详情页界面设计
-
-
- 考试信息模块
-
-
考试信息模块主要提供考试信息展示和提交试卷操作,支持关键字、排序搜索,学生用户可以浏览考试信息,并点赞、收藏和评论考试信息,可在详情页下载考试文件,提供提交试卷功能。点击“提交试卷”操作,可上传已完成的试卷附件,并进行提交试卷。界面设计如下图所示。

-
-
-
-
-
- 考试信息详情页界面设计
-
-
- 个人中心模块
-
-
个人中心模块主要为学生用户提供个人首页、教室申请、选课申请、调停申请、已修课程、学生考试、学生成绩、收藏等子菜单功能链接,学生用户可根据需求对其进行管理。例如,可查询教室申请、选课申请(申请通过后学生可录入学习)、调停申请等信息,确认申请的审核及回复情况;可查阅和确认已修课程信息,可更新学习状态和状态描述内容;可搜索和浏览自己的学生考试、学生成绩;可查看和删除已收藏的系统信息。。界面设计如下图所示。

-
-
-
-
-
- 个人中心界面设计
-
-
-
- 后台管理功能模块实现
- 系统用户模块
-
系统用户模块主要为管理员提供管理系统用户信息的功能,管理员可管理系统的所有系统用户信息,包括学生用户、教师用户、管理员账号等,支持用户权限管理和角色设置,可增改删查和审核系统用户信息。界面设计如下图所示。

-
-
-
-
-
- 系统用户界面设计
-
-
-
-
系统用户管理信息关键代码:

-
-
- 课程信息管理模块
-
课程信息管理模块主要为管理员和教师用户提供管理课程信息的功能,管理员可管理所有课程信息的发布、删除、更新等操作,提供搜索功能,支持管控和查看评论内容。而教师用户只可增改删查自己的课程信息。界面设计如下图所示。

-
-
-
-
-
- 课程信息管理界面设计
-
-
-
-
发布课程信息关键代码:

考试信息管理模块
考试信息管理模块主要为管理员和教师用户提供管理考试信息的功能,管理员可管理所有考试信息的发布、删除、更新等操作,提供搜索功能,支持管控和查看评论内容。而教师用户只可增改删查自己的考试信息。界面设计如下图所示。

-
-
-
-
-
- 考试信息管理界面设计
-
-
-
-
上传考试试卷文件关键代码如下:

-
-
- 学生考试管理模块
-
学生考试管理模块主要为管理员和教师用户提供管理学生考试的功能。教师用户可管理自己的学生考试信息,包括查询、删除学生考试,提供录入成绩操作(下载学生上传的试卷,进行批改),支持更新学生成绩的试卷分数及批改描述等内容。管理员可管理所有学生考试信息,包括实现查询、删除、录入成绩等操作。面设计如下图所示。

-
-
-
-
-
- 学生考试管理界面设计
-
-
-
-
查询学生考试信息关键代码:

在线申请模块
学生考试管理模块主要为管理员和教师用户提供管理学生考试的功能。教师用户可管理选课申请、调停申请等的在线申请信息,包括查询、审核、删除在线申请信息;管理员可管理和审核所有在线申请信息,管理员的选题申请管理还提供录入学习和审核操作。例如,选课申请管理界面设计如下图所示。

-
-
-
-
-
- 选课申请管理界面设计
-
-
-
-
例如,调停申请管理界面设计如下图所示。

-
-
-
-
-
- 调停申请审核界面设计
-
-
-
-
审核在线申请(选课申请、调停申请)信息关键代码:

-
-
- 系统管理模块
-
管理员可管理系统的轮播图信息,包括新增、编辑、删除轮播图,提供搜索功能,支持图片附带链接。界面设计如下图所示。

在软件开发生命周期中,系统测试占据着举足轻重的地位。通过进行全面而系统的测试,能够确保软件在实际使用环境中具备稳定运行的能力,从而满足用户的多样化需求,并显著提升软件的整体质量与可靠性。这一过程不仅有助于识别并修复潜在问题,还能为软件的持续优化提供有力支撑。
随着现代信息的快速发展,在社会各大领域中已经都开始应用网络信息技术,在应用网络技术的同时人们也开始把软件的质量问题作为了一个重要焦点来关注,因为一个软件的好与坏它决定着这个系统在市场上的生存,所以必须要把软件质量来做好,这样才有一定的生存能力。对于用户来说它们首先选用的都是保证这个系统软件的质量问题,因为一个系统的软件质量决定着用户在后期上成本经济的问题。图6.1就是纠错测试流程。


-
-
-
-
-
- 测试与纠错信息流程
-
-
-
- 测试用例
-
在系统的功能验证阶段,将对全部的功能界面进行全面测试。具体而言,将模拟用户行为,输入各类数据并进行提交操作,随后仔细观察和分析每个页面的响应反馈。这一过程旨在验证系统的功能完整性,确保页面所呈现的功能与预期相符,并能够完全实现预设的交互逻辑。通过这种全面细致的测试方法,将确保系统在实际应用中能够稳定、准确地响应用户需求。
下表是系统登录功能测试用例,检测了用户名和密码的不同的输入情况,观察系统的响应情况。得出该功能达到了设计目标。
-
-
-
-
- 系统登录功能测试用例
-
-
-
| 功能描述 | 用于系统登录 | |
| 测试目的 | 检测登录时的合法性检查 | |
| 测试数据以及操作 | 预期结果 | 实际结果 |
| 输入的用户名和密码带有非法字符 | 提示用户名或者密码错误 | 与预期结果一致 |
| 输入的用户名或者密码为空 | 提示用户名或者密码错误 | 与预期结果一致 |
| 输入的用户名和密码不存在 | 提示用户名或者密码错误 | 与预期结果一致 |
| 输入正确的用户名和密码 | 登录成功 | 与预期结果一致 |
下表是注册功能测试用例,检测了各种数据的输入情况,观察系统的响应情况。得出该功能达到了设计目标。
-
-
-
-
- 注册功能测试用例
-
-
-
| 功能描述 | 用于用户注册 | |
| 测试目的 | 检测用户注册时的合法性检查 | |
| 测试数据以及操作 | 预期结果 | 实际结果 |
| 输入的手机号不合法 | 提示请输入正确的手机号码 | 与预期结果一致 |
| 输入的字段为空 | 提示必填项不能为空 | 与预期结果一致 |
| 输入的密码少于6位 | 提示密码必须为6-12位 | 与预期结果一致 |
| 输入的密码大于12位 | 提示密码必须为6-12位 | 与预期结果一致 |
下表是教室信息管理功能的测试用例,检测了教室信息中对教室信息的增加,删除,修改,查询等操作是否成功运行。观察系统的响应情况,得出该功能也达到了设计目标,系统运行正确。
前置条件;管理员、教师用户登录系统。
-
-
-
-
- 教室信息管理的测试用例
-
-
-
| 功能描述 | 用于教室信息管理 | |
| 测试目的 | 检测教室信息时的各种操作的运行情况 | |
| 测试数据以及操作 | 预期结果 | 实际结果 |
| 点击添加教室信息,必填项合法输入,点击提交 | 提示添加成功 | 与预期结果一致 |
| 点击添加教室信息,必填项输入为空或不合法,点击提交 | 提示必填项不能为空 | 与预期结果一致 |
| 进入教室信息详情页修改,必填项合法输入,点击提交 | 提示提交成功 | 与预期结果一致 |
| 进入教室信息详情页修改,必填项修改为空或不合法,点击提交 | 提示必填项不能为空 | 与预期结果一致 |
| 点击删除教室信息,选择教室信息删除 | 提示删除成功 | 与预期结果一致 |
| 点击搜索教室信息,输入存在的教室信息名 | 查找出相应教室信息 | 与预期结果一致 |
| 点击搜索教室信息,输入不存在的教室信息名 | 不显示教室信息 | 与预期结果一致 |
下表课程信息管理功能的测试用例,检测了课程信息中对课程信息的增加,删除,修改,查询操作等是否成功运行。观察系统的响应情况,得出该功能也达到了设计目标,系统运行正确。
前置条件;管理员、教师用户登录系统。
-
-
-
-
- 课程信息管理的测试用例
-
-
-
| 功能描述 | 用于课程信息管理 | |
| 测试目的 | 检测课程信息时的各种操作的运行情况 | |
| 测试数据以及操作 | 预期结果 | 实际结果 |
| 点击添加课程信息,必填项合法输入,点击提交 | 提示添加成功 | 与预期结果一致 |
| 点击添加课程信息,必填项输入不合法,点击提交 | 提示必填项不能为空 | 与预期结果一致 |
| 进入课程信息详情页修改,必填项合法输入,点击提交 | 提示提交成功 | 与预期结果一致 |
| 点击修改课程信息,必填项输入不合法,点击提交 | 提示必填项不能为空 | 与预期结果一致 |
| 点击删除课程信息,选择课程信息删除 | 提示删除成功 | 与预期结果一致 |
| 点击搜索课程信息,输入存在的课程信息名 | 查找出相应课程信息 | 与预期结果一致 |
| 点击搜索课程信息,输入不存在的课程信息名 | 不显示课程信息 | 与预期结果一致 |
下表是考试信息管理功能的测试用例,检测了考试信息中对考试信息的增加,删除,修改,查询等操作是否成功运行。观察系统的响应情况,得出该功能也达到了设计目标,系统运行正确。
前置条件;管理员、教师用户登录系统。
-
-
-
-
- 考试信息管理的测试用例
-
-
-
| 功能描述 | 用于考试信息管理 | |
| 测试目的 | 检测考试信息时的各种操作的运行情况 | |
| 测试数据以及操作 | 预期结果 | 实际结果 |
| 点击添加考试信息,必填项合法输入,点击提交 | 提示添加成功 | 与预期结果一致 |
| 点击添加考试信息,必填项输入为空或不合法,点击提交 | 提示必填项不能为空 | 与预期结果一致 |
| 进入考试信息详情页修改,必填项合法输入,点击提交 | 提示提交成功 | 与预期结果一致 |
| 进入考试信息详情页修改,必填项修改为空或不合法,点击提交 | 提示必填项不能为空 | 与预期结果一致 |
| 点击删除考试信息,选择考试信息删除 | 提示删除成功 | 与预期结果一致 |
| 点击搜索考试信息,输入存在的考试信息名 | 查找出相应考试信息 | 与预期结果一致 |
| 点击搜索考试信息,输入不存在的考试信息名 | 不显示考试信息 | 与预期结果一致 |
下表是学生考试管理功能的测试用例,检测了学生考试中对学生考试的查询、删除、录入成绩等操作是否成功运行。观察系统的响应情况,得出该功能也达到了设计目标,系统运行正确。
前置条件;管理员、教师用户登录系统。
-
-
-
-
- 学生考试管理的测试用例
-
-
-
| 功能描述 | 用于学生考试管理 | |
| 测试目的 | 检测学生考试时的各种操作的运行情况 | |
| 测试数据以及操作 | 预期结果 | 实际结果 |
| 点击搜索学生考试,输入存在的学生考试名 | 查找出相应学生考试信息 | 与预期结果一致 |
| 点击搜索学生考试,输入不存在的学生考试名 | 不显示学生考试信息 | 与预期结果一致 |
| 进入学生考试详情页修改,必填项合法输入,点击提交 | 提示提交成功 | 与预期结果一致 |
| 进入学生考试详情页修改,必填项修改为空或不合法,点击提交 | 提示必填项不能为空 | 与预期结果一致 |
| 点击删除学生考试,选择学生考试删除 | 提示删除成功 | 与预期结果一致 |
| 点击录入成绩,必填项合法输入,点击提交 | 提示提交成功 | 与预期结果一致 |
| 点击录入成绩,必填项修改为空或不合法,点击提交 | 提示必填项不能为空 | 与预期结果一致 |
下表是选课申请管理功能的测试用例,检测了选课申请中对选课申请的查询、编辑、删除、审核等操作是否成功运行。观察系统的响应情况,得出该功能也达到了设计目标,系统运行正确。
前置条件;管理员、教师用户登录系统。
-
-
-
-
- 选课申请管理的测试用例
-
-
-
| 功能描述 | 用于选课申请管理 | |
| 测试目的 | 检测选课申请时的各种操作的运行情况 | |
| 测试数据以及操作 | 预期结果 | 实际结果 |
| 点击搜索选课申请,输入存在的选课申请名 | 查找出相应选课申请信息 | 与预期结果一致 |
| 点击搜索选课申请,输入不存在的选课申请名 | 不显示选课申请信息 | 与预期结果一致 |
| 进入选课申请详情页修改,必填项合法输入,点击提交 | 提示提交成功 | 与预期结果一致 |
| 进入选课申请详情页修改,必填项修改为空或不合法,点击提交 | 提示必填项不能为空 | 与预期结果一致 |
| 点击删除选课申请,选择选课申请删除 | 提示删除成功 | 与预期结果一致 |
| 点击审核选课申请,必填项合法输入,点击提交 | 提示审核成功 | 与预期结果一致 |
| 点击审核选课申请,必填项修改为空或不合法,点击提交 | 提示必填项不能为空 | 与预期结果一致 |
-
- 测试分析
本校园日常管理系统开发与设计满足相关信息的管理需求,在设计时借鉴了国内外优秀网站的优点,从界面到系统设计都保证了管理员以及用户能够方便操作。系统的主要特点和优点归纳如下:
(1)本系统用的移置性和针对性都比较高,因为针对性高可以提供更好的服务而移置性可以在多个系统上运行,更给用户带来了极大的方便。
(2)该校园日常管理系统开发与设计内容全面,管理方便可以及时的全面的处理各种错误,异常,这样避免了很多因用户的马虎操作而出现的失误,其操作方便,用户界面友好,能够上网的人都可以很好的进行操作。
经过对上述的测试结果分析,所有基本功能齐全,操作简单,系统运行性能良好,系统安全可靠,能促进校园日常管理系统的发展,发展前景广阔。
通过开发校园日常管理系统,我深刻体会到软件开发的完整流程。首先,在确定开发目标后,我进行了详细的需求分析,明确了系统所需的各项功能。接下来,设计了系统的功能框架和数据库结构,包括实体和数据表的设计。随后,实现了各个功能模块的详细界面,并进行了全面的功能测试。尽管在这个过程中遇到了各种挑战,但通过反复分析和深入思考,借助相关文献和解决方案,成功地解决了这些问题,最终使校园日常管理系统顺利运行。
虽然该系统在功能上基本满足了用户的需求,但仍有许多需要改进的地方。在接下来的开发阶段,计划进行以下改进:
用户界面设计:目前的操作页面虽然满足了简易操作的要求,但在多样化设计方面还有提升空间。我将考虑引入更多丰富的设计元素,使界面更加美观和用户友好。
安全性能优化:针对系统安全性能的增强,需要进一步优化系统的整体防护能力。具体而言,将要对程序退出的安全性进行加强,确保在退出过程中不存在数据泄露或系统不稳定的风险。同时,对系统的并发处理能力进行升级,以确保在高并发场景下系统能够保持稳定的运行状态。
性能优化:在性能优化方面,将着重于对程序的数据结构和代码逻辑进行精细化调整。通过优化,旨在确保系统能在高负载下保持稳定且高效的运行状态。优化后的系统应具备快速处理大量事务的能力,显著缩短事务处理时间,从而提高整体工作效率。同时,致力于降低服务器资源的占用率,以实现资源的高效利用和成本的有效控制。
通过这些改进,希望能够进一步提升校园日常管理系统的用户体验和性能,使其更加贴合实际需求。
- 钟育伙.基于SpringBoot+Vue的校园活动管理系统设计与实现[J].电子技术,2024,53(10):56-57.
- 张玉,张雅倩.智慧校园建设面临的挑战与应对策略[N].河南经济报,2024-10-12(011).
- 张冬.智能时代的学校管理变革探析[J].华夏教师,2024,(20):19-21.
- 王俊哲,雷敬婕,王怡铭.微信小程序的智能校园资源管理系统[J].信息与电脑(理论版),2024,36(13):85-88.
- Shoaib M ,Sayed N ,Singh J , et al.AI student success predictor: Enhancing personalized learning in campus management systems[J].Computers in Human Behavior,2024,158108301-.
- 张新海,朱祎.基于MVVM模式SpringBoot框架的高校信息化项目管理系统[J].信息技术与信息化,2024,(05):54-58.
- 刘霞.基于Spring Boot框架的智慧校园管理系统设计与实现[J].长江信息通信,2024,37(02):148-150.
- 李臻昊,杨永生.校园管理系统设计与实现[J].电脑编程技巧与维护,2024,(01):85-88.
- 齐振中,校园课程管理系统.山西省,山西拓思至美科技有限公司,2023-12-01.
- 秦波.基于互联网的校园管理信息化系统分析[J].电子技术,2023,52(04):288-289.
- 连慧白,黄伟雄.校园教务管理信息化系统的分析[J].电子技术,2022,51(09):127-129.
- 王李颖,金百东.基于Java Web的校园智慧办公系统的设计与开发[J].电子技术与软件工程,2022,(13):74-78.
- 陶正源,智慧教育校园综合管理系统.福建省,厦门云知学科技有限公司,2022-06-01.
- 汪训琪,校园综合管理系统.湖北省,武汉东湖学院,2021-12-01.
- 黄泓彰,王辰尹,王伟楠.基于Springboot的高校智能排课系统的设计与实现[J].电脑知识与技术,2021,17(26):59-62+81.
- 曾惠强.高校信息系统整合问题分析[C]//新课程研究杂志社.《新课改教育理论探究》第四辑.厦门华厦学院;,2021:2.
- 余伟吉.智慧校园运维管理系统需求分析及架构研究[D].广州大学,2021.
- Soegoto S E ,S E S ,F M R .Smart Campus with A Learning Management System[J].IOP Conference Series: Materials Science and Engineering,2020,879(1):012003-.
- 钮立辉,孙晓春,于凤春.数字校园学生综合信息管理系统设计[J].电子技术与软件工程,2020,(12):166-167.
- 蒋邢飞,朱润锴,岑岗,等.“掌上书院”智慧校园大学生事务管理系统的设计[J].浙江科技学院学报,2020,32(02):139-144.
这次毕业设计能够完成,最重要的就是来自指导老师的帮助,是导师不厌其烦的对我的论文及毕业设计提出非常有建设性的建议,我的毕设施能够完成离不开导师的帮助。在此,我对导师由衷的表示感谢,
其次要感谢大学四年里学院里所有的任课老师的教导,老师们在我整个大学四年里给予了我丰富的知识,让我能够在大学中不虚度光阴,踏踏实实的学习,没有这些老师不辞辛劳的教诲,我无法完成这四年的学业。
最后,我要感谢我的家人和同学们。感谢父母在物质与精神上给予我无限的支持和鼓励。感谢我的同学们,在论文写作期间,你们给予了我许多宝贵的建议和帮助,让我在学术研究的道路上不再孤单。
再次感谢所有在我大学生活中给予我帮助和支持的人们。您们的关怀和鼓励将永远铭刻在我的心中,成为我未来前行的动力。
由于自己的水平有限,毕设仍然存在着很大的缺陷,各位老师若提出意见,我会努力改正。
免费领取项目源码,请关注❥点赞收藏并私信博主,谢谢~
2144

被折叠的 条评论
为什么被折叠?



