随着高考的逐步临近,学生在志愿填报方面面临着巨大的压力和挑战。许多学生对院校选择、专业定位及志愿填报流程缺乏足够的信息和指导,从而影响其未来发展。因此,本研究旨在引入信息化技术设计并实现一套高效简便且功能齐全的高考志愿填写分析系统,提供一个便捷有效的在线志愿填报平台,帮助学生进行合理的志愿填报。该系统采用Spring Boot框架结合Java语言进行后端开发,利用HTML、CSS和JavaScript等技术构建前端界面,以MySQL数据库作为数据存储核心,并运用RESTful API实现前后端分离的架构。系统主要面向学生用户和管理员两大不同角色,实现了包括系统用户、院校信息管理、志愿填报管理、填报建议管理、系统管理、通知公告管理、资源管理以及数据统计等核心功能,有效提升学生在志愿填报过程中的决策能力,帮助其更好地理解和选择合适的院校与专业。最终经过功能验证和性能测试,确保系统在实际应用中的可行性和高效性。本系统的成功实施,不仅能够为学生提供了个性化的填报建议,并实现实时的数据分析为学生和管理者的决策提供了数据支持,而且能够推动高考志愿填报信息化、科学化发展。同时可以为今后类似的志愿填报系统的开发提供了宝贵参考,具有良好的实践意义和推广价值。
关键词:高考志愿填写分析系统;SpringBoot;Java;志愿填报
As the college entrance examination approaches, students are facing enormous pressure and challenges in filling out their college application forms. Many students lack sufficient information and guidance on college selection, major positioning, and application process, which affects their future development. Therefore, this study aims to introduce information technology to design and implement an efficient, simple, and fully functional college entrance examination volunteer filling and analysis system, providing a convenient and effective online volunteer filling platform to help students make reasonable volunteer filling. The system adopts the SpringBoot framework combined with Java language for backend development, using technologies such as HTML, CSS, and JavaScript to build the front-end interface. MySQL database is used as the data storage core, and RESTful API is used to implement a front-end and back-end separation architecture. The system mainly targets two different roles: student users and administrators, and implements core functions including system user, college information management, volunteer application management, application suggestion management, system management, notification and announcement management, resource management, and data statistics. It effectively enhances students' decision-making ability in the volunteer application process and helps them better understand and choose suitable colleges and majors. After functional verification and performance testing, the feasibility and efficiency of the system in practical applications are ensured. The successful implementation of this system not only provides personalized filling suggestions for students, but also enables real-time data analysis to provide data support for students and managers' decision-making. It can also promote the informatization and scientific development of college entrance examination volunteer filling. At the same time, it can provide valuable reference for the development of similar volunteer application systems in the future, with good practical significance and promotion value.
Key words: College Entrance Examination Volunteer Filling Analysis System; SpringBoot; Java; Application Form
目 录
高考被视为学生教育生涯的一个重要里程碑,直接关系到学生未来的学习和职业发展。每年,全国数以百万计的学生参加高考,随后需在众多高校和专业中进行志愿填报。如何选择适合自身发展的学校和专业,不仅是学生个人兴趣的体现,更是对其学业发展和职业路径的重大决策。然而,由于经验不足及信息资源的有限性和复杂性,很多学生在填报志愿时面临信息不对称的困境,导致填报结果不理想。近年来,随着高等教育的快速发展,全国各大高校层次多样、专业选择繁多,这使得志愿填报过程愈加复杂。因此,迫切需要一种系统性的工具来为学生提供相关信息和决策支持。同时信息技术的迅猛发展,尤其是互联网和数据分析技术的普及,为高考志愿填报带来了新的机遇。通过在线平台,能够实时提供院校信息、专业分析及填报建议,帮助学生科学决策。然而,目前市场上缺少针对性、个性化且集成度高的志愿填报管理系统。所以本研究旨在设计和开发一套高考志愿填写分析系统,以提高填报效率和准确性。
基于SpringBoot的高考志愿填写分析系统的研发,可以借助信息化手段提供高校的志愿填报分析指导,提升志愿填报效率,更好地解决高考志愿填报存在的问题,具有重要的实践价值和应用前景。通过设计一款个性化集成化的高考志愿填写分析系统,能够集中整合高校及其专业的详细信息,不仅可以为学生提供一个便捷的院校信息共享及志愿填报指导平台,降低学生在志愿填报过程中的信息获取成本,从而提升信息透明度,而且能够简化志愿填报的流程,通过提供用户友好的操作界面和实用的在线志愿填报功能,提升志愿填报的效率和便捷度。系统还实现数据实时数据统计分析和智能推荐,可以为学生提供针对性且个性化的填报建议,帮助学生更好地理解自身的优势与不足,及院校优势和市场需求,提升志愿填报的科学性和合理性,最终帮助学生选择适合自身发展的学校和专业。同时该系统的实施能够为不同经济背景的学生提供同等的信息支持和服务,促进教育机会的公平,提升整体教育质量。本研究不仅为高考志愿填报提供了技术支持,也为相关领域的研究和类似志愿填报系统的开发提供了新的视角和思路,丰富信息技术在高考志愿领域和教育领域的研究应用,为教育公平和学生发展贡献力量。
随着高考志愿填报的日益重要,国内关于高考志愿填报的相关研究逐渐增多。国内学者从心理学和行为学的角度出发,探讨影响学生志愿选择的各种因素,如个人兴趣、职业规划和社会因素。研究发现,学生在填报志愿时,不仅受到个人兴趣的影响,还会受到家长和社会环境的制约。同时国内研究深入探讨了如何利用信息技术帮助学生更好地进行志愿填报。各大高校和教育机构开始推出线上志愿填报指导课程,帮助学生获取有关专业和院校的信息。如新东方开发的一套名为“高考志愿助手”的在线平台,结合大数据分析,提供个性化的志愿填报建议。该平台通过考生的成绩、兴趣、以及未来职业需求,推荐适合的专业和高校。随着信息化的推进和人工智能技术的发展,国内研究开始将智能技术和推荐算法,应用在高考志愿填报领域中,并利用大数据分析学生的背景和未来发展趋势,以实现个性化推荐指导。例如,“掌上高考模拟报志愿”APP结合了大数据分析,并开发独家EOL AI算法,能够根据用户输入的成绩信息,给出个性化的志愿填报评估建议。然而,目前市场上大多数工具功能较为单一,信息繁杂混乱,缺乏个性化和系统化的支持。
较之国内,国外在院校志愿或入学申请方面的研究更为完善系统,尤其是在美国等高等教育普及的国家,高校招生管理系统相对成熟,国外高校注重利用数据分析与预测模型来帮助学生进行明智的志愿选择。如美国的“CollegeBoard”系统利用考生的SAT成绩与选校信息,开发了“学业预测工具”,帮助学生了解不同院校的要求与自身的适配性,并评估自己在特定院校的学习潜力。根据其内部研究,使用该工具后,学生的录取率提高了15%。国外研究还关注学生的职业目标对院校选择的影响,指出学生在选择院校时会将职业目标与课程设置相结合,越是明确职业规划的学生,越能准确选择匹配的院校和专业。同时,国外地区已经建立了完善的信息服务平台,优化教育资源配置,并提供个性化的职业指导和院校选择建议。如通过引入“Career Cruising”平台,让学生能够根据自己的职业规划,选择符合职业要求的院校和专业,这些经验可以为国内志愿填报系统的开发提供借鉴。还有“Common App”平台的开发,允许学生在一个申请中同时申请多所院校,为用户提供了便利院校申请服务,这种信息透明化的做法还有效促进了教育公平。
综上所述,虽然国内外在志愿填报领域已有了一定的研究基础和实践经验,但仍然存在很大的改进空间。国外的系统普遍较为成熟,强调数据分析与个性化推荐,国内则多在于理解影响因素和信息技术的初步尝试。本系统的开发能够丰富信息技术在高考志愿填报领域的理论研究与实践应用。
本研究主要围绕如何引入信息化技术研发一套高效便捷的高考志愿填写分析系统展开。在设计与实现高考志愿填写分析系统时,通过调研与访谈,收集用户及管理员的需求,以明确系统功能模块,设计出符合用户需求的系统架构和界面。该系统后端采用了Java作为编程语言,并利用了SpringBoot框架,使得复杂的业务逻辑和数据操作得以高效完成。与此同时,系统的数据存储和管理通过MySQL数据库实现。结合JavaScript等技术作为前端框架,具有响应式数据绑定和组件化的特点,能够有效地提升用户体验和开发效率。在开发工具的选取上,使用了IDEA,它的强大功能和易用性使得编程工作更为高效;而Navicat作为数据库管理工具,使得数据库操作更为方便和快捷。这样的技术选择,确保了管理系统的开发流程既高效又稳定。本系统主要面对学生用户和管理员两大对象,实现了包括注册登录、数据分析、系统用户、院校信息管理、志愿填报管理、填报建议管理、系统管理、通知公告管理、资源管理等多个关键功能模块,能够简化志愿填报流程,提供针对性志愿填报分析指导,有效支持学生高考志愿填报管理,帮助学生选择适合自身发展的学校和专业,提升用户体验。最终通过功能测试和用户反馈,进行系统性能和用户体验的优化,确保系统的稳定性和可用性。
SpringBoot是Spring家族中的一个重要成员,它简化了Spring应用的初始搭建和开发过程[1]。通过提供一系列默认配置和自动装配机制,SpringBoot使得开发者能够更快地构建出生产级别的Spring应用。它支持多种开发工具和框架,如Maven、Gradle等,并且可以与多种数据库和缓存技术无缝集成[2]。SpringBoot的简洁性和高效性使其成为开发企业级应用的首选框架之一。在本次毕业设计中,SpringBoot框架为高考志愿填写分析系统的后端开发提供了强大的支持。
MySQL是一款开源的关系型数据库管理系统,它以其高性能、高可靠性和易用性而著称。MySQL支持多种存储引擎,如InnoDB、MyISAM等,能够满足不同应用场景的需求[3]。它提供了丰富的SQL语法和函数,使得开发者能够方便地进行数据查询、更新和删除操作。MySQL还支持事务处理、索引优化和复制等高级功能,为数据的完整性和安全性提供了有力保障。在本次毕业设计中,MySQL数据库作为高考志愿填写分析系统的数据存储核心,承担着存储和管理各类系统重要数据的任务。而且通过合理的数据库设计和优化,确保了系统的数据访问效率和数据安全性[4]。
JAVA是一种广泛使用的编程语言,具有跨平台、面向对象、安全性高等特点。JAVA语言提供了丰富的类库和API,使得开发者能够轻松地进行网络编程、数据库操作、图形界面开发等任务[5]。JAVA还支持多线程编程和分布式计算,为开发高性能和可扩展的应用提供了有力支持[6]。所以本次毕设选择了JAVA作为高考志愿填写分析系统的开发语言。通过利用JAVA的面向对象特性和丰富的类库资源,成功实现了系统的各个功能模块,并保证了系统的稳定性和可扩展性。而且JAVA的跨平台特性也使得此次毕业设计能够在不同的操作系统和硬件平台上运行,为用户提供了更加便捷的使用体验。
基于SpringBoot框架开发高考志愿填写分析系统具有显著优势。SpringBoot以其简洁的配置、高效的性能以及强大的集成能力,为快速构建稳定、可扩展的Web应用提供了坚实基础[7]。结合MySQL数据库的高效存储与检索能力,以及Java语言的广泛应用与成熟生态,系统能够实现复杂的数据处理与业务逻辑[8]。此外,前端采用JavaScript等技术,可确保用户界面的流畅与互动性,技术实现路径清晰可行。
该系统开发成本相对较低,主要投入在于人力与硬件资源。SpringBoot及MySQL均为开源技术,无需额外购买软件许可,降低了开发成本。如果系统上线可通过提供便捷、高效的高考志愿填报分析指导服务,可吸引大量用户,进而通过广告、增值服务等方式实现盈利,具有良好的经济回报预期。此外,系统维护成本适中,便于长期运营与迭代升级。
系统界面简洁友好,操作流程简单,用户无需复杂培训即可上手。系统功能模块化设计操作简便,便于用户快速完成操作。且系统支持多角色协同操作,管理员和用户登录系统后均可根据权限进行相应操作,有效提升管理效率和用户体验。
本高考志愿填写分析系统根据使用者划分,主要包含学生用户和管理员两大角色,每个角色对应的主要功能说明如下所示:
- 注册登录:提供注册和登录系统的功能,学生用户可以通过注册拥有系统账户,注册成功后可使用账号+密码登录系统前台。
- 首页:提供系统搜索功能和系统功能导航栏,展示平台的轮播图、最新动态、热门信息、推荐信息等内容。
- 通知公告:提供系统相关的通知公告信息,保证学生用户及时了解平台动态。
- 资讯中心:提供高校志愿填报的相关新闻、文章展示和热门资讯推荐,让学生用户快速获取最新资讯,支持点赞、收藏、评论资讯中心。
- 院校信息:提供院校信息展示,支持关键字、排序搜索,学生用户可以浏览院校信息,并点赞、收藏和评论院校信息,实现志愿填报功能。
- 我的账户:提供管理个人资料功能,学生用户可修改自己的账户信息和密码信息。
- 个人中心:提供个人首页、志愿填报、填报建议、收藏、评论管理等子菜单功能链接,学生用户可根据需求对其进行管理。具体包括,学生用户可查看院校信息统计图,支持查询和确认志愿填报信息,可查阅填报建议;可查看和删除已收藏的系统信息;可跟踪和查看已发表的评论内容。
- 登录:管理员可直接使用账号密码登录系统后台,进行管理,可对自己的个人信息和密码信息进行修改。
- 后台首页:管理员登录后台的起始界面,该界面主要展示系统重要信息概览,提供数据统计分析图(如院校信息统计)。
- 系统用户:管理员可管理包括学生用户和管理员等所有系统用户信息,支持用户权限管理和角色设置,可增改删查和审核封禁系统用户信息。
- 院校信息管理:管理员可管理所有院校信息的发布、下架、更新等操作,提供搜索功能,支持查看和管控其评论内容。
- 志愿填报管理:管理员可管理所有志愿填报信息,包括查询、删除志愿填报,可查阅学生提交的志愿填报详情,提供填报建议操作。
- 填报建议管理:管理员可管理所有填报建议信息,包括查询、更新、删除填报建议,负责更加学生提交的志愿填报信息给予填报建议。
- 系统管理:管理员可管理系统的轮播图信息,包括新增、编辑、删除轮播图,提供搜索功能,支持图片附带链接。
- 通知公告管理:管理员可管理平台发布的通知公告信息,包括新增、编辑、删除通知公告,提供搜索功能。
- 资源管理:管理员可管理资讯中心和资讯分类的新增、编辑、删除等操作,提供搜索功能,支持对资讯中心的评论管控和查看。
在基于SpringBoot的高考志愿填写分析系统的设计中,非功能性需求分析是也是很重要的。它主要关注系统除了基本功能外的其他特性,如性能、安全性、易用性、可维护性等,这些特性对于确保系统的稳定运行和用户满意度至关重要。
性能:系统需要能够处理高并发请求,确保在多个用户同时操作时仍能保持稳定运行。
安全性:系统必须采取严格的措施来保护敏感数据,如用户信息、志愿数据等,防止数据泄露和非法访问。
易用性:系界面友好直观,操作流程简化,提升用户体验。
可维护性:代码结构清晰,文档完备,便于后续开发与问题排查。
在高考志愿填写分析系统中学生用户包含注册登录、首页、通知公告、资讯中心、院校信息、我的账户、个人中心等功能。学生用户用例图如图3-1所示:

图3-1 学生用户用例图
高考志愿填写分析系统中管理员则集成了登录、后台首页、系统用户、院校信息管理、志愿填报管理、填报建议管理、系统管理、通知公告管理、资源管理等功能。管理员用例图如图3-2所示:

图3-2 管理员用例图
用户打开浏览器,输入系统的网址,访问应用程序的系统界面。用户在首页可选择进行注册或登录。如果用户已注册,可直接进入登录页面;如果未注册,则可选择注册。登录后,用户可进入系统功能界面,根据提示可实现各项操作。系统操作流程图如图3-3所示。

图3-3 系统操作流程图
当用户进入登录页面,输入用户名和密码等信息,此时系统将进行基本的输入验证,确认用户名和密码不为空,点击“登录”按钮提交登录请求后,系统将进一步研究用户名和密码是否匹配,验证成功则可成功登录,跳转至用户主界面;反之,提示错误返回登录界面。登录流程图如图3-4所示。

图3-4 登录流程图
用户点击“注册”按钮,系统跳转至注册页面,用户需填写并提交必要的注册信息(如用户名、密码、邮箱、电话号码等),系统将对注册信息验证,确保必填字段不为空,密码符合复杂度要求等,并检查用户名和邮箱是否已被使用,系统验证无误后,将提示用户注册成功。用户注册流程图如图3-5所示。

图3-5 注册流程图
在设计基于SpringBoot的高考志愿填写分析系统时,主要遵循以下系统设计原则:
单一职责原则(SRP):每个模块或组件应只负责单一的功能,减少模块之间的耦合,方便后期的维护和扩展。
分层架构:系统采用分层架构设计,将表现层、业务逻辑层和数据访问层分开,实现功能模块的分离与复用。
可扩展性:设计时考虑未来可能的功能扩展,确保系统结构能够灵活应对需求的变化。
用户体验优先:系统设计考虑用户的使用习惯与操作便利性,通过简洁明了的界面和流畅的交互,提高用户体验。
整个高考志愿填写分析系统是由多个功能模块组合而成的,根据用户需求分析,本系统主要可以划分为学生用户和管理员两大模块。各模块又可细分为不同的子功能设计,实现多角色协作,负责不同的职能,每个角色对应的功能模块如图4-1所示。

图4-1 系统功能结构图
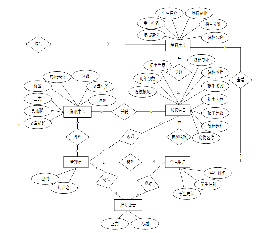
借助系统总体E-R图可以使其他用户快速轻松地了解系统的功能以及他们之间的关系。根据高考志愿填写分析系统各个实体和属性的分析结果,本高考志愿填写分析系统总体E-R实体关系图如图4-2所示。

图4-2 系统总体ER图
通过上一小节高考志愿填写分析系统中总E-R关系图上得出一共需要创建很多个数据表。在此主要罗列几个主要的数据库表结构设计。下面介绍了一些根据各类别主要数据库表的设计结构以及基本功能建立数据库表。
表4-1 student_users(学生用户)
| 编号 | 字段名 | 类型 | 长度 | 是否非空 | 是否主键 | 注释 |
| 1 | student_users_id | int | 是 | 是 | 学生用户ID | |
| 2 | student_name | varchar | 64 | 否 | 否 | 学生姓名 |
续表
| 编号 | 字段名 | 类型 | 长度 | 是否非空 | 是否主键 | 注释 |
| 3 | student_gender | varchar | 64 | 否 | 否 | 学生性别 |
| 4 | student_phone | varchar | 64 | 否 | 否 | 学生电话 |
| 5 | examine_state | varchar | 16 | 是 | 否 | 审核状态 |
| 6 | user_id | int | 是 | 否 | 用户ID | |
| 7 | create_time | datetime | 是 | 否 | 创建时间 | |
| 8 | update_time | timestamp | 是 | 否 | 更新时间 |
表4-2 college_information(院校信息)
| 编号 | 字段名 | 类型 | 长度 | 是否非空 | 是否主键 | 注释 |
| 1 | college_information_id | int | 是 | 是 | 院校信息ID | |
| 2 | name_of_institution | varchar | 64 | 是 | 是 | 院校名称 |
| 3 | college_address | varchar | 64 | 否 | 否 | 院校地址 |
| 4 | admissions_scores | double | 否 | 否 | 招生分数 | |
| 5 | number_of_enrolment | double | 否 | 否 | 招生人数 | |
| 6 | reporting_proportion | varchar | 64 | 否 | 否 | 报录比例 |
| 7 | college_pictures | varchar | 255 | 否 | 否 | 院校图片 |
| 8 | professional_colleges_and_universities | text | 65535 | 否 | 否 | 院校专业 |
| 9 | enrollment_brochure | text | 65535 | 否 | 否 | 招生简章 |
| 10 | calendar_year_score | text | 65535 | 否 | 否 | 历年分数 |
| 11 | overview_of_institutions | text | 65535 | 否 | 否 | 院校概况 |
| 12 | hits | int | 是 | 否 | 点击数 | |
| 13 | praise_len | int | 是 | 否 | 点赞数 | |
| 14 | collect_len | int | 是 | 否 | 收藏数 | |
| 15 | comment_len | int | 是 | 否 | 评论数 | |
| 16 | voluntary_reporting_limit_times | int | 是 | 否 | 志愿填报限制次数 | |
| 17 | create_time | datetime | 是 | 否 | 创建时间 | |
| 18 | update_time | timestamp | 是 | 否 | 更新时间 |
表4-3 voluntary_reporting(志愿填报)
| 编号 | 字段名 | 类型 | 长度 | 是否非空 | 是否主键 | 注释 |
| 1 | voluntary_reporting_id | int | 是 | 是 | 志愿填报ID | |
| 2 | name_of_institution | varchar | 64 | 否 | 否 | 院校名称 |
| 3 | college_address | varchar | 64 | 否 | 否 | 院校地址 |
| 4 | admissions_scores | double | 否 | 否 | 招生分数 | |
| 5 | fill_in_the_professional | varchar | 64 | 否 | 否 | 填报专业 |
| 6 | student_users | int | 否 | 否 | 学生用户 | |
| 7 | student_name | varchar | 64 | 否 | 否 | 学生姓名 |
| 8 | student_phone | varchar | 64 | 否 | 否 | 学生电话 |
| 9 | fill_in_the_content | text | 65535 | 否 | 否 | 填报内容 |
| 10 | filling_recommendations_limit_times | int | 是 | 否 | 填报建议限制次数 | |
| 11 | create_time | datetime | 是 | 否 | 创建时间 | |
| 12 | update_time | timestamp | 是 | 否 | 更新时间 | |
| 13 | source_table | varchar | 255 | 否 | 否 | 来源表 |
| 14 | source_id | int | 否 | 否 | 来源ID | |
| 15 | source_user_id | int | 否 | 否 | 来源用户 |
表4-4 filling_recommendations(填报建议)
| 编号 | 字段名 | 类型 | 长度 | 是否非空 | 是否主键 | 注释 |
| 1 | filling_recommendations_id | int | 是 | 是 | 填报建议ID | |
| 2 | name_of_institution | varchar | 64 | 否 | 否 | 院校名称 |
| 3 | admissions_scores | double | 否 | 否 | 招生分数 | |
| 4 | fill_in_the_professional | varchar | 64 | 否 | 否 | 填报专业 |
| 5 | student_users | int | 否 | 否 | 学生用户 | |
| 6 | student_name | varchar | 64 | 否 | 否 | 学生姓名 |
| 7 | filling_recommendations | text | 65535 | 否 | 否 | 填报建议 |
| 8 | create_time | datetime | 是 | 否 | 创建时间 | |
| 9 | update_time | timestamp | 是 | 否 | 更新时间 |
续表
| 编号 | 字段名 | 类型 | 长度 | 是否非空 | 是否主键 | 注释 |
| 10 | source_table | varchar | 255 | 否 | 否 | 来源表 |
| 11 | source_id | int | 否 | 否 | 来源ID | |
| 12 | source_user_id | int | 否 | 否 | 来源用户 |
表4-5 article(文章)
| 编号 | 字段名 | 类型 | 长度 | 是否非空 | 是否主键 | 注释 |
| 1 | article_id | mediumint | 是 | 是 | 文章id | |
| 2 | title | varchar | 125 | 是 | 是 | 标题 |
| 3 | type | varchar | 64 | 是 | 否 | 文章分类 |
| 4 | hits | int | 是 | 否 | 点击数 | |
| 5 | praise_len | int | 是 | 否 | 点赞数 | |
| 6 | create_time | timestamp | 是 | 否 | 创建时间 | |
| 7 | update_time | timestamp | 是 | 否 | 更新时间 | |
| 8 | source | varchar | 255 | 否 | 否 | 来源 |
| 9 | url | varchar | 255 | 否 | 否 | 来源地址 |
| 10 | tag | varchar | 255 | 否 | 否 | 标签 |
| 11 | content | longtext | 4294967295 | 否 | 否 | 正文 |
| 12 | img | varchar | 255 | 否 | 否 | 封面图 |
| 13 | description | text | 65535 | 否 | 否 | 文章描述 |
表4-6 notice(公告)
| 编号 | 字段名 | 类型 | 长度 | 是否非空 | 是否主键 | 注释 |
| 1 | notice_id | mediumint | 是 | 是 | 公告ID | |
| 2 | title | varchar | 125 | 是 | 否 | 标题 |
| 3 | content | longtext | 4294967295 | 否 | 否 | 正文 |
| 4 | create_time | timestamp | 是 | 否 | 创建时间 | |
| 5 | update_time | timestamp | 是 | 否 | 更新时间 |
学生用户点击注册,进入注册页面,填写好账号、密码、确认密码、昵称、邮箱、身份:学生用户、用户姓名、用户性别、用户电话等字段值,点击下方注册按钮,提示注册成功后,系统将自动跳转回到登录页面。注册界面如图5-1所示。

图5-1 注册界面
注册关键代码如下所示。
| /** * 注册 * @param user * @return */ @PostMapping("register") public Map<String, Object> signUp(@RequestBody User user) { // 查询用户 Map<String, String> query = new HashMap<>(); Map<String,Object> map = JSON.parseObject(JSON.toJSONString(user)); query.put("username",user.getUsername()); List list = service.selectBaseList(service.select(query, new HashMap<>())); if (list.size()>0){ return error(30000, "用户已存在"); } map.put("password",service.encryption(String.valueOf(map.get("password")))); service.insert(map); return success(1); } |
-
-
- 用户登录模块
-
用户点击“登录”按钮,输入用户名、密码、验证码登录系统,登录时前端会自动校验用户名与密码以及该用户是否审核通过,审核通过的用户输入正确登录成功,输入错误会有提示信息。登录界面如图5-2所示。

图5-2 登录界面
登录关键代码如下所示。
| /** * 登录 * @param data * @param httpServletRequest * @return */ @PostMapping("login") public Map<String, Object> login(@RequestBody Map<String, String> data, HttpServletRequest httpServletRequest) { log.info("[执行登录接口]"); String username = data.get("username"); String email = data.get("email"); String phone = data.get("phone"); String password = data.get("password"); List resultList = null; Map<String, String> map = new HashMap<>(); if(username != null && "".equals(username) == false){ map.put("username", username); resultList = service.selectBaseList(service.select(map, new HashMap<>())); } |
-
-
- 首页模块
-
首页模块主要提供系统搜索功能和系统功能导航栏,展示平台的轮播图、最新动态、热门信息、推荐信息等内容。界面如图5-3所示。

图5-3 首页界面
资讯中心模块主要为用户提供高校志愿填报的相关新闻、文章展示和热门资讯推荐,让学生用户快速获取最新资讯,支持点赞、收藏、评论资讯中心。界面如图5-4所示。

图5-4 资讯中心界面
院校信息模块主要为用户提供院校信息展示,支持关键字、排序搜索,学生用户可以浏览院校信息,并点赞、收藏和评论院校信息,实现志愿填报功能。界面如图5-5所示。

图5-5 院校信息界面
查看院校信息关键代码如下所示。
| @RequestMapping("/get_list") public Map<String, Object> getList(HttpServletRequest request) { Map<String, Object> map = service.selectToPage(service.readQuery(request), service.readConfig(request)); return success(map); } @RequestMapping("/get_obj") public Map<String, Object> obj(HttpServletRequest request) { List resultList = service.selectBaseList(service.select(service.readQuery(request), service.readConfig(request))); if (resultList.size() > 0) { JSONObject jsonObject = new JSONObject(); jsonObject.put("obj",resultList.get(0)); return success(jsonObject); } else { return success(null); } } |
个人中心模块主要为用户提供个人首页、志愿填报、填报建议、收藏、评论管理等子菜单功能链接,学生用户可根据需求对其进行管理。具体包括,学生用户可查看院校信息统计图,支持查询和确认志愿填报信息,可查阅填报建议;可查看和删除已收藏的系统信息;可跟踪和查看已发表的评论内容。
例如,当用户点击“志愿填报”按钮,可已经志愿填报展示界面,学生用户可查询和确认已提交的志愿填报信息,并可删除志愿填报。界面如图5-6所示。

图5-6 志愿填报界面
| @RequestMapping("/get_list") public Map<String, Object> getList(HttpServletRequest request) { Map<String, Object> map = service.selectToPage(service.readQuery(request), service.readConfig(request)); return success(map); } @PostMapping("/add") @Transactional public Map<String, Object> add(HttpServletRequest request) throws IOException { service.insert(service.readBody(request.getReader())); return success(1); } public Map<String, Object> addMap(Map<String,Object> map){ service.insert(map); return success(1); } |
例如,当用户点击“填报建议”按钮,可已经填报建议展示界面,学生用户可查收管理员发送的填报建议信息,支持查看填报建议的详细内容。界面如图5-7所示。

图5-7 填报建议界面
查看填报建议关键代码如下所示。
| @RequestMapping("/get_list") public Map<String, Object> getList(HttpServletRequest request) { Map<String, Object> map = service.selectToPage(service.readQuery(request), service.readConfig(request)); return success(map); } |
后台首页是管理员登录后台的起始界面,该界面主要展示系统重要信息概览,提供数据统计分析图(如院校信息统计)界面如图5-8所示。

图5-8 后台首页界面
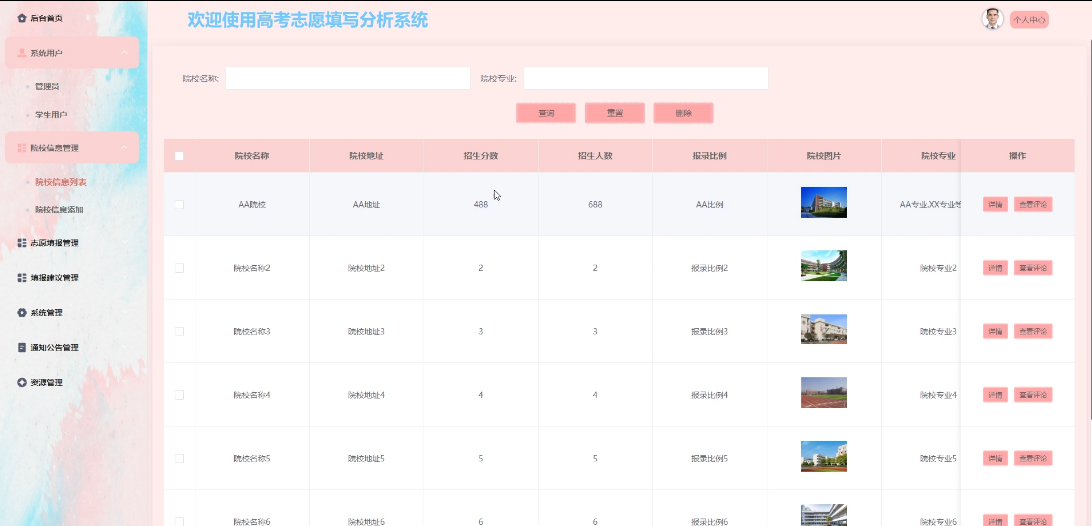
管理员可管理所有院校信息的发布、下架、更新等操作,提供搜索功能,支持查看和管控其评论内容。界面如图5-9所示。

图5-9 院校信息管理界面
院校信息管理关键代码如下所示。
| @PostMapping("/add") @Transactional public Map<String, Object> add(HttpServletRequest request) throws IOException { service.insert(service.readBody(request.getReader())); return success(1); } public Map<String, Object> addMap(Map<String,Object> map){ service.insert(map); return success(1); } @RequestMapping(value = "/del") @Transactional public Map<String, Object> del(HttpServletRequest request) { service.delete(service.readQuery(request), service.readConfig(request)); return success(1); } public void delete(Map<String,String> query,Map<String,String> config){ QueryWrapper wrapper = new QueryWrapper<E>(); toWhereWrapper(query, "0".equals(config.get(FindConfig.GROUP_BY)),wrapper); baseMapper.delete(wrapper); log.info("[{}] - 删除操作:{}",wrapper.getSqlSelect()); } |
管理员可管理所有志愿填报信息,包括查询、删除志愿填报,可查阅学生提交的志愿填报详情,提供填报建议操作。界面如图5-10所示。

图5-10 志愿填报管理界面
志愿填报管理关键代码如下所示。
| @RequestMapping("/get_list") public Map<String, Object> getList(HttpServletRequest request) { Map<String, Object> map = service.selectToPage(service.readQuery(request), service.readConfig(request)); return success(map); } @RequestMapping(value = "/del") @Transactional public Map<String, Object> del(HttpServletRequest request) { service.delete(service.readQuery(request), service.readConfig(request)); return success(1); } public void delete(Map<String,String> query,Map<String,String> config){ QueryWrapper wrapper = new QueryWrapper<E>(); toWhereWrapper(query, "0".equals(config.get(FindConfig.GROUP_BY)),wrapper); baseMapper.delete(wrapper); log.info("[{}] - 删除操作:{}",wrapper.getSqlSelect()); } |
管理员可管理所有填报建议信息,包括查询、更新、删除填报建议,负责更加学生提交的志愿填报信息给予填报建议。界面如图5-11所示。

图5-11 填报建议添加界面
添加填报建议信息关键代码如下所示。
| @PostMapping("/add") @Transactional public Map<String, Object> add(HttpServletRequest request) throws IOException { service.insert(service.readBody(request.getReader())); return success(1); } public Map<String, Object> addMap(Map<String,Object> map){ service.insert(map); return success(1); } |
管理员可管理资讯中心和资讯分类的新增、编辑、删除等操作,提供搜索功能,支持对资讯中心的评论管控和查看。界面如图5-12所示。

图5-12 资源管理界面
在这个产品被投入使用前,首先需要进行试用,这是重要的环节。考虑到某个部分的开发没有缺陷情况下,把各种模块拼接,也有一定概率就存在矛盾。这就好比每个人都很独特,但聚在一起就显得杂乱无章,需要保证有默契的配合。对于测试,要看它的各项内容是否契合的原则[10]。若与最初定下的标准有一定程度上的出入,那么就需要做出一些调整,让最终的大方向朝着目标前进。
测试是为了发现在开发的程序中所存在的问题,测试这一工作是非常艰巨的,而又是非常困难的,这一部分在程序的设计中占有很大比例,可以说一个程序的开发工作量要是占据了百分至六十,那么剩下的百分之四十必然是测试这一部分,甚至更高。
用户注册功能测试用例如表6-1所示。
表6-1 用户注册功能测试表
| 测试编号 | 测试描述 | 预期结果 | 测试方法 | 测试结果 |
| TC_01 | 正常用户注册 | 用户注册成功,跳转至登录页面 | 输入所有必填项并提交 | 符合预期 |
| TC_02 | 注册时用户名已存在 | 提示“用户名已被注册” | 输入已存在的用户名 | 符合预期 |
| TC_03 | 注册时邮箱格式错误 | 提示“邮箱格式不正确” | 输入错误格式的邮箱 | 符合预期 |
| TC_04 | 必填项未填写 | 提示“请填写所有必填信息” | 不填写必要信息 | 符合预期 |
- 用户登录功能测试
用户登录功能测试用例如表6-2所示。
表6-2 用户登录功能测试表
| 测试编号 | 测试描述 | 预期结果 | 测试方法 | 测试结果 |
| TC_01 | 正常用户登录 | 用户成功登录,进入用户首页 | 输入有效的用户名和密码 | 符合预期 |
| TC_02 | 输入错误密码进行登录 | 提示“用户名或密码错误” | 输入有效用户名,错误密码 | 符合预期 |
| TC_03 | 输入未注册的用户名登录 | 提示“用户不存在” | 输入未注册的用户名 | 符合预期 |
| TC_04 | 密码为空时登录 | 提示“请填写密码” | 仅输入用户名 | 符合预期 |
- 院校信息管理功能测试
院校信息管理功能测试用例如表6-3所示。
表6-3 院校信息管理功能测试表
| 测试编号 | 测试描述 | 预期结果 | 测试方法 | 测试结果 |
| TC_01 | 查看院校信息列表 | 成功显示所有院校信息内容 | 进入院校信息管理页面 | 符合预期 |
| TC_02 | 管理员添加新院校信息内容 | 成功添加院校信息内容并提示“信息已添加” | 进入院校信息添加界面,输入院校信息并提交 | 符合预期 |
| TC_03 | 搜索特定院校信息内容 | 成功显示符合条件的院校信息内容 | 输入院校信息名称进行搜索 | 符合预期 |
| TC_04 | 删除院校信息内容 | 成功删除院校信息,并提示“信息已删除” | 选择院校信息内容并执行删除操作 | 符合预期 |
| TC_05 | 编辑院校信息内容 | 成功编辑院校信息内容并提示“修改成功” | 进入详情页界面,修改某一院校信息内容并提交 | 符合预期 |
- 志愿填报管理功能测试
志愿填报管理功能测试用例如表6-4所示。
表6-4 志愿填报管理功能测试表
| 测试编号 | 测试描述 | 预期结果 | 测试方法 | 测试结果 |
| TC_01 | 查看志愿填报列表 | 成功显示所有志愿填报信息 | 进入志愿填报管理页面 | 符合预期 |
| TC_02 | 学生用户添加新志愿填报信息 | 成功添加志愿填报信息并提示“信息已添加” | 进入志愿填报添加界面,输入志愿填报信息并提交 | 符合预期 |
| TC_03 | 搜索特定志愿填报信息 | 成功显示符合条件的志愿填报信息 | 输入志愿填报名称进行搜索 | 符合预期 |
| TC_04 | 删除志愿填报信息 | 成功删除志愿填报信息,并提示“信息已删除” | 选择志愿填报并执行删除操作 | 符合预期 |
| TC_05 | 编辑志愿填报信息 | 成功编辑志愿填报并提示“修改成功” | 进入详情页界面,修改某一志愿填报信息并提交 | 符合预期 |
- 填报建议管理功能测试
填报建议管理功能测试用例如表6-5所示。
表6-5 填报建议管理功能测试表
| 测试编号 | 测试描述 | 预期结果 | 测试方法 | 测试结果 |
| TC_01 | 查看填报建议列表 | 成功显示所有填报建议信息 | 进入填报建议管理页面 | 符合预期 |
| TC_02 | 管理员添加新填报建议 | 成功添加填报建议信息并提示“信息已添加” | 进入填报建议添加界面,输入填报建议信息并提交 | 符合预期 |
续表
| 测试编号 | 测试描述 | 预期结果 | 测试方法 | 测试结果 |
| TC_03 | 搜索特定填报建议 | 成功显示符合条件的填报建议信息 | 输入填报建议名称进行搜索 | 符合预期 |
| TC_04 | 删除填报建议 | 成功删除填报建议信息,并提示“信息已删除” | 选择填报建议并执行删除操作 | 符合预期 |
| TC_05 | 编辑填报建议 | 成功编辑填报建议并提示“修改成功” | 进入详情页界面,修改某一填报建议信息并提交 | 符合预期 |
- 资讯中心管理功能测试
资讯中心管理功能测试用例如表6-6所示。
表6-6 资讯中心管理功能测试表
| 测试编号 | 测试描述 | 预期结果 | 测试方法 | 测试结果 |
| TC_01 | 查看资讯中心列表 | 成功显示所有资讯中心内容 | 进入资讯中心管理页面 | 符合预期 |
| TC_02 | 管理员添加新资讯中心内容 | 成功添加资讯中心并提示“信息已添加” | 进入资讯中心添加界面,输入资讯中心内容并提交 | 符合预期 |
| TC_03 | 搜索特定资讯中心内容 | 成功显示符合条件的资讯中心内容 | 输入资讯中心名称进行搜索 | 符合预期 |
| TC_04 | 删除资讯中心内容 | 成功删除资讯中心内容,并提示“信息已删除” | 选择资讯中心并执行删除操作 | 符合预期 |
| TC_05 | 编辑资讯中心内容 | 成功编辑资讯中心并提示“修改成功” | 进入详情页界面,修改某一资讯中心内容并提交 | 符合预期 |
在本次测试中主要对用户注册、用户登录、院校信息管理、志愿填报管理、填报建议管理、资讯中心管理等模块业务流程操作,进行测试分析并编写测试用例。经过严格的测试,各测试用例都已通过,能够保证本次设计且已实现的功能能够正常运行,操作简单流畅,性能良好,能够满足管理业务需求,同时确保相关数据库的信息也同样正确无误,实现了本论文开始时所作要求和期望。
本高考志愿填写分析系统毕业设计项目已成功落下帷幕,这一成果不仅是对开发者技术实力与业务理解能力的全面展现,也是对传统高考志愿填报领域和教育行业数字化转型的一次积极探索。
本次毕业设计充分利用了SpringBoot框架的灵活性与高效性,通过模块化设计与微服务架构,实现了院校信息的全面管理、精准搜索与便捷志愿填报和填报建议等功能。系统界面友好直观,操作流程简洁明了,为用户提供了极佳的使用体验。同时,通过深入挖掘用户需求与市场趋势,系统不仅满足了用户的实际需求,还通过数据分析与可视化展示等功能,为用户和管理者的市场洞察与决策支持提供了有力工具。通过对数据库索引、缓存机制等精心优化,系统性能得到了显著提升,确保了高并发场景下的稳定运行。而且通过实施严格的数据加密策略、访问控制机制及日志审计功能,系统有效防范了数据泄露与非法访问等安全风险。
总的来说,通过本次研究,成功基于SpringBoot搭建了一套功能齐全且操作简便的高考志愿填写分析系统,实现了丰富的功能并取得了一定的成果。在未来的发展中,将继续优化系统功能和用户体验,不断提升系统的性能和稳定性,为高考志愿填写分析系统的长期发展和用户需求提供更好的服务和支持。
- 韦珍娜, 陈宇佳. 基于SpringBoot的服装租赁系统设计 [J]. 电脑编程技巧与维护, 2025, (01): 35-38. DOI:10. 16184/j. cnki. comprg. 2025. 01. 005.
- 姚佰允, 张豪, 杜瑞庆. 基于SpringBoot与Vue的学院人员管理系统设计与实现 [J]. 无线互联科技, 2025, 22 (02): 78-83.
- 谢海明 , 张佐中, 林顺福. 基于自动化技术的MySQL故障处理系统的设计与实现[J]. 电脑知识与技术, 2024, 20(33): 73-75. DOI:10. 14004/j. cnki. ckt. 2024. 1721.
- 陈芳. 基于MySQL数据库的数据录入系统设计研究[J]. 科技资讯, 2024, 22(20): 35-37. DOI:10. 16661/j. cnki. 1672-3791. 2405-5042-7194.
- 谢帅虎. 基于Java语言的翻页功能接口程序设计与实现[J]. 数字通信世界, 2024, (11):92-94.
- 贾琴. Java编程语言的应用策略分析[J]. 集成电路应用, 2024, 41(10):84-85. DOI:10. 19339/j. issn. 1674-2583. 2024. 10. 034.
- 张靖旭, 曾晓晶, 郭玉坤. 基于SpringBoot的校园植物信息网建设研究 [J]. 信息与电脑(理论版), 2024, 36 (22): 119-121.
- 戴亚哲, 李尤, 赵利宏, 等. 基于SpringBoot+Vue的文旅平台设计与研究 [J]. 无线互联科技, 2024, 21 (21): 70-72.
- 朴明, 邱翠花, 苗子. 基于SpringBoot+小程序的信息采集系统设计与实现 [J]. 电子技术, 2024, 53 (10): 47-49.
- 赵彩霞, 张栽培, 杨璇. 基于Java编程导航学习平台开发设计的研究[J]. 家电维修, 2024, (03): 62-64.
- 温创新, 谢莎, 何雅婷. 基于微服务架构的新高考志愿填报推荐系统设计[J]. 科技创新与应用, 2025, 15(10):28-33. DOI:10. 19981/j. CN23-1581/G3. 2025. 10. 007.
- 赵嘉凤. 深刻认识新高考志愿填报与未来就业的关系[N]. 贵州民族报, 2025-03-25(B02).
- 王威. 人工智能技术在高考志愿填报中的个性化推荐:技术实现与前景展望[J]. 湖北招生考试, 2024, (06): 24-29.
- 沈睿扬, 任文韬, 陆家铭, 等. 高考志愿填报管理系统的设计与实现[J]. 福建电脑, 2024, 40(10): 99-102. DOI:10. 16707/j. cnki. fjpc. 2024. 10. 020.
- 李俊锟, 李学俊, 王桂娟, 等. 基于个性化排名算法的高考志愿可视推荐研究[J]. 计算机技术与发展, 2025, 35(01):200-207. DOI:10. 20165/j. cnki. ISSN1673-629X. 2024. 0285.
- 蒲骁旻. 基于Web服务和Docker容器技术的新高考志愿填报辅助系统[J]. 智能物联技术, 2024, 56(04):103-106.
- SomyürekS , AksoyN . Navigating academia: Designing and evaluating a multidimensional recommendation system for university and major selection[J]. Psychology in the Schools, 2024, 61(9): 3748-3769.
- Christine L , Sherin M , Charbel O , et al. A comparative analysis of different recommender systems for university major and career domain guidance[J]. Education and Information Technologies, 2022, 28(7): 8733-8759.
- 万宏宇. 基于SpringBoot的高考志愿填报辅助平台的设计与实现[D]. 首都经济贸易大学, 2022. DOI:10. 27338/d. cnki. gsjmu. 2022. 000643.
- 陈先锋. 新高考志愿填报分析系统的设计与实现[D]. 厦门大学, 2022. DOI:10. 27424/d. cnki. gxmdu. 2022. 003364.
在完成本次 SpringBoot 高考志愿填写分析系统毕业设计的过程中,我收获了诸多宝贵的经验,也感受到了成长的喜悦,也深刻体会到理论与实践相结合的重要性。在这里我特别感谢我毕设的导师。在整个毕设过程中老师不但给我指明方向也给予我专业的指导,给了我很大的帮助也让我在探索中不断突破自我不断提升我的专业能力,更让我学会了如何以科学的方法解决问题。
我也感谢学校为我提供了一个良好的学习环境和丰富的资源支持。让我得以接触到前沿的技术知识和开发工具,为毕业设计的顺利开展奠定了坚实基础。在开发过程中,我遇到了许多技术难题,但通过查阅大量文献资料和反复实践,我逐渐找到了解决方法。这一过程不仅锻炼了我的自主学习能力,也让我深刻体会到知识的力量。
最后我要感谢我的家人和亲朋们。在我为毕业设计忙碌的日子里,他们始终给予我无条件的支持和鼓励。他们的理解让我能够在紧张的学习中保持良好的心态,专注于项目的每一个细节。这份毕业设计是我大学生用户活的完美收官,也是我人生旅程中的一个重要里程碑。我将带着这份成长和感恩,继续在未来的道路上努力前行。
免费领取项目源码,请关注❥点赞收藏并私信博主,谢谢~
1132

被折叠的 条评论
为什么被折叠?



