目 录
摘 要
随着城市化进程的加快,房屋租赁市场迅速扩大,但传统的租赁方式由于信息更新滞后、房源真实性难以保障以及租户与房东之间缺乏有效的沟通机制等弊端,导致租赁效率低下和用户体验不佳。例如,信息不对称使得租客很难快速找到合适的房源,而房东也面临难以筛选合适租客的问题。此外,传统租赁模式中合同管理不便、支付流程复杂等问题进一步增加了交易风险。为解决这些问题,我们设计并开发了一个基于Flask框架的大数据房屋租赁服务系统。该系统采用Python语言编写,结合MySQL数据库进行数据存储,并利用大数据技术实现对海量房源信息和用户行为数据的分析处理,从而提高平台的服务质量和运营效率。
此系统不仅实现了房源推荐优化、用户行为分析、租赁趋势预测等功能,还支持多角色协同管理,包括管理员、普通用户和房东用户。对于管理员而言,能够进行用户审核、房源信息管理、预约与订单监管等多项任务;普通用户可以便捷地浏览房源、预约看房、在线签约及提交维修申请;房东用户则可发布与管理房源、处理预约入住申请、发送账单等。通过这一系统,不仅能提升房屋租赁服务的信息化管理水平,还能增强平台的数据分析能力和服务用户的水平,最终达到优化资源配置、提高租赁效率的目的。系统的开发应用标志着房屋租赁行业迈向更加智能化、高效化的新阶段。
关键词:flask框架,房屋租赁服务系统;大数据技术;
With the acceleration of urbanization, the housing rental market is rapidly expanding. However, traditional rental methods suffer from low rental efficiency and poor user experience due to outdated information updates, difficulty in ensuring the authenticity of housing sources, and a lack of effective communication mechanisms between tenants and landlords. For example, information asymmetry makes it difficult for tenants to quickly find suitable housing, and landlords also face the problem of difficulty in screening suitable tenants. In addition, the problems of inconvenient contract management and complex payment processes in traditional leasing models further increase transaction risks. To address these issues, we have designed and developed a big data housing rental service system based on the Flask framework. The system is written in Python language, combined with MySQL database for data storage, and uses big data technology to analyze and process massive housing information and user behavior data, thereby improving the platform's service quality and operational efficiency.
This system not only implements functions such as optimizing housing recommendations, analyzing user behavior, and predicting rental trends, but also supports multi role collaborative management, including administrators, regular users, and landlord users. For administrators, they can perform multiple tasks such as user review, property information management, appointment and order supervision; Ordinary users can conveniently browse properties, make appointments for viewing, sign contracts online, and submit maintenance applications; Landlord users can publish and manage their properties, process reservation applications, send bills, and more. Through this system, not only can the information management level of housing rental services be improved, but the platform's data analysis capabilities and user service level can also be enhanced, ultimately achieving the goal of optimizing resource allocation and improving rental efficiency. The development and application of the system marks a new stage in the housing rental industry towards greater intelligence and efficiency.
Keywords: Flask framework, housing rental service system; Big data technology;
- 绪 论
- 研究背景及意义
随着城市化进程的不断加快和人口流动性的增强,房屋租赁市场迎来了前所未有的发展机遇。然而,传统的房屋租赁方式在面对快速增长的需求时暴露出了一系列问题。信息更新滞后导致租客难以及时获取最新的房源信息,房源真实性难以保障使得虚假房源泛滥,增加了租客找到合适住房的难度;租户与房东之间缺乏有效的沟通机制,不仅影响了双方的信任建立,也阻碍了租赁过程中的问题快速解决。这些问题共同作用,导致租赁效率低下、交易风险增加,严重影响了用户的租赁体验和平台的整体运营效率。
为了应对这些挑战,提升房屋租赁市场的透明度和服务质量,引入先进的信息技术解决方案。基于大数据技术构建的房屋租赁服务系统,能够通过收集和分析海量的房源信息和用户行为数据,提供精准的房源推荐,优化用户搜索体验,并利用数据分析预测租赁趋势,为用户提供更加个性化的服务。因此,提出了基于Flask框架的大数据房屋租赁服务系统这一研究课题。该系统旨在通过集成现代化的信息技术手段,如Python语言开发、MySQL数据库支持及大数据处理技术的应用,实现一个集高效信息管理、智能匹配、在线交互与深度数据分析于一体的综合服务平台,从而显著提升房屋租赁服务的智能化水平和用户体验。
从商家角度来看,基于Flask框架的大数据房屋租赁服务系统的开发极大地提升了运营效率和服务质量。通过大数据技术对用户行为和市场趋势的深度分析,商家能够更精准地了解市场需求,优化房源推荐策略,提高房源曝光率和出租率。系统支持多角色协同管理,使得商家可以高效处理房源信息更新、预约与订单监管、合同在线签署等事务,简化了日常操作流程。对于消费者而言,该系统提供了一个透明、便捷的租房环境。利用大数据技术根据用户的偏好和历史行为推荐最合适的房源,减少租客搜索时间成本,并通过实现在线签约、维修请求提交及账单支付等功能简化租房流程,提高了整体满意度和信任度。
从行业发展角度来看,该系统的推广使用有助于推动房屋租赁行业的数字化转型和标准化建设。借助大数据提升服务质量,促进租赁市场的透明度和规范化,有利于建立健康有序的市场环境。此外,智能匹配和预测模型等先进技术手段的应用不仅促进了租赁信息的有效流动,也为行业带来了创新的服务模式和发展机遇。这将吸引更多资本和技术投入,加速房屋租赁行业的创新发展步伐,为构建智慧城市提供强有力的支持。通过这一系统,整个行业能够向着更加智能化、高效化的方向发展,满足日益增长的市场需求。
在国内,随着信息技术的迅猛发展和互联网普及率的提高,房屋租赁服务系统的开发与应用逐渐受到重视。近年来,国内在大数据、人工智能等前沿技术的研究与应用方面取得了显著进展,这些技术也被广泛应用于房屋租赁行业,以提升服务质量和用户体验。例如,“贝壳找房”系统就是一个成功的案例,它利用大数据分析用户偏好,提供个性化的房源推荐,并通过智能客服解决租客疑问,提高了用户的满意度。然而,尽管该系统在个性化服务方面表现出色,但在数据安全和隐私保护上仍面临挑战,需要进一步强化。
国外的研究同样注重技术创新在房屋租赁服务中的应用。以美国的“Zillow”为例,它不仅提供了详尽的房源信息,还通过机器学习算法预测房价走势,为用户提供投资建议。Zillow的优势在于其强大的数据分析能力和广泛的市场覆盖范围,能够为用户提供全面的信息支持。不过,Zillow也存在一些不足之处,比如对于非英语使用者来说,界面语言的局限性可能影响用户体验;另外,在某些地区的数据更新速度较慢,可能导致信息滞后的问题。
总体而言,国内外在房屋租赁服务系统的开发上都取得了重要进展,但各有侧重。国内的研究更倾向于利用大数据进行个性化服务的优化,强调用户体验和服务效率的提升;而国外则更多地关注于利用先进的算法和技术来增强数据处理能力,以及提供更为专业的市场分析工具。无论是国内还是国外,这些系统都在不断迭代升级中,努力克服现有不足,如数据安全、隐私保护、语言障碍以及信息更新速度等问题,以更好地服务于广大用户群体。未来的发展趋势将是进一步加强跨学科合作,结合多领域的技术优势,共同推动房屋租赁服务系统的创新与发展。
本论文共分为七个主要章节,具体结构如下:
1. 绪论:介绍研究背景与意义,回顾国内外研究现状,并概述论文的组织结构。
2. 相关技术介绍:本章节将对房屋租赁服务系统的实现关键技术进行简要介绍。
3. 需求分析:对系统的功能需求和非功能需求进行分析,明确用户和管理员的需求,并进行可行性分析,包括技术、操作和经济可行性。
4. 系统设计:涵盖系统架构设计、系统模块设计,并进行数据库的概念设计与表设计。
5. 系统实现:具体描述各个功能模块的实现过程,展示系统如何根据需求进行开发。
6. 系统测试:阐述测试的目的,分析测试结果并得出结论,以验证系统的稳定性和功能完整性。
7. 总结:总结研究的主要成果和贡献,指出存在的不足及未来的研究方向。
B/S体系[1],即Browser/Server体系,是一种常见的网络应用程序架构。其工作原理基于客户端与服务器之间的请求-响应模型。用户通过浏览器向服务器发送请求,服务器接收到请求后进行处理,并生成相应的响应结果,最终将响应返回给客户端。浏览器接收到服务器返回的响应后,解析其中的标记语言(如HTML[2]),并根据CSS样式表和PythonScript脚本来渲染页面,呈现给用户。用户可以与页面进行交互,例如点击链接、填写表单等操作,这些操作会触发新的请求,循环执行上述过程。
Flask是一个使用Python编写的轻量级Web应用框架[3]。它设计简单,易于扩展,非常适合开发小型到中型的Web应用。Flask的核心非常简洁,只包含基本的路由和WSGI(Web Server Gateway Interface)功能,但可以通过扩展来增加其他功能,如数据库支持、表单处理、会话管理等。
Flask的灵活性是其一大特点。开发者可以自由地选择和使用各种第三方库和扩展,以满足项目的特定需求。这种灵活性使得Flask能够很好地适应不同的开发场景和项目规模[4]。
Flask还拥有一个活跃的社区和丰富的文档资源。社区中的开发者们积极分享经验、解决问题,为新手提供了良好的学习环境和支持。文档则详细记录了Flask的使用方法和最佳实践,帮助开发者更快地掌握和应用这个框架。
MySQL是一种广泛使用的开源关系型数据库管理系统[5](RDBMS),其稳定性、可靠性和卓越性能使其成为众多应用程序的首选数据库。MySQL支持标准SQL语法,并提供丰富的功能和特性,如事务处理、触发器和存储过程等,以满足开发者对数据管理和操作的需求。MySQL具有良好的可扩展性,支持主从复制、分布式架构和集群部署,适用于各种规模和负载的应用场景。作为一个开源项目,MySQL拥有庞大的用户社区和活跃的开发者社区,为用户提供了丰富的文档、教程和支持资源。总之,MySQL是一款可靠、强大且灵活的关系型数据库管理系统[6],通过其卓越性能和可扩展性,帮助开发者高效地管理和操作数据,并得到了广大用户的认可和应用。
Python是一种简洁易读、跨平台且功能强大的编程语言[7]。它拥有庞大而活跃的社区,提供了丰富的第三方库和框架,如NumPy、Pandas和flask,使开发人员能够快速构建各种应用程序。Python在数据处理和科学计算方面表现出色,通过相关库和工具,可以进行数据分析、机器学习和科学计算等任务。此外,Python广泛应用于Web开发[8]、自动化脚本、网络爬虫等领域,其多样性使其成为一个全能的编程语言。无论你是初学者还是有经验的开发者,Python的简单语法、跨平台性以及强大的社区支持都能为你提供高效、优雅和可靠的编程体验。总之,Python是一个强大而灵活的编程语言,深受开发人员喜爱,并在各个领域得到广泛应用。
在技术可行性方面,选择使用Python作为开发语言,结合相应的框架flask,以实现系统的功能需求。Python作为一种简洁而强大的编程语言,具有丰富的库支持和成熟的开发社区,可以满足房屋租赁服务系统的开发需求。flask作为Python的Web框架,提供了高度可扩展的开发环境,使得系统的设计和实现更加便捷和高效。
本系统开发过程中采用了开源技术栈,有效降低了软件授权费用及工具采购成本。通过应用Flask框架,简化了开发流程,缩短了项目周期,并减少了人力资源的投入。此外,利用云计算资源部署系统,能够根据实际需求灵活调整服务器配置,从而进一步降低硬件成本。
从社会可行性来看,房屋租赁服务系统具有较好的适应性和社会价值。随着城市化进程的推进,房屋租赁需求日益增加,智能化、数据化的租赁平台能够提升市场的透明度,降低信息不对称,促进租赁市场的规范化。大数据技术使得房东和租客可以更高效地进行信息交换,减少交易中的纠纷。该系统有助于改善社会资源的配置效率,促进租赁行业的公平竞争,同时提升用户的满意度和信任感,推动社会服务的发展。
在操作可行性方面,本系统设计注重用户体验,采用了直观易用的界面设计,并提供详细的帮助文档支持,确保用户可以轻松上手使用各项功能。无论是用户还是后台管理员,都能通过简洁明了的操作流程完成信息查询和管理等任务。因此,从用户操作的角度来看,本系统具备良好的操作可行性。
房屋租赁服务系统划分为了前端模块和后端模块两大部分。
前端普通用户模块:
注册登录:新用户需通过手机号验证或第三方授权(微信/支付宝)完成注册,已普通用户可通过账号密码或短信验证码登录系统,支持找回密码功能
首页:展示智能推荐房源轮播图、常用功能快捷入口(看房预约、维修申报等)、近期活动推广位及城市区域筛选导航栏
网站公告:滚动显示平台运营公告、系统维护通知及重要政策变更信息,用户可点击查看历史公告存档
平台资讯:每日更新行业动态、租房指南、装修知识等原创内容,包含图文混排展示和专题分类检索功能
房源信息:支持多条件组合搜索(价格区间/房型/地段/配套设施),查看360°全景看房图及视频介绍,在线预约实地看房时间,提交电子版入住申请材料(身份证/工作证明等)
我的账户:提供安全中心模块,可修改头像/昵称/联系方式等个人资料,设置双重认证,定期更新登录密码和支付密码
个人中心:个人中心集成用户的预约记录、订单状态、维修进度、账单明细、评论反馈等内容,支持在线签约功能,用户可查看、审核并下载合同,实现一站式租房事务管理。
后端房东用户模块:
注册登录:房东在注册后需要经过管理员审核,审核通过后才能登录平台。
房源信息管理:房东可以查询、重置、删除或添加房源信息,并查看房源的评论。
房屋类型管理:房东可以管理房屋类型,确保信息准确。
预约信息管理:房东可以查看用户的预约信息,并进行审核和回复。
订单信息管理:房东可以查看用户的入住申请,并进行审核和回复。
在线签约管理:房东可以对入住申请审核通过的用户发送签约合同,并进行在线签约。
维修信息管理:房东可以查看用户上报的维修信息,并进行审核处理。
账单信息管理:房东可以向用户发送账单信息,包括租金、金额、时间等内容。
评价反馈管理:房东可以查看评价反馈,了解用户的意见与建议。
后端管理员模块:
登录:管理员通过专门的管理后台进行登录操作,进入管理系统。
后台首页:管理员进入系统后,能够查看系统的整体状态、活动数据等信息。
系统用户:管理员负责管理平台各类用户账号(普通用户、房东用户、管理员),包括审核房东注册申请、执行账号的增删改查操作,确保用户信息的合法性与平台安全性。
房源信息管理:管理员能够查询、查看房源详情,并审核房东发布的房源信息,同时查看房源的评论。
房屋类型管理:管理员可以对房屋类型进行管理,确保信息的准确性。
预约信息管理:管理员可以查询预约信息,查看详情并进行监管。
订单信息管理:管理员可以查询订单详情并进行监管。
在线签约管理:管理员可以查询在线签约的信息并进行监管。
维修信息管理:管理员可以查询、查看和监管用户提交的维修信息。
账单信息管理:管理员可以查询账单信息,查看详情并进行监管。
评价反馈管理:管理员可以查询和监管用户的评价和反馈,确保平台的服务质量。
系统管理:管理员可以管理平台的轮播图、网站公告等内容。
资源管理:管理员可以管理平台资讯,分类资讯信息,并查看评论。
房屋租赁服务系统的非功能性需求比如房屋租赁服务系统的安全性怎么样,可靠性怎么样,性能怎么样,可拓展性怎么样等,具体可以表示在如下3-1表格中:
表3-1房屋租赁服务系统非功能需求表
| 安全性 | 主要指房屋租赁服务系统数据库的安装,数据库的使用和密码的设定必须合乎规范。 |
| 可靠性 | 可靠性是指房屋租赁服务系统能够安装用户的指示进行操作,经过测试,可靠性90%以上。 |
| 性能 | 性能是影响房屋租赁服务系统占据市场的必要条件,所以性能最好要佳才好。 |
| 可扩展性 | 比如数据库预留多个属性,比如接口的使用等确保了系统的非功能性需求。 |
| 易用性 | 用户只要跟着房屋租赁服务系统的页面展示内容进行操作,就可以了。 |
| 可维护性 | 房屋租赁服务系统开发的可维护性是非常重要的,经过测试,可维护性没有问题 |
房屋租赁服务系统的完整UML用例图分别是图3-1、3-2、3-3。
普通用户角色用例如下图所示。

-
-
-
-
- 房屋租赁服务系统普通用户角色用例图
-
-
-
管理员角色用例如下图所示。

-
-
-
-
- 房屋租赁服务系统管理员角色用例图
-
-
-
房东用户角色用例如下图所示。

系统开发流程的主要步骤,从需求分析到系统完成的全过程。流程包括需求分析、总体设计(结构、功能、数据)、详细设计(模块、编码)、模块整合与调用,以及测试、扩展和完善,最终完成系统的开发。本系统的开发流程如下图所示

-
-
-
-
- 系统开发流程图
-
- 用户登录流程
-
-
用户输入用户名和密码后,系统先检查输入是否为空,再验证用户名是否存在,若存在则通过用户名获取密码并校验。若密码正确则登录成功,否则提示密码错误。若用户名不存在或无法登录,提示用户操作无效。如下图所示。

-
-
-
-
- 登录流程图
-
- 系统操作流程
-
-
用户首先进入系统登录界面,输入用户名和密码后,系统验证信息是否正确。若验证失败,返回登录界面重新输入,若验证成功,则进入功能界面,执行相应功能处理后结束操作流程。操作流程如下图所示。

-
-
-
-
- 系统操作流程图
-
- 添加信息流程
-
-
管理员可以添加信息,用户添加可以自己权限内的信息,输入信息后,要想利用这个软件来进行系统的安全管理,首先需要登录到该软件中。添加信息流程如下图所示。

-
-
-
-
- 添加信息流程图
-
-
-
用户首先选择需要修改的记录,输入修改后的数据,系统判断输入数据是否合法。若数据不合法,提示重新输入,若数据合法,则将修改后的数据写入数据库,完成操作后流程结束。修改信息流程图如下图所示。

-
-
-
-
- 修改信息流程图
-
- 删除信息流程
-
-
用户选择需要删除的记录后,系统判断是否确认删除。若未确认,返回选择环节,若确认删除,则更新数据库,删除对应记录,完成操作后流程结束。删除信息流程图如下图所示。

-
-
-
-
- 删除信息流程图
-
- 用户入住申请操作流程
-
-
当用户登录系统的时候,浏览房源信息,查看详情并进行入住申请,房东在后端处理申请。用户申请入住操作流程如图下所示。

-
-
-
-
- 操作流程图
-
-
-
- 总体设计
本章主要讨论的内容包括房屋租赁服务系统的功能模块设计、数据库系统设计。
本房屋租赁服务系统从架构上分为三层:表现层(UI)、业务逻辑层(BLL)以及数据层(DL)。

-
-
-
-
- 房屋租赁服务系统架构设计图
-
-
-
表现层(UI):也称为用户界面层,它负责与用户进行直接的交互。一个优秀的UI设计能够显著提升用户的体验,确保用户在使用房屋租赁服务系统时感到舒适和便捷。为了确保良好的兼容性,UI界面设计需要适应不同版本的平台和各种屏幕尺寸的分辨率。此外,UI交互功能必须合理设计,确保用户的操作能够得到相应的反馈和结果,这要求表现层与业务逻辑层之间保持良好的通信和协同工作。
业务逻辑层(BLL):这一层主要处理房屋租赁服务系统的数据和业务逻辑。当用户通过表现层提交数据时,业务逻辑层会接收这些数据,进行处理,并将结果传递给数据层进行存储或查询。同时,当系统需要从数据层读取数据时,业务逻辑层会处理这些数据,并将其传递给表现层进行展示。
数据层(DL):虽然本房屋租赁服务系统的数据存储在服务端的MySQL数据库中,但数据层仍然作为一个独立的部分存在。它的主要功能是存储和管理房屋租赁服务系统的数据。数据层与MySQL数据库进行交互,执行数据的增、删、改、查等操作,确保数据的完整性和安全性。
这三个层次相互独立但又紧密协作,共同构成了房屋租赁服务系统的完整架构。通过合理的分层设计,可以提高系统的可维护性、可扩展性和可重用性,为用户提供更好的服务和体验。
在上一章节中主要对系统的功能性需求和非功能性需求进行分析,并且根据需求分析了本房屋租赁服务系统中的用例。那么接下来就要开始对本房屋租赁服务系统的架构、主要功能和数据库开始进行设计。房屋租赁服务系统根据前面章节的需求分析得出,房屋租赁服务系统的功能模块图如下图所示。

-
-
-
-
- 房屋租赁服务系统功能模块图
-
-
- 数据库设计
-
数据库设计一般包括需求分析、概念模型设计、数据库表建立三大过程,其中需求分析前面章节已经阐述,概念模型设计有概念模型和逻辑结构设计两部分。
-
-
- 数据库概念结构设计
-
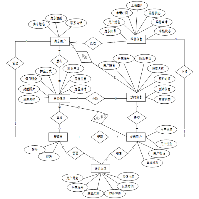
下面是整个房屋租赁服务系统中主要的数据库表总E-R实体关系图。

-
-
-
-
- 房屋租赁服务系统总E-R关系图
-
- 数据库逻辑结构设计
-
-
通过上一小节中房屋租赁服务系统中总E-R关系图上得出一共需要创建多个数据表。在此主要罗列几个主要的数据库表结构设计。
| 编号 | 字段名 | 类型 | 长度 | 是否非空 | 是否主键 | 注释 |
| 1 | token_id | int | 是 | 是 | 临时访问牌ID | |
| 2 | token | varchar | 64 | 否 | 否 | 临时访问牌 |
| 3 | info | text | 65535 | 否 | 否 | 信息 |
| 4 | maxage | int | 是 | 否 | 最大寿命:默认2小时 | |
| 5 | create_time | timestamp | 是 | 否 | 创建时间 | |
| 6 | update_time | timestamp | 是 | 否 | 更新时间 | |
| 7 | user_id | int | 是 | 否 | 用户编号 |
表 4-2-article(文章)
| 编号 | 字段名 | 类型 | 长度 | 是否非空 | 是否主键 | 注释 |
| 1 | article_id | mediumint | 是 | 是 | 文章id | |
| 2 | title | varchar | 125 | 是 | 是 | 标题 |
| 3 | type | varchar | 64 | 是 | 否 | 文章分类 |
| 4 | hits | int | 是 | 否 | 点击数 | |
| 5 | praise_len | int | 是 | 否 | 点赞数 | |
| 6 | create_time | timestamp | 是 | 否 | 创建时间 | |
| 7 | update_time | timestamp | 是 | 否 | 更新时间 | |
| 8 | source | varchar | 255 | 否 | 否 | 来源 |
| 9 | url | varchar | 255 | 否 | 否 | 来源地址 |
| 10 | tag | varchar | 255 | 否 | 否 | 标签 |
| 11 | content | longtext | 4294967295 | 否 | 否 | 正文 |
| 12 | img | varchar | 255 | 否 | 否 | 封面图 |
| 13 | description | text | 65535 | 否 | 否 | 文章描述 |
表 4-3-article_type(文章分类)
| 编号 | 字段名 | 类型 | 长度 | 是否非空 | 是否主键 | 注释 |
| 1 | type_id | smallint | 是 | 是 | 分类ID | |
| 2 | display | smallint | 是 | 否 | 显示顺序 | |
| 3 | name | varchar | 16 | 是 | 否 | 分类名称 |
| 4 | father_id | smallint | 是 | 否 | 上级分类ID | |
| 5 | description | varchar | 255 | 否 | 否 | 描述 |
| 6 | icon | text | 65535 | 否 | 否 | 分类图标 |
| 7 | url | varchar | 255 | 否 | 否 | 外链地址 |
| 8 | create_time | timestamp | 是 | 否 | 创建时间 | |
| 9 | update_time | timestamp | 是 | 否 | 更新时间 |
表 4-4-auth(用户权限管理)
| 编号 | 字段名 | 类型 | 长度 | 是否非空 | 是否主键 | 注释 |
| 1 | auth_id | int | 是 | 是 | 授权ID | |
| 2 | user_group | varchar | 64 | 否 | 否 | 用户组 |
| 3 | mod_name | varchar | 64 | 否 | 否 | 模块名 |
| 4 | table_name | varchar | 64 | 否 | 否 | 表名 |
| 5 | page_title | varchar | 255 | 否 | 否 | 页面标题 |
| 6 | path | varchar | 255 | 否 | 否 | 路由路径 |
| 7 | parent | varchar | 64 | 否 | 否 | 父级菜单 |
| 8 | parent_sort | int | 是 | 否 | 父级菜单排序 | |
| 9 | position | varchar | 32 | 否 | 否 | 位置 |
| 10 | mode | varchar | 32 | 是 | 否 | 跳转方式 |
| 11 | add | tinyint | 是 | 否 | 是否可增加 | |
| 12 | del | tinyint | 是 | 否 | 是否可删除 | |
| 13 | set | tinyint | 是 | 否 | 是否可修改 | |
| 14 | get | tinyint | 是 | 否 | 是否可查看 | |
| 15 | field_add | text | 65535 | 否 | 否 | 添加字段 |
| 16 | field_set | text | 65535 | 否 | 否 | 修改字段 |
| 17 | field_get | text | 65535 | 否 | 否 | 查询字段 |
| 18 | table_nav_name | varchar | 500 | 否 | 否 | 跨表导航名称 |
| 19 | table_nav | varchar | 500 | 否 | 否 | 跨表导航 |
| 20 | option | text | 65535 | 否 | 否 | 配置 |
| 21 | create_time | timestamp | 是 | 否 | 创建时间 | |
| 22 | update_time | timestamp | 是 | 否 | 更新时间 |
表 4-5-billing_information(账单信息)
| 编号 | 字段名 | 类型 | 长度 | 是否非空 | 是否主键 | 注释 |
| 1 | billing_information_id | int | 是 | 是 | 账单信息ID | |
| 2 | landlord_account_number | int | 否 | 否 | 房东账号 | |
| 3 | contact_phone | varchar | 64 | 否 | 否 | 联系电话 |
| 4 | house_name | varchar | 64 | 否 | 否 | 房屋名称 |
| 5 | user_account | int | 否 | 否 | 用户账号 | |
| 6 | user_name | varchar | 64 | 否 | 否 | 用户姓名 |
| 7 | bill_name | varchar | 64 | 否 | 否 | 账单名称 |
| 8 | bill_amount | double | 否 | 否 | 账单金额 | |
| 9 | billing_time | date | 否 | 否 | 账单时间 | |
| 10 | billing_details | longtext | 4294967295 | 否 | 否 | 账单详情 |
| 11 | pay_state | varchar | 16 | 是 | 否 | 支付状态 |
| 12 | pay_type | varchar | 16 | 否 | 否 | 支付类型: 微信、支付宝、网银 |
| 13 | create_time | datetime | 是 | 否 | 创建时间 | |
| 14 | update_time | timestamp | 是 | 否 | 更新时间 | |
| 15 | source_table | varchar | 255 | 否 | 否 | 来源表 |
| 16 | source_id | int | 否 | 否 | 来源ID | |
| 17 | source_user_id | int | 否 | 否 | 来源用户 |
表 4-6-code_token(验证码)
| 编号 | 字段名 | 类型 | 长度 | 是否非空 | 是否主键 | 注释 |
| 1 | code_token_id | int | 是 | 是 | 验证码ID | |
| 2 | token | varchar | 255 | 否 | 否 | 令牌 |
| 3 | code | varchar | 255 | 否 | 否 | 验证码 |
| 4 | expire_time | timestamp | 是 | 否 | 失效时间 | |
| 5 | create_time | timestamp | 是 | 否 | 创建时间 | |
| 6 | update_time | timestamp | 是 | 否 | 更新时间 |
表 4-7-collect(收藏)
| 编号 | 字段名 | 类型 | 长度 | 是否非空 | 是否主键 | 注释 |
| 1 | collect_id | int | 是 | 是 | 收藏ID | |
| 2 | user_id | int | 是 | 是 | 收藏人ID | |
| 3 | source_table | varchar | 255 | 否 | 否 | 来源表 |
| 4 | source_field | varchar | 255 | 否 | 否 | 来源字段 |
| 5 | source_id | int | 是 | 否 | 来源ID | |
| 6 | title | varchar | 255 | 否 | 否 | 标题 |
| 7 | img | varchar | 255 | 否 | 否 | 封面 |
| 8 | create_time | timestamp | 是 | 否 | 创建时间 | |
| 9 | update_time | timestamp | 是 | 否 | 更新时间 |
表 4-8-comment(评论)
| 编号 | 字段名 | 类型 | 长度 | 是否非空 | 是否主键 | 注释 |
| 1 | comment_id | int | 是 | 是 | 评论ID | |
| 2 | user_id | int | 是 | 是 | 评论人ID | |
| 3 | reply_to_id | int | 是 | 否 | 回复评论ID | |
| 4 | content | longtext | 4294967295 | 否 | 否 | 内容 |
| 5 | nickname | varchar | 255 | 否 | 否 | 昵称 |
| 6 | avatar | varchar | 255 | 否 | 否 | 头像地址 |
| 7 | create_time | timestamp | 是 | 否 | 创建时间 | |
| 8 | update_time | timestamp | 是 | 否 | 更新时间 | |
| 9 | source_table | varchar | 255 | 否 | 否 | 来源表 |
| 10 | source_field | varchar | 255 | 否 | 否 | 来源字段 |
| 11 | source_id | int | 是 | 否 | 来源ID |
表 4-9-evaluation_feedback(评价反馈)
| 编号 | 字段名 | 类型 | 长度 | 是否非空 | 是否主键 | 注释 |
| 1 | evaluation_feedback_id | int | 是 | 是 | 评价反馈ID | |
| 2 | user_account | int | 否 | 否 | 用户账号 | |
| 3 | user_name | varchar | 64 | 否 | 否 | 用户姓名 |
| 4 | user_phone | varchar | 64 | 否 | 否 | 用户电话 |
| 5 | landlord_account_number | int | 否 | 否 | 房东账号 | |
| 6 | house_name | varchar | 64 | 否 | 否 | 房屋名称 |
| 7 | feedback_type | varchar | 64 | 否 | 否 | 反馈类型 |
| 8 | evaluation_grade | varchar | 64 | 否 | 否 | 评价等级 |
| 9 | feedback_time | datetime | 否 | 否 | 反馈时间 | |
| 10 | feedback_content | text | 65535 | 否 | 否 | 反馈内容 |
| 11 | create_time | datetime | 是 | 否 | 创建时间 | |
| 12 | update_time | timestamp | 是 | 否 | 更新时间 | |
| 13 | source_table | varchar | 255 | 否 | 否 | 来源表 |
| 14 | source_id | int | 否 | 否 | 来源ID | |
| 15 | source_user_id | int | 否 | 否 | 来源用户 |
表 4-10-hits(用户点击)
| 编号 | 字段名 | 类型 | 长度 | 是否非空 | 是否主键 | 注释 |
| 1 | hits_id | int | 是 | 是 | 点赞ID | |
| 2 | user_id | int | 是 | 否 | 点赞人 | |
| 3 | create_time | timestamp | 是 | 否 | 创建时间 | |
| 4 | update_time | timestamp | 是 | 否 | 更新时间 | |
| 5 | source_table | varchar | 255 | 否 | 否 | 来源表 |
| 6 | source_field | varchar | 255 | 否 | 否 | 来源字段 |
| 7 | source_id | int | 是 | 否 | 来源ID |
表 4-11-housing_information(房源信息)
| 编号 | 字段名 | 类型 | 长度 | 是否非空 | 是否主键 | 注释 |
| 1 | housing_information_id | int | 是 | 是 | 房源信息ID | |
| 2 | landlord_account_number | int | 否 | 否 | 房东账号 | |
| 3 | house_name | varchar | 64 | 否 | 否 | 房屋名称 |
| 4 | cover_image | varchar | 255 | 否 | 否 | 封面图片 |
| 5 | type_of_house | varchar | 64 | 否 | 否 | 房屋类型 |
| 6 | monthly_rent | double | 否 | 否 | 每月租金 | |
| 7 | deposit_method | varchar | 64 | 否 | 否 | 押金方式 |
| 8 | contact_phone | varchar | 16 | 否 | 否 | 联系电话 |
| 9 | release_time | date | 否 | 否 | 发布时间 | |
| 10 | location_of_house | varchar | 64 | 否 | 否 | 房屋位置 |
| 11 | house_details | longtext | 4294967295 | 否 | 否 | 房屋详情 |
| 12 | hits | int | 是 | 否 | 点击数 | |
| 13 | praise_len | int | 是 | 否 | 点赞数 | |
| 14 | collect_len | int | 是 | 否 | 收藏数 | |
| 15 | comment_len | int | 是 | 否 | 评论数 | |
| 16 | examine_state | varchar | 16 | 是 | 否 | 审核状态 |
| 17 | examine_reply | varchar | 255 | 否 | 否 | 审核回复 |
| 18 | reservation_information_limit_times | int | 是 | 否 | 预约看房限制次数 | |
| 19 | order_information_limit_times | int | 是 | 否 | 入住申请限制次数 | |
| 20 | create_time | datetime | 是 | 否 | 创建时间 | |
| 21 | update_time | timestamp | 是 | 否 | 更新时间 |
表 4-12-landlord_user(房东用户)
| 编号 | 字段名 | 类型 | 长度 | 是否非空 | 是否主键 | 注释 |
| 1 | landlord_user_id | int | 是 | 是 | 房东用户ID | |
| 2 | name_of_landlord | varchar | 64 | 否 | 否 | 房东姓名 |
| 3 | landlord_gender | varchar | 64 | 否 | 否 | 房东性别 |
| 4 | contact_phone | varchar | 16 | 否 | 否 | 联系电话 |
| 5 | id_photo | varchar | 255 | 否 | 否 | 身份证照片 |
| 6 | examine_state | varchar | 16 | 是 | 否 | 审核状态 |
| 7 | user_id | int | 是 | 否 | 用户ID | |
| 8 | create_time | datetime | 是 | 否 | 创建时间 | |
| 9 | update_time | timestamp | 是 | 否 | 更新时间 |
表 4-13-maintenance_information(维修信息)
| 编号 | 字段名 | 类型 | 长度 | 是否非空 | 是否主键 | 注释 |
| 1 | maintenance_information_id | int | 是 | 是 | 维修信息ID | |
| 2 | landlord_account_number | int | 否 | 否 | 房东账号 | |
| 3 | contact_phone | varchar | 64 | 否 | 否 | 联系电话 |
| 4 | house_name | varchar | 64 | 否 | 否 | 房屋名称 |
| 5 | user_account | int | 否 | 否 | 用户账号 | |
| 6 | user_name | varchar | 64 | 否 | 否 | 用户姓名 |
| 7 | user_phone | varchar | 64 | 否 | 否 | 用户电话 |
| 8 | application_time | datetime | 否 | 否 | 申请时间 | |
| 9 | report_picture | varchar | 255 | 否 | 否 | 上报图片 |
| 10 | maintenance_status | varchar | 64 | 否 | 否 | 维修状态 |
| 11 | maintenance_application | text | 65535 | 否 | 否 | 维修申请 |
| 12 | examine_state | varchar | 16 | 是 | 否 | 审核状态 |
| 13 | examine_reply | varchar | 255 | 否 | 否 | 审核回复 |
| 14 | create_time | datetime | 是 | 否 | 创建时间 | |
| 15 | update_time | timestamp | 是 | 否 | 更新时间 | |
| 16 | source_table | varchar | 255 | 否 | 否 | 来源表 |
| 17 | source_id | int | 否 | 否 | 来源ID | |
| 18 | source_user_id | int | 否 | 否 | 来源用户 |
表 4-14-notice(公告)
| 编号 | 字段名 | 类型 | 长度 | 是否非空 | 是否主键 | 注释 |
| 1 | notice_id | mediumint | 是 | 是 | 公告ID | |
| 2 | title | varchar | 125 | 是 | 否 | 标题 |
| 3 | content | longtext | 4294967295 | 否 | 否 | 正文 |
| 4 | create_time | timestamp | 是 | 否 | 创建时间 | |
| 5 | update_time | timestamp | 是 | 否 | 更新时间 |
表 4-15-online_signing(在线签约)
| 编号 | 字段名 | 类型 | 长度 | 是否非空 | 是否主键 | 注释 |
| 1 | online_signing_id | int | 是 | 是 | 在线签约ID | |
| 2 | landlord_account_number | int | 否 | 否 | 房东账号 | |
| 3 | contact_phone | varchar | 64 | 否 | 否 | 联系电话 |
| 4 | house_name | varchar | 64 | 否 | 否 | 房屋名称 |
| 5 | type_of_house | varchar | 64 | 否 | 否 | 房屋类型 |
| 6 | user_account | int | 否 | 否 | 用户账号 | |
| 7 | user_name | varchar | 64 | 否 | 否 | 用户姓名 |
| 8 | user_phone | varchar | 64 | 否 | 否 | 用户电话 |
| 9 | signing_time | datetime | 否 | 否 | 签约时间 | |
| 10 | contract | varchar | 255 | 否 | 否 | 签约合同 |
| 11 | start_time | date | 否 | 否 | 开始时间 | |
| 12 | end_time | date | 否 | 否 | 结束时间 | |
| 13 | contract_details | longtext | 4294967295 | 否 | 否 | 合同详情 |
| 14 | examine_state | varchar | 16 | 是 | 否 | 审核状态 |
| 15 | examine_reply | varchar | 255 | 否 | 否 | 审核回复 |
| 16 | maintenance_information_limit_times | int | 是 | 否 | 维修上报限制次数 | |
| 17 | billing_information_limit_times | int | 是 | 否 | 发送账单限制次数 | |
| 18 | evaluation_feedback_limit_times | int | 是 | 否 | 在线评价限制次数 | |
| 19 | create_time | datetime | 是 | 否 | 创建时间 | |
| 20 | update_time | timestamp | 是 | 否 | 更新时间 | |
| 21 | source_table | varchar | 255 | 否 | 否 | 来源表 |
| 22 | source_id | int | 否 | 否 | 来源ID | |
| 23 | source_user_id | int | 否 | 否 | 来源用户 |
表 4-16-order_information(订单信息)
| 编号 | 字段名 | 类型 | 长度 | 是否非空 | 是否主键 | 注释 |
| 1 | order_information_id | int | 是 | 是 | 订单信息ID | |
| 2 | user_account | int | 否 | 否 | 用户账号 | |
| 3 | user_name | varchar | 64 | 否 | 否 | 用户姓名 |
| 4 | user_phone | varchar | 64 | 否 | 否 | 用户电话 |
| 5 | landlord_account_number | int | 否 | 否 | 房东账号 | |
| 6 | contact_phone | varchar | 64 | 否 | 否 | 联系电话 |
| 7 | house_name | varchar | 64 | 否 | 否 | 房屋名称 |
| 8 | type_of_house | varchar | 64 | 否 | 否 | 房屋类型 |
| 9 | order_number | varchar | 64 | 否 | 否 | 订单编号 |
| 10 | monthly_rent | double | 否 | 否 | 每月租金 | |
| 11 | deposit_method | varchar | 64 | 否 | 否 | 押金方式 |
| 12 | order_time | datetime | 否 | 否 | 订单时间 | |
| 13 | check_in_application | text | 65535 | 否 | 否 | 入住申请 |
| 14 | examine_state | varchar | 16 | 是 | 否 | 审核状态 |
| 15 | examine_reply | varchar | 255 | 否 | 否 | 审核回复 |
| 16 | online_signing_limit_times | int | 是 | 否 | 租赁合同限制次数 | |
| 17 | create_time | datetime | 是 | 否 | 创建时间 | |
| 18 | update_time | timestamp | 是 | 否 | 更新时间 | |
| 19 | source_table | varchar | 255 | 否 | 否 | 来源表 |
| 20 | source_id | int | 否 | 否 | 来源ID | |
| 21 | source_user_id | int | 否 | 否 | 来源用户 |
表 4-17-ordinary_user(普通用户)
| 编号 | 字段名 | 类型 | 长度 | 是否非空 | 是否主键 | 注释 |
| 1 | ordinary_user_id | int | 是 | 是 | 普通用户ID | |
| 2 | user_name | varchar | 64 | 否 | 否 | 用户姓名 |
| 3 | user_phone | varchar | 16 | 否 | 否 | 用户电话 |
| 4 | user_gender | varchar | 64 | 否 | 否 | 用户性别 |
| 5 | examine_state | varchar | 16 | 是 | 否 | 审核状态 |
| 6 | user_id | int | 是 | 否 | 用户ID | |
| 7 | create_time | datetime | 是 | 否 | 创建时间 | |
| 8 | update_time | timestamp | 是 | 否 | 更新时间 |
表 4-18-praise(点赞)
| 编号 | 字段名 | 类型 | 长度 | 是否非空 | 是否主键 | 注释 |
| 1 | praise_id | int | 是 | 是 | 点赞ID | |
| 2 | user_id | int | 是 | 是 | 点赞人 | |
| 3 | create_time | timestamp | 是 | 否 | 创建时间 | |
| 4 | update_time | timestamp | 是 | 否 | 更新时间 | |
| 5 | source_table | varchar | 255 | 否 | 否 | 来源表 |
| 6 | source_field | varchar | 255 | 否 | 否 | 来源字段 |
| 7 | source_id | int | 是 | 否 | 来源ID | |
| 8 | status | tinyint | 是 | 否 | 点赞状态:1为点赞,0已取消 |
表 4-19-reservation_information(预约信息)
| 编号 | 字段名 | 类型 | 长度 | 是否非空 | 是否主键 | 注释 |
| 1 | reservation_information_id | int | 是 | 是 | 预约信息ID | |
| 2 | user_account | int | 否 | 否 | 用户账号 | |
| 3 | user_name | varchar | 64 | 否 | 否 | 用户姓名 |
| 4 | user_phone | varchar | 64 | 否 | 否 | 用户电话 |
| 5 | landlord_account_number | int | 否 | 否 | 房东账号 | |
| 6 | contact_phone | varchar | 64 | 否 | 否 | 联系电话 |
| 7 | house_name | varchar | 64 | 否 | 否 | 房屋名称 |
| 8 | type_of_house | varchar | 64 | 否 | 否 | 房屋类型 |
| 9 | appointment_time | datetime | 否 | 否 | 预约时间 | |
| 10 | reservation_information | text | 65535 | 否 | 否 | 预约信息 |
| 11 | examine_state | varchar | 16 | 是 | 否 | 审核状态 |
| 12 | examine_reply | varchar | 255 | 否 | 否 | 审核回复 |
| 13 | create_time | datetime | 是 | 否 | 创建时间 | |
| 14 | update_time | timestamp | 是 | 否 | 更新时间 | |
| 15 | source_table | varchar | 255 | 否 | 否 | 来源表 |
| 16 | source_id | int | 否 | 否 | 来源ID | |
| 17 | source_user_id | int | 否 | 否 | 来源用户 |
表 4-20-slides(轮播图)
| 编号 | 字段名 | 类型 | 长度 | 是否非空 | 是否主键 | 注释 |
| 1 | slides_id | int | 是 | 是 | 轮播图ID | |
| 2 | title | varchar | 64 | 否 | 否 | 标题 |
| 3 | content | varchar | 255 | 否 | 否 | 内容 |
| 4 | url | varchar | 255 | 否 | 否 | 链接 |
| 5 | img | varchar | 255 | 否 | 否 | 轮播图 |
| 6 | hits | int | 是 | 否 | 点击量 | |
| 7 | create_time | timestamp | 是 | 否 | 创建时间 | |
| 8 | update_time | timestamp | 是 | 否 | 更新时间 |
表 4-21-type_of_house(房屋类型)
| 编号 | 字段名 | 类型 | 长度 | 是否非空 | 是否主键 | 注释 |
| 1 | type_of_house_id | int | 是 | 是 | 房屋类型ID | |
| 2 | type_of_house | varchar | 64 | 否 | 否 | 房屋类型 |
| 3 | create_time | datetime | 是 | 否 | 创建时间 | |
| 4 | update_time | timestamp | 是 | 否 | 更新时间 |
表 4-22-upload(文件上传)
| 编号 | 字段名 | 类型 | 长度 | 是否非空 | 是否主键 | 注释 |
| 1 | upload_id | int | 是 | 是 | 上传ID | |
| 2 | name | varchar | 64 | 否 | 否 | 文件名 |
| 3 | path | varchar | 255 | 否 | 否 | 访问路径 |
| 4 | file | varchar | 255 | 否 | 否 | 文件路径 |
| 5 | display | varchar | 255 | 否 | 否 | 显示顺序 |
| 6 | father_id | int | 否 | 否 | 父级ID | |
| 7 | dir | varchar | 255 | 否 | 否 | 文件夹 |
| 8 | type | varchar | 32 | 否 | 否 | 文件类型 |
表 4-23-user(用户账户)
| 编号 | 字段名 | 类型 | 长度 | 是否非空 | 是否主键 | 注释 |
| 1 | user_id | int | 是 | 是 | 用户ID | |
| 2 | state | smallint | 是 | 否 | 账户状态:(1可用|2异常|3已冻结|4已注销) | |
| 3 | user_group | varchar | 32 | 否 | 否 | 所在用户组 |
| 4 | login_time | timestamp | 是 | 否 | 上次登录时间 | |
| 5 | phone | varchar | 11 | 否 | 否 | 手机号码 |
| 6 | phone_state | smallint | 是 | 否 | 手机认证:(0未认证|1审核中|2已认证) | |
| 7 | username | varchar | 16 | 是 | 否 | 用户名 |
| 8 | nickname | varchar | 16 | 否 | 否 | 昵称 |
| 9 | password | varchar | 64 | 是 | 否 | 密码 |
| 10 | | varchar | 64 | 否 | 否 | 邮箱 |
| 11 | email_state | smallint | 是 | 否 | 邮箱认证:(0未认证|1审核中|2已认证) | |
| 12 | avatar | varchar | 255 | 否 | 否 | 头像地址 |
| 13 | open_id | varchar | 255 | 否 | 否 | 针对获取用户信息字段 |
| 14 | create_time | timestamp | 是 | 否 | 创建时间 |
表 4-24-user_group(用户组)
| 编号 | 字段名 | 类型 | 长度 | 是否非空 | 是否主键 | 注释 |
| 1 | group_id | mediumint | 是 | 是 | 用户组ID | |
| 2 | display | smallint | 是 | 否 | 显示顺序 | |
| 3 | name | varchar | 16 | 是 | 否 | 名称 |
| 4 | description | varchar | 255 | 否 | 否 | 描述 |
| 5 | source_table | varchar | 255 | 否 | 否 | 来源表 |
| 6 | source_field | varchar | 255 | 否 | 否 | 来源字段 |
| 7 | source_id | int | 是 | 否 | 来源ID | |
| 8 | register | smallint | 否 | 否 | 注册位置 | |
| 9 | create_time | timestamp | 是 | 否 | 创建时间 | |
| 10 | update_time | timestamp | 是 | 否 | 更新时间 |
房屋租赁服务系统的详细设计与实现主要是根据前面的房屋租赁服务系统的需求分析和房屋租赁服务系统的总体设计来设计页面并实现业务逻辑。主要从房屋租赁服务系统界面实现、业务逻辑实现这两部分进行介绍。
-
- 前端首页模块
首页展示系统的主要功能,包括导航栏的快捷入口,用户可查看轮播图、平台资讯以及房源信息。用户可以通过关键词进行全网搜索,快速找到感兴趣的内容,同时可以通过个人账户进行资料修改。前台首页模块展示如下图所示。

-
-
-
-
- 前台首页模块图
-
-
- 用户注册模块
-
不是房屋租赁服务系统中正式用户的是可以在线进行注册的,当填写上自己的账号+设置密码+确认密码+昵称+邮箱+手机号+身份+用户姓名+用户性别等信息后再点击“注册”按钮后将会先验证输入的有没有空数据,再次验证密码和确认密码是否是一样的,最后验证输入的账户名和数据库表中已经注册的账户名是否重复,只有都验证没问题后即可用户注册成功。其用户注册模块展示如下图所示。

-
-
-
-
- 注册模块图
-
-
- 登录模块
-
房屋租赁服务系统中的前台上注册后的用户是可以通过自己的用户名+密码进行登录的,当用户输入完整的自己的用户名+密码信息并点击“登录”按钮后,将会首先验证输入的有没有空数据,再次验证输入的用户名+密码和数据库中当前保存的用户信息是否一致,只有在一致后将会登录成功并自动跳转到房屋租赁服务系统的首页中,否则将会提示相应错误信息,登录模块如下图所示。

-
-
-
-
- 登录模块图
-
-
- 前端普通用户功能模块
-
用户可以浏览房屋租赁相关的新闻、租房技巧、生活指南等内容,帮助用户获取实用信息,提升租房知识水平,增强平台粘性与用户活跃度。模块如下图所示:

用户可在系统中根据关键词、价格区间、区域、户型等条件搜索房源,并查看房屋详细信息(如面积、配套设施、房东信息等),支持预约看房和提交入住申请,简化找房流程。模块如下图所示。

用户可以点击某个房源信息界面,点击“预约看房”,将进入预约看房申请页面,可以选择预约时间、以及输入预约信息等信息提交,等待房东的审核通过。模块如下图所示。

用户可以点击某个房源信息界面,点击“入住申请”,将进入房屋入住申请页面,可以输入入住申请等信息提交,等待房东的审核通过。模块如下图所示。

个人中心为用户提供了全面的个人信息管理功能。用户可以查看个人首页,了解自己的预约信息、订单状态、在线签约等情况。通过此模块,用户可以查看房东上传的租赁合同并进行审核,支持在线签约并下载签约合同。此外,用户可以查看维修信息,提出维修申请并跟踪维修进展。个人中心还提供账单信息、评论反馈、收藏夹及评论管理等功能,帮助用户更加方便地管理租赁过程中的各项事务,确保体验的流畅性。
例如,维修上报模块如下图所示。

-
-
-
-
- 维修上报模块图
-
-
-
例如,评价反馈模块如下图所示。

房东可以方便地添加新的房源信息,包括房屋描述、照片、价格等详细资料,并能够对已发布的房源进行查询、重置、删除和更新操作。此外,房东还可以查看租客对房源的评论,及时了解租客的需求和意见,以优化房源服务。模块如下图所示。

预约信息管理模块使房东能够查看用户的预约看房请求,并对其进行审核回复。房东可以根据自己的时间安排选择接受或拒绝预约,并通过系统发送确认信息给租客,保证双方沟通顺畅有效,提升看房体验。模块如下图所示。

在线签约管理功能让房东能够对入住申请审核通过的用户发送电子合同,在线完成签约流程。房东上传合同后,租客可在线查看并签署,随后下载保存合同副本,极大简化了签约手续,提高了工作效率。模块如下图所示。

账单信息管理功能使得房东能够便捷地向租客发送租金账单,包含详细的金额、支付时间和方式等信息。同时,房东还能查看历史账单记录,确保财务清晰透明,减少因账目不清导致的纠纷。模块如下图所示。

维修信息管理模块帮助房东查看租客上报的维修信息,并及时处理。房东可以根据维修的具体情况安排专业人员上门服务,并通过系统反馈维修进度给租客,确保问题得到迅速解决,维护良好的租客关系。模块如下图所示。

-
-
-
-
- 审核维修信息模块图
-
-
- 后端管理员功能模块
-
管理员可对系统中所有用户(包括普通用户、房东用户)进行统一管理,查看注册信息、登录状态及行为记录。对于房东用户,管理员需审核其注册申请,确保身份真实有效,从而维护平台的可信度和安全性。流程图如下所示。

-
-
-
-
- 用户管理流程图
-
-
-
系统用户模块如下图所示。

管理员可在系统管理模块设置首页展示的轮播图信息,如热门活动、推荐房源等,增强平台宣传效果,引导用户关注重点内容。模块如下图所示。

管理员可以管理平台资讯,查看各类资讯的详细信息和用户评论。管理员还可以通过输入标题、标签、选择分类进行搜索、查询,并对资讯进行删除、添加等操作,确保平台资讯的丰富性和准确性。模块如下图所示。

-
-
-
-
- 资源管理模块图
-
-
-
测试的主要目的是确保系统的功能和性能满足预期的需求,同时识别和修复潜在的缺陷。通过系统测试,可以验证各个功能模块的正确性和稳定性,确保系统在不同使用场景下的表现符合设计要求。测试目的包括确认系统功能的完整性、验证数据处理的准确性、评估系统的性能和安全性。测试还可以提高用户满意度,保证用户在使用系统时获得流畅和可靠的体验。通过全面的测试,可以降低后期维护成本,减少系统上线后出现故障的风险,从而保障系统的长期稳定运行。
在本系统中,测试方法主要依赖于测试用例的设计与执行。测试用例是根据系统需求文档编写的,覆盖所有功能模块及其边界情况。每个测试用例包含输入数据、预期结果和实际结果的对比,以验证系统的功能是否按预期工作。
常见的测试用例包括功能测试用例、边界测试用例和异常测试用例。功能测试用例针对系统的各项功能进行验证;边界测试用例则侧重于输入数据的边界条件,验证系统在极端情况下是否能够稳定运行;异常测试用例则用于验证系统在处理错误输入或异常情况时的反应。本文选择功能测试用例进行系统测试。
在测试执行过程中,记录每个用例的执行结果,并根据实际结果与预期结果的对比,判断系统是否存在缺陷。通过系统化的测试用例执行,可以有效提高测试的覆盖率和效率,为系统的最终上线提供保障。
表6-1 用户登录功能测试表
| 用例名称 | 用户登录系统 |
| 目的 | 测试用户通过正确的用户名和密码可否登录功能 |
| 前提 | 未登录的情况下 |
| 测试流程 | 1) 进入登录页面 2) 输入正确的用户名和密码 |
| 预期结果 | 用户名和密码正确的时候,跳转到登录成功界面,反之则显示错误信息,提示重新输入 |
| 实际结果 | 实际结果与预期结果一致 |
在系统中,创建功能也是基础功能之一,因此创建功能的测试很有代表性。在此章节主要列举在创建时各种情况下系统结果的测试。由于系统涉及创建功能操作过多,因此将多处统称创建功能。
创建数据用例如表6-2 所示。
表6-2 创建数据测试用例
| 测试用例编号 | YL_02 | |
| 测试用例名称 | 系统使用者进行创建数据 | |
| 测试用例描述 | 使用者输入要创建的数据 | |
| 系统入口 | 浏览器 | |
| 步骤 | 预期结果 | 实际结果 |
| 输入完整并且格式正确的数据 | 提示“创建成功”,并显示所有数据 | 预期结果 |
| 核心位置数据但非必要位置不输入数据 | 提示“创建成功”,并显示所有数据 | 预期结果 |
| 核心数据位置不输入数据 | 提示“创建失败” | 预期结果 |
-
-
- 修改数据测试
-
在系统中,修改功能是系统主要实现功能,因此修改功能的测试很有代表性。在此章节主要列举在修改时各种情况下系统结果的测试。由于系统涉及修改功能操作过多,因此将多处数据表记录修改和状态修改统称修改功能。
修改数据用例如表6-3所示。
表6-3 修改数据测试用例
| 测试用例编号 | YL_03 | |
| 测试用例名称 | 系统使用者进行修改数据 | |
| 测试用例描述 | 使用者对可修改的数据项进行修改 | |
| 系统入口 | 浏览器 | |
| 步骤 | 预期结果 | 实际结果 |
| 将现有数据修改成正确的数据 | 提示“修改成功”,并显示所有数据 | 预期结果 |
| 将现有数据修改成错误的数据 | 提示“修改失败” | 预期结果 |
-
-
- 查询数据测试
-
在系统中,查询功能是使用系统使用最多也是最基础的功能,因此查询功能的测试很有代表性。在此章节主要列举在查询时各种情况下系统结果的测试。
查询数据用例如表6-4所示。
表6-4 查询数据测试用例
| 测试用例编号 | YL_04 | |
| 测试用例名称 | 系统使用者进行查询数据 | |
| 测试用例描述 | 全部查询以及输入关键词查询 | |
| 系统入口 | 浏览器 | |
| 步骤 | 预期结果 | 实际结果 |
| 界面自动查询全部 | 显示对应所有记录 | 预期结果 |
| 输入已存在且能匹配成功的关键字 | 显示所查询到的数据 | 预期结果 |
| 输入不存在的关键字 | 显示数据界面为空 | 预期结果 |
在本次测试的过程主要针对所有功能下的添加操作,修改操作和删除操作,并以真实数据一一进行相关功能项目的输入,最终能够保证每个项目涉及的功能都能够正常运行,因此能够保证本次设计的,已实现的功能能够正常运行并且相关数据库的信息也同样保证正确。
本论文通过采用Flask框架和MySQL数据库,结合大数据技术,设计并开发了一个房屋租赁服务系统。该系统实现了房源信息管理、预约管理、在线签约、账单结算、评价反馈等多项功能,提供了便捷的用户操作界面,并有效支持了房东、租客与管理员之间的互动与管理。系统能够通过大数据分析优化房源推荐,提升租赁效率,解决了传统房屋租赁方式中信息不对称、服务效率低等问题。
开发过程中,技术选型和系统架构设计是关键环节,通过合理的框架和数据库设计,保证了系统的高效性和可扩展性。房源管理、预约系统及在线签约等功能的顺利实现,有效提升了平台的用户体验,简化了租赁流程,提高了服务的透明度和效率。通过数据分析,平台还可以提供个性化的推荐服务,进一步增强用户粘性。
未来,随着技术的不断进步,房屋租赁服务系统可进一步整合更多的智能化功能,如精准的市场趋势预测、智能房源匹配等,推动平台向更高效、更智能化的方向发展。此外,随着大数据应用的深入,平台的运营效率和服务质量有望得到显著提升,为租赁市场带来更加透明、公正的交易环境。
- 黄维.基于B/S模式的虚拟网络实验室安全管理体系分析[J].信息系统工程,2024,(05):4-7.
- 张宇薇.HTML5在Web前端开发中的应用[J].集成电路应用,2024,41(04):274-276.
- 王朝辉. 基于Flask框架的测试集成系统设计与实现 [J]. 科技创新与应用, 2024, 14 (33): 115-118.
- 陈嘉发,黄宇靖. Flask框架在数据可视化的应用 [J]. 福建电脑, 2022, 38 (12): 44-48.
- 李艳杰.MySQL数据库下存储过程的综合运用研究[J].现代信息科技,2023,7(11):80-82+88.
- 肖睿,李鲲程,范效亮,等.MySQL数据库应用技术及实践[M].人民邮电出版社:202206.228.
- 明日科技.快速上手Python[M].化学工业出版社:202211.337.
- 明日科技.Python Web开发手册[M].化学工业出版社:202201.411.
- 张锦贤,吴晓玲. 基于flask框架技术的网站设计 [J]. 电脑知识与技术, 2024, 20 (10): 71-73.
- 庞敏. MySQL数据库的数据安全应用设计技术研究 [J]. 数字通信世界, 2024, (09): 25-27.
- Stokes D . Update or migrate? Planning for MySQL 5.7 EOL [J]. InfoWorld.com, 2023, 24 (03): 22-30.
- Guo Z ,Wang H ,He J , et al. PSLSA v2.0: An automatic Python package integrating machine learning models for regional landslide susceptibility assessment [J]. Environmental Modelling and Software, 2025, 186 106367-106367.
- Daniel C ,Greg L . flask 5 for the Impatient:Learn the core concepts of flask to develop Python web applications[M]. Packt Publishing Limited: 2024-09-27.
- 白玉.基于数据挖掘的房屋租赁个性化推荐系统研究[D].西安石油大学,2024.DOI:10.27400/d.cnki.gxasc.2024.000546.
- 张佳佳.房屋租赁推荐系统的研究与实现[D].西京学院,2022.DOI:10.27831/d.cnki.gxjxy.2022.000113.
- 闫银娟.基于SSM的房屋租赁系统的设计与实现[J].电脑知识与技术,2022,18(33):38-41.DOI:10.14004/j.cnki.ckt.2022.2092.
- 魏子钦,梁艳美,单豫洲.基于JavaEE的房屋租赁系统[J].信息与电脑(理论版),2021,33(24):137-139.
- 王馨.基于数据挖掘的房屋租赁管理系统设计与实现[D].哈尔滨理工大学,2021.DOI:10.27063/d.cnki.ghlgu.2021.001145.
- 唐苏旭.基于SpringBoot的房屋租赁系统的设计与实现[D].首都经济贸易大学,2021.DOI:10.27338/d.cnki.gsjmu.2021.000801.
- 陈湘瑾,孙瑜鸿,祖子帅,等.基于JSP开发技术的信息化房屋租赁系统[J].科学技术创新,2021,(09):106-107.
房屋租赁服务系统设计与实现工作已结束,虽然过程中充满挑战,但内心充满自豪和满足。感谢大学四年间教导我的所有老师,他们的专业知识与人生智慧让我成长为能独立完成系统的学生。特别感谢指导老师,他耐心解答疑惑,引导我解决问题,提升自主解决能力。室友和同学们的宝贵建议和支持也让我取得长足进步。未来,我将继续努力追求卓越,不辜负所学所悟和老师期望。坚信坚定信念和不懈努力,未来定能取得更辉煌成就。期待更美好未来!
房屋租赁服务系统设计与实现不仅是技术挑战,挫折和困难是成长的垫脚石,让我更深入理解问题,精确找到解决方案。每次解决问题,都感到满足和自豪。
对于未来,我充满期待和信心。无论道路多崎岖,只要保持坚定信念,持续努力,定能取得更大成就。期待将知识和技能运用到实际中,为社会做出更大贡献。
最后,感谢所有帮助和支持我的人。你们的教诲、鼓励和支持让我有今天的成就。我会继续努力,不辜负期望,为实现更美好的未来而奋斗。
登录代码如下:
def Login(self, ctx):
print("===================登录=====================")
ret = {
"error": {
"code": 70000,
"message": "账户不存在",
}
}
body = ctx.body
password = md5hash(body["password"]) or ""
obj = service_select("user").Get_obj(
{"username": body["username"]}, {"like": False}
)
if obj:
user_group = service_select("user_group").Get_obj({'name': obj['user_group']}, {"like": False})
if user_group and user_group['source_table'] != '':
user_obj = service_select(user_group['source_table']).Get_obj({"user_id": obj['user_id']}, {"like": False})
if user_obj['examine_state'] == '未通过':
ret = {
"error": {
"code": 70000,
"message": "账户未通过审核",
}
}
return ret
if user_obj['examine_state'] == '未审核':
ret = {
"error": {
"code": 70000,
"message": "账户未审核",
}
}
return ret
if obj["state"] == 1:
if obj["password"] == password:
timeout = timezone.now()
timestamp = int(time.mktime(timeout.timetuple())) * 1000
token = md5hash(str(obj["user_id"]) + "_" + str(timestamp))
ctx.request.session[token] = obj["user_id"]
service_select("access_token").Add(
{"token": token, "user_id": obj["user_id"]}
)
obj["token"] = token
ret = {
"result": {"obj": obj}
}
else:
ret = {
"error": {
"code": 70000,
"message": "密码错误",
}
}
else:
ret = {
"error": {
"code": 70000,
"message": "用户账户不可用,请联系管理员",
}
}
return ctx.response(json.dumps(ret, ensure_ascii=False))
注册代码如下:
def Register(self, ctx):
print("===================注册=====================")
userService = service_select("user")
body = ctx.body
if "username" not in body and body["username"] == '':
return ctx.response(json.dumps({
"error": {
"code": 70000,
"message": "用户名不能为空",
}
}, ensure_ascii=False))
if "user_group" not in body and body["user_group"] == '':
return ctx.response(json.dumps({
"error": {
"code": 70000,
"message": "用户组不能为空",
}
}, ensure_ascii=False))
if "password" not in body and body["password"] == '':
return ctx.response(json.dumps({
"error": {
"code": 70000,
"message": "密码不能为空",
}
}, ensure_ascii=False))
post_param = body
post_param['nickname'] = body["nickname"] or ""
post_param['password'] = md5hash(body["password"])
obj = userService.Get_obj({"username": post_param['username']}, {"like": False})
if obj:
return ctx.response(json.dumps({
"error": {
"code": 70000,
"message": "用户名已存在",
}
}, ensure_ascii=False))
ret = {
"error": {
"code": 70000,
"message": "注册失败",
}
}
bl = userService.Add(post_param)
if bl:
ret = {
"result": {
"bl": True,
"message": "注册成功"
}
}
return ctx.response(json.dumps(ret, ensure_ascii=False))
找回密码代码如下:
def Forget_password(self, ctx):
print("===================修改密码=====================")
ret = {
"error": {
"code": 70000,
"message": "用户信息不能没有"
}
}
body = ctx.body
if not body["code"]:
return {
"error": {
"code": 70000,
"message": "验证码不存在或者错误"
}
}
obj = service_select("user").Get_obj(
{"username": body["username"]}, {"like": False}
)
if not obj:
return {
"error": {
"code": 70000,
"message": "用户名不存在或者错误"
}
}
password = md5hash(body["password"])
if not password:
return {
"error": {
"code": 70000,
"message": "密码不存在或者错误"
}
}
bl = service_select("user").Set({"user_id": obj["user_id"]}, {"password": password})
if bl:
ret = {"result": {"bl": True, "message": "修改成功"}}
else:
ret = {
"error": {
"code": 70000,
"message": "修改失败",
}
}
return ctx.response(json.dumps(ret, ensure_ascii=False))
修改密码代码如下:
def Change_password(self, ctx):
print("===================修改密码=====================")
ret = {
"error": {
"code": 70000,
"message": "账号未登录",
}
}
request = ctx.request
headers = request.headers
if ("x-auth-token" in headers) and headers["x-auth-token"]:
token = headers["x-auth-token"]
user_id = tokenGetUserId(token, request)
userService = service_select("user")
body = ctx.body
password = md5hash(body["o_password"])
obj = userService.Get_obj({"user_id": user_id, "password": password}, {"like": False})
if obj:
password = md5hash(body["password"])
bl = userService.Set({"user_id": user_id}, {"password": password})
if bl:
ret = {"result": {"bl": True, "message": "修改成功"}}
else:
ret = {
"error": {
"code": 70000,
"message": "修改失败",
}
}
else:
ret = {
"error": {
"code": 70000,
"message": "密码错误",
}
}
else:
ret = {
"error": {
"code": 70000,
"message": "账户未登录",
}
}
return ctx.response(json.dumps(ret, ensure_ascii=False))
增删查改代码如下:
增
def Add(self, ctx):
body = ctx.body
unique = self.config.get("unique")
obj = None
if unique:
qy = {}
for i in range(len(unique)):
key = unique[i]
qy[key] = body.get(key)
obj = self.service.Get_obj(qy)
if not obj:
error = self.Add_before(ctx)
if error["code"]:
return {"error": error}
error = self.Events("add_before", ctx, None)
if error["code"]:
return {"error": error}
result = self.service.Add(body, self.config)
if self.service.error:
return {"error": self.service.error}
res = self.Add_after(ctx, result)
if res:
result = res
res = self.Events("add_after", ctx, result)
if res:
result = res
return {"result": result}
else:
return {"error": {"code": 10000, "message": "已存在"}}
删
def Del(self, ctx):
if len(ctx.query) == 0:
errorMsg = {"code": 30000, "message": "删除条件不能为空!"}
return errorMsg
result = self.service.Del(ctx.query, self.config)
if self.service.error:
return {"error": self.service.error}
return {"result": result}
改
def Set(self, ctx):
error = self.Set_before(ctx)
if error["code"]:
return {"error": error}
error = self.Events("set_before", ctx, None)
if error["code"]:
return {"error": error}
query = ctx.query
if 'page' in query.keys():
del ctx.query['page']
if 'size' in query.keys():
del ctx.query['size']
if 'orderby' in query.keys():
del ctx.query['orderby']
result = self.service.Set(ctx.query, ctx.body, self.config)
if self.service.error:
return {"error": self.service.error}
res = self.Set_after(ctx, result)
if res:
result = res
res = self.Events("set_after", ctx, result)
if res:
result = res
return {"result": result}
查多条数据:
def Get_list(self, ctx):
query = dict(ctx.query)
config_plus = {}
if "field" in query:
field = query.pop("field")
config_plus["field"] = field
if "page" in query:
config_plus["page"] = query.pop("page")
if "size" in query:
config_plus["size"] = query.pop("size")
if "orderby" in query:
config_plus["orderby"] = query.pop("orderby")
if "like" in query:
config_plus["like"] = query.pop("like")
if "groupby" in query:
config_plus["groupby"] = query.pop("groupby")
count = self.service.Count(query)
lst = []
if self.service.error:
return {"error": self.service.error}
elif count:
lst = self.service.Get_list(query,
obj_update(self.config, config_plus))
if self.service.error:
return {"error": self.service.error}
self.interact_list(ctx, lst)
return {"result": {"list": lst, "count": count}}
查一条数据:
def Get_obj(self, ctx):
query = dict(ctx.query)
config_plus = {}
if "field" in query:
field = query.pop("field")
config_plus["field"] = field
obj = self.service.Get_obj(query, obj_update(self.config, config_plus))
if self.service.error:
return {"error": self.service.error}
if obj:
self.interact_obj(ctx, obj)
return {"result": {"obj": obj}}
免费领取项目源码,请关注❥点赞收藏并私信博主,谢谢~
431

被折叠的 条评论
为什么被折叠?



