摘 要
随着移动互联网技术的飞速发展,智能手机已成为人们日常生活中不可或缺的工具。微信小程序作为微信生态中的重要组成部分,以其无需下载安装、即用即走的特点,深受广大用户喜爱。为了满足人们在旅游过程中对便捷、高效信息服务的需求,本文设计并实现了一款基于微信小程序的旅游助手系统。
该系统主要功能模块包括旅游资讯查询、行程规划、景点推荐、酒店预订以及用户评价等。用户可以通过微信小程序轻松获取最新的旅游资讯,如天气、交通、景点介绍等,为出行做好充分准备。同时,系统提供了个性化的行程规划服务,根据用户的偏好和时间安排,为其推荐最适合的路线推荐和景点。此外,用户还可以直接在系统中完成酒店预订,享受一站式旅游服务。
在技术实现上,本系统采用了微信小程序开发框架,结合后端服务器和数据库技术,实现了数据的实时交互和存储。前端界面设计简洁明了,操作便捷,注重用户体验。后端服务器则负责处理复杂的业务逻辑和数据运算,确保系统的稳定性和高效性。
通过实际应用测试,该系统表现出良好的稳定性和实用性,能够为用户提供便捷、高效的旅游服务。未来,我们将继续优化系统功能,提升用户体验,为更多旅游爱好者提供更加优质的旅游助手服务。
关键字:微信小程序、旅游助手、行程规划、景点推荐、酒店预订
Abstract
With the rapid development of mobile Internet technology, smart phones have become an indispensable tool in People's Daily life. As an important part of WeChat ecology, WeChat small program, with the characteristics without downloading and installation, instant use, is loved by the majority of users. In order to meet people's demand for convenient and efficient information service in the process of tourism, this paper designs and realizes a travel assistant system based on wechat small program.
The main function modules of the system include tourism information query, itinerary planning, scenic spot recommendation, hotel booking and user evaluation, etc. Users can easily get the latest travel information through the WeChat small program, such as weather, traffic, scenic spot introduction, etc., to make full preparations for travel. At the same time, the system provides personalized itinerary planning services, according to the user's preferences and time arrangement, to recommend the most suitable tourist routes and scenic spots. In addition, users can also directly complete the hotel reservation in the system, enjoy a one-stop travel service.
In terms of technical implementation, this system adopts the WeChat small program development framework, combined with the back-end server and database technology, to realize the real-time data interaction and storage. The front-end interface design is simple and clear, convenient to operate, and pay attention to the user experience. The back-end server is responsible for processing complex business logic and data operations to ensure the stability and efficiency of the system.
Through the practical application test, the system shows good stability and practicability, and can provide users with convenient and efficient tourism services. In the future, we will continue to optimize the system functions, improve the user experience, and provide more travel enthusiasts with better travel assistant services.
Keywords: wechat mini program, travel assistant, itinerary planning, scenic spot recommendation, hotel reservation
目 录
随着移动互联网技术的不断进步和智能手机的普及,人们的旅游方式正在经历深刻的变革。传统的旅游服务模式,如通过旅行社预订行程、购买门票等,已经无法满足现代人对于便捷、高效、个性化的旅游信息服务需求。与此同时,微信作为中国最大的社交媒体平台之一,其小程序功能凭借其无需下载安装、即用即走的特性,迅速成为了连接线上与线下的重要桥梁。
在微信小程序平台上,用户可以轻松获取各种服务,如购物、点餐、支付等,这为旅游行业的数字化转型提供了新的契机。通过微信小程序,旅游服务商可以更加便捷地触达用户,提供更加个性化和定制化的服务。因此,开发一款基于微信小程序的旅游助手系统,旨在整合旅游产业链上的各类资源,为用户提供更加全面、便捷、高效的旅游服务,成为当前旅游业发展的重要趋势。
该系统能够显著提升用户体验。用户无需下载额外的旅游APP,通过微信小程序即可随时随地获取最新的旅游资讯、规划行程、预订酒店等,大大节省了时间成本。同时,系统还能根据用户的偏好和需求,提供个性化的旅游推荐和服务,使旅游体验更加舒适和愉快。
此外,该系统有助于推动旅游产业的数字化转型。通过整合景点信息、酒店预订、交通指南等资源,系统能形成完整的旅游服务体系,为旅游企业提供更精准的市场定位和营销策略。同时,系统还可利用先进技术,对用户旅游行为进行分析,为旅游企业提供科学决策支持。
从技术角度看,该系统的设计与实现也具有重要意义。开发过程中,需综合运用微信小程序开发框架、后端服务器技术、数据库技术等,这不仅提升了系统的功能和性能,也为旅游行业的数字化转型提供了有力的技术支撑。同时,该系统的成功实现还可为其他行业的小程序开发提供有益的参考和借鉴。
综上所述,基于微信小程序的旅游助手系统的设计与实现,不仅满足了现代旅游业的发展需求,提升了用户体验,还推动了技术创新和产业升级,为旅游行业的可持续发展注入了新的活力。
在国内,随着移动互联网技术的快速发展和旅游业的蓬勃兴起,基于移动互联网的旅游服务平台如雨后春笋般涌现。微信小程序作为微信生态中的重要组成部分,其便捷性和即用性使得它成为旅游助手系统开发的理想选择。
目前,国内已经有许多城市和景区推出了自己的微信小程序,用于提供景点介绍、门票预订、旅游攻略等服务。例如,故宫博物院、颐和园等著名景点都推出了微信小程序,方便游客获取景点信息和预订门票。此外,一些综合性的旅游平台也推出了微信小程序,整合了多个景点的门票预订服务,为游客提供更加全面的旅游服务。
这些微信小程序通常具有界面友好、功能丰富、操作便捷等特点,深受游客欢迎。它们不仅提供了便捷的订票服务,还通过引入先进技术技术手段,实现了更加智能化、个性化的服务,为游客带来了全新的旅游体验。然而,与国内庞大的旅游市场和游客需求相比,现有的旅游服务平台仍存在一些问题和挑战,如系统稳定性、安全性、易用性等方面仍有待提升,不同平台之间的数据共享和互通也存在困难。
在国外,微信小程序在旅游领域的应用也受到了广泛关注。一些知名的旅游城市和景区已经成功地将微信小程序应用于景点订票系统,为游客提供了更加便捷的服务。
例如,巴黎的卢浮宫、伦敦的大英博物馆等都推出了自己的微信小程序,游客可以通过小程序预订门票、查看展览信息、了解游玩攻略等。这些小程序不仅提供了便捷的服务,还通过丰富的互动和个性化推荐等功能,增强了游客的参与感和体验感。
此外,国外的研究人员也在积极探索微信小程序在旅游信息传递、旅游预订和旅游体验等方面的应用。他们通过文献分析、问卷调查和实验研究等方法,对微信小程序在旅游业中的优势和应用前景进行了深入探讨。这些研究表明,微信小程序在旅游业中具有广泛的应用前景,可以有效提升旅游服务的质量和效率。
值得注意的是,尽管微信小程序在国外旅游领域的应用取得了显著成果,但由于其起源于中国,因此在国外的普及程度和市场占有率相对较低。然而,随着全球化的加速和微信国际版的推广,微信小程序在国外的应用前景仍然十分广阔。
综上所述,基于微信小程序的旅游助手系统在国内外的研究和应用都取得了显著进展。然而,仍然存在一些挑战和问题需要解决。未来,随着技术的不断进步和市场的不断发展,基于微信小程序的旅游助手系统将会更加完善和智能化,为游客提供更加便捷、高效、个性化的旅游服务。
在开发旅游助手系统时,后端采用了Java作为编程语言,并利用了SpringBoot框架,这使得复杂的业务逻辑和数据操作得以高效完成。与此同时,系统的数据存储和管理通过MySQL数据库实现。结合Vue.js作为前端框架,具有数据绑定和组件化的特点,能够有效地提升用户体验和开发效率。在开发工具的选取上,使用了eclipse,它的强大功能和易用性使得编程工作更为高效;而Navicat作为数据库管理工具,使得数据库操作更为方便和快捷。这样的技术选择,确保了管理系统的开发流程既高效又稳定。本系统前台主要实现用户登录注册、首页、留言反馈、景点信息、车票信息、路线推荐、酒店信息、美食信息、通知公告、旅游资讯,我的( 基本信息、收藏、景点预约、车票预定、酒店预订、美食预定)等功能。后台主要实现系统用户、景点类型管理、景点信息管理、景点预约管理、车票信息管理、车票预定管理、路线推荐管理、酒店信息管理、酒店预约管理、菜品类型管理、美食信息管理、美食预定管理、系统管理、留言管理、通知公告管理、资源管理等功能进行管理。
旅游助手系统使用Java语言作为主要语言,前端使用Vue.js框架,后端基于SpringBoot框架开发而成,存储数据使用的是使用较为广泛的MySQL数据库。系统所使用的系统开发环境如下表2-1所示。
表2-1系统开发环境
| 操作系统版本: | Win10 |
| 数据库环境: | MySQL5.7 |
| JDK版本: | JDK1.8.0_191 |
| 主要技术: | Springboot2、Apache Tomcat8.5、Webpack 4.0、Vue.js、Element 、Navicat、bootstrap…… |
| 浏览器: | Chrome |
MySQL是一款广受欢迎的关系数据库管理系统,它能够高效地存储和处理大量的数据。MySQL在Web应用程序中有着卓越的表现,是众多开发者的首选。MySQL遵循SQL语言的标准,这是一种通用的数据库操作语言,简单易学,功能强大。结合Apache服务器,MySQL可以构建出一个优秀的开发环境。
SpringBoot是一个新颖的框架,由Pivotal团队推出,旨在简化Spring应用的创建和开发过程。SpringBoot通过提供一些默认的配置和约定,避免了开发者重复编写模板化的代码。SpringBoot力求成为快速应用开发领域的领导者,让开发者能够更专注于业务逻辑。
Mybatis是一个优秀的持久层框架,它支持定制化SQL、存储过程和高级映射。Mybatis可以消除大部分的JDBC代码和参数的手工设置,让开发者更方便地操作数据库。Mybatis可以和Spring框架完美地集成,提高开发效率和性能。
Tomcat是一种免费的服务器,它能够有效地处理大量的网络访问,特别是在访问量较少的情况下。当将Tomcat安装在电脑上时,它能够自动分析前端HTML页面的请求,从而提高网络的性能。事实上,Tomcat是对Apache的一种延伸[7],但它与Apache之间的关系更加紧密,因为它们在不同的进程中运行,而且它们之间也有着自己的独立性。
Vue.js是一个轻量级的、用于构建用户界面的渐进式框架。它与其他大型框架不同,Vue.js采用了自底向上的设计思想,可以逐层地应用到项目中。Vue.js的核心库只关注视图层,易于上手,也便于与第三方库或现有项目集成。另一方面,Vue.js也可以与现代化的工具链和各种支持库结合使用,从而实现复杂的单页应用程序。
本系统是基于SpringBoot、Mysql、Vue的前后端完全分离的后台管理系统。
B/S模式,即浏览器/服务器模式,是一种常见的网络应用架构模式。在B/S模式中,用户通过浏览器作为客户端与服务器进行交互。在浏览器/服务器(browser / Server Architecture)系统中,用户只需通过浏览器,就能够轻松地向分布在网络各处的众多服务器发送海量的请求。B/S系统大大地简化了客户端的工作,让用户体验更加便捷。
Spring是一个知名的开源框架,它于2003年诞生于Rod Johnson的《Expert One-on-One Java EE Development and Design》一书中。Spring的初衷是为了解决企业级应用开发的复杂性,它让简单的JavaBean也能够实现原本只有EJB才能做到的功能。Spring不仅适用于服务器端的开发,它还能够为任何Java应用程序带来简洁、可测试和低耦合的优势。尽管Spring的组件代码很轻量级,但是它的配置却很繁琐。最初,Spring是使用XML配置的,但是随着项目的增长,XML配置也变得越来越多。
为了改进和优化Spring的缺点,SpringBoot框架应运而生,它基于约定优于配置的理念,让开发者无需编写大量的配置文件,只需遵循一些简单的规则即可。SpringBoot使开发者能够专注于业务逻辑的编码,而不用在配置和业务之间切换思维,这在很大程度上提高了开发效率,缩短了项目开发周期。
- 需求分析
通过综合考虑经济、操作、技术等因素,可以对基于SpringBoot的旅游助手系统的可行性进行全面评估。这将有助于确定项目的成功概率,并为项目规划提供坚实的基础。
经济可行性在此仅代表平台的运维成本,开发成本不在此考虑。
目前该模式下的相关系统的数量日益增多,信息管理系统的平民化、普及化使用户人数呈上升趋势,当用户人数庞大了,运维成本可以由广告费进行填补,包括开发成本。
所以经济可行性没有问题。
此次项目设计参考了几个该模式下系统的开发案例,对他们的操作界面分析,将众多案例结合在一起,突出以人为本简化操作,所以具有基本计算机知识的人都会操作本项目。
因此操作可行性也没有问题。
技术可行性指的是对于搭建框架的可行性,以及有更优秀的技术出现时系统的技术更新换代的纳新性如何,开发时间成本费用比如何。
现有的JAVA语言能够迎合所有系统的搭建。开发这个旅游助手管理系统的时候我采用了JAVA+SpringBoot+Vue 用以运行整体程序。
综上所述技术可行性也没有问题。
通过对应的功能做了需求分析以后该旅游助手系统各角色主要包括的功能说明如下:
普通用户功能需求:
- 登录注册:用户可通过手机号或微信账号快速登录注册,确保账户安全。
- 首页:展示热门景点、优惠活动及最新旅游资讯,吸引用户兴趣。
- 留言反馈:用户可提交使用感受和建议,便于系统优化和改进。
- 景点信息:提供详细景点介绍、开放时间、门票价格等实用信息。
- 车票信息:查询并显示各类交通工具的时刻表、票价及余票情况。
- 路线推荐:根据用户偏好和目的地,智能推荐最佳路线推荐。
- 酒店信息:展示酒店位置、设施、价格等信息,支持在线筛选。
- 美食信息:推荐当地特色美食,提供餐厅位置、菜单及评价。
- 通知公告:实时发布系统更新、活动通知等重要信息。
- 旅游资讯:分享旅游攻略、景点评价、旅行故事等丰富内容。
- 我的:管理个人信息、收藏内容、预约及预订记录,实现个性化服务。
旅游助手系统普通用户角色用例图如下所示。

图3-1 普通用户角色用例图
管理员功能需求
- 登录:管理员凭专属账号登录后台管理系统,确保操作权限。
- 后台首页:展示系统概览、数据统计及待处理事项,便于全局管理。
- 系统用户:管理用户账户信息,包括审核新用户、处理用户问题等。
- 景点类型管理:分类管理景点信息,便于用户查找和筛选。
- 景点信息管理:添加、编辑、删除景点信息,确保内容准确更新。
- 景点预约管理:查看并处理用户预约请求,保障服务顺畅。
- 车票信息管理:维护车票数据,包括车次、时间、票价等。
- 车票预定管理:处理用户车票预定请求,确保收藏准确无误。
- 路线推荐管理:优化并更新路线推荐算法,提升用户体验。
- 酒店信息管理:管理酒店信息,包括酒店介绍、房间类型、价格等。
- 酒店预约管理:审核并处理用户酒店预约请求,保障住宿安排。
- 菜品类型管理:分类管理美食信息,便于用户按口味选择。
- 美食信息管理:更新餐厅菜单、评价等信息,保持内容新鲜。
- 美食预定管理:处理用户美食预定请求,确保用餐安排。
- 系统管理:配置系统参数、维护系统安全,保障稳定运行。
- 留言管理:回复用户留言,收集用户反馈,促进系统改进。
- 通知公告管理:发布并管理通知公告,确保信息传达及时准确。
- 资源管理:管理图片、视频等多媒体资源,提升系统视觉体验。
旅游助手系统管理员角色用例图如下所示。

图3-2 管理员角色用例图
-
- 性能需求分析
用户操作响应时间:系统应保证用户在操作平台时的响应速度,例如浏览资讯、公告等操作应该迅速响应。
系统稳定性:平台应具备一定的容错能力和稳定性,防止因为意外情况导致系统崩溃。
数据安全:用户信息、旅游记录等敏感数据需要加密存储,确保数据安全性。
系统并发能力:平台应考虑到可能大量用户同时访问的情况,保证系统的并发处理能力。
日志记录:系统需要记录用户操作日志、异常日志等,便于排查问题和分析用户行为。
基于以上性能需求将确保旅游助手系统能够稳定、高效地运行,能够很好地满足用户和管理员的需求。
注册的过程,第一部分是账号的注册,第二部分是信息完善。在业务开展过程中,管理员可对用户信息进行修改等管理操作,注册流程如图3-4用户注册流程图所示。

图3-4 用户注册流程图
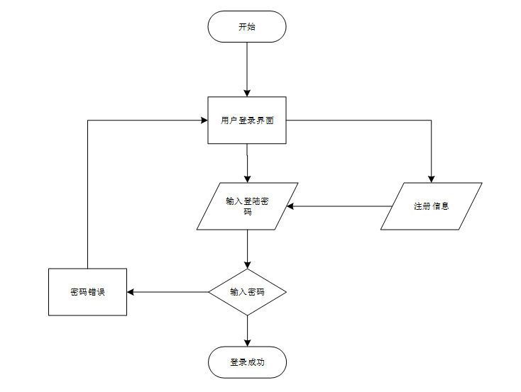
登录时,用户填写用户名、密码、选择身份进行登录,在登录过程中后端会对发送过来的信息进行验证和判断,具体的登录流程如图3-5用户登录流程图所示。

图3-5 用户登录流程图
业务流程图既反映了内部业务间的相互联系,又反映了旅游助手的流动情况。旅游助手系统须支撑整个机构不同层面的多种职能,而各功能模块间存在着多种关联信息,组成一个有机整体,并针对旅游助手自身特点和面临的现实条件,对系统进行业务流程图设计。系统通过流程的顺畅和高效,实现了旅游助手需求的满足和系统管理的便捷,提升了系统的运行效率和用户体验。旅游助手系统的业务流程如下图所示。
用户下单景点预约业务流程如下图所示。

图3-6 用户购买景点业务流程图
基于SpringBoot旅游助手系统采用前后端分离的设计,游客可以浏览系统前台信息,注册成为普通用户,登录后才可进行其他操作。普通用户登录后,可搜索和浏览旅游资讯、景点信息、路线推荐、酒店信息等信息,并可发布交流帖子与其他用户进行交流。系统前台功能模块图如下图所示。

图4-1系统前台功能模块图
后台功能主要为管理员模块。可管理系统用户、景点类型管理、景点信息管理、景点预约管理、车票信息管理、车票预定管理、路线推荐管理、酒店信息管理、酒店预约管理、菜品类型管理、美食信息管理、美食预定管理、系统管理、留言管理、通知公告管理、资源管理等功能进行管理和维护系统正常运行。系统后台功能模块图如下图所示。

图4-2系统后台功能模块图
数据库的设计是系统的设计中比较重要的一部分内容,数据库设计是一切系统设计的基础,首先需要进行概念模型E-R图的设计,然后进行关系模型物理模型的建立。
本文在系统分析阶段就抽取了一些实体,根据实体之间的关系,经过分析进行系统E-R图的设计。旅游助手系统总体E-R图如下图所示。

图4-3系统总体E-R图
本系统采MySQL数据库管理系统对数据进行管理。下面是对各个表中的表中各个字段数据类型、大小等做简短描述。旅游助手系统所需要的部分数据结构表如下表所示。
表access_token (登陆访问时长)
| 编号 | 名称 | 数据类型 | 长度 | 小数位 | 允许空值 | 主键 | 默认值 | 说明 |
| 1 | token_id | int | 10 | 0 | N | Y | 临时访问牌ID | |
| 2 | token | varchar | 64 | 0 | Y | N | 临时访问牌 | |
| 3 | info | text | 65535 | 0 | Y | N | ||
| 4 | maxage | int | 10 | 0 | N | N | 2 | 最大寿命:默认2小时 |
| 5 | create_time | timestamp | 19 | 0 | N | N | CURRENT_TIMESTAMP | 创建时间: |
| 6 | update_time | timestamp | 19 | 0 | N | N | CURRENT_TIMESTAMP | 更新时间: |
| 7 | user_id | int | 10 | 0 | N | N | 0 | 用户编号: |
| 编号 | 名称 | 数据类型 | 长度 | 小数位 | 允许空值 | 主键 | 默认值 | 说明 |
| 1 | article_id | mediumint | 8 | 0 | N | Y | 文章id:[0,8388607] | |
| 2 | title | varchar | 125 | 0 | N | Y | 标题:[0,125]用于文章和html的title标签中 | |
| 3 | type | varchar | 64 | 0 | N | N | 0 | 文章分类:[0,1000]用来搜索指定类型的文章 |
| 4 | hits | int | 10 | 0 | N | N | 0 | 点击数:[0,1000000000]访问这篇文章的人次 |
| 5 | praise_len | int | 10 | 0 | N | N | 0 | 点赞数 |
| 6 | create_time | timestamp | 19 | 0 | N | N | CURRENT_TIMESTAMP | 创建时间: |
| 7 | update_time | timestamp | 19 | 0 | N | N | CURRENT_TIMESTAMP | 更新时间: |
| 8 | source | varchar | 255 | 0 | Y | N | 来源:[0,255]文章的出处 | |
| 9 | url | varchar | 255 | 0 | Y | N | 来源地址:[0,255]用于跳转到发布该文章的网站 | |
| 10 | tag | varchar | 255 | 0 | Y | N | 标签:[0,255]用于标注文章所属相关内容,多个标签用空格隔开 | |
| 11 | content | longtext | 2147483647 | 0 | Y | N | 正文:文章的主体内容 | |
| 12 | img | varchar | 255 | 0 | Y | N | 封面图 | |
| 13 | description | text | 65535 | 0 | Y | N | 文章描述 |
| 编号 | 名称 | 数据类型 | 长度 | 小数位 | 允许空值 | 主键 | 默认值 | 说明 |
| 1 | type_id | smallint | 5 | 0 | N | Y | 分类ID:[0,10000] | |
| 2 | display | smallint | 5 | 0 | N | N | 100 | 显示顺序:[0,1000]决定分类显示的先后顺序 |
| 3 | name | varchar | 16 | 0 | N | N | 分类名称:[2,16] | |
| 4 | father_id | smallint | 5 | 0 | N | N | 0 | 上级分类ID:[0,32767] |
| 5 | description | varchar | 255 | 0 | Y | N | 描述:[0,255]描述该分类的作用 | |
| 6 | icon | text | 65535 | 0 | Y | N | 分类图标: | |
| 7 | url | varchar | 255 | 0 | Y | N | 外链地址:[0,255]如果该分类是跳转到其他网站的情况下,就在该URL上设置 | |
| 8 | create_time | timestamp | 19 | 0 | N | N | CURRENT_TIMESTAMP | 创建时间: |
| 9 | update_time | timestamp | 19 | 0 | N | N | CURRENT_TIMESTAMP | 更新时间: |
| 编号 | 名称 | 数据类型 | 长度 | 小数位 | 允许空值 | 主键 | 默认值 | 说明 |
| 1 | auth_id | int | 10 | 0 | N | Y | 授权ID: | |
| 2 | user_group | varchar | 64 | 0 | Y | N | 用户组: | |
| 3 | mod_name | varchar | 64 | 0 | Y | N | 模块名: | |
| 4 | table_name | varchar | 64 | 0 | Y | N | 表名: | |
| 5 | page_title | varchar | 255 | 0 | Y | N | 页面标题: | |
| 6 | path | varchar | 255 | 0 | Y | N | 路由路径: | |
| 7 | parent | varchar | 64 | 0 | Y | N | 父级菜单 | |
| 8 | parent_sort | int | 10 | 0 | N | N | 0 | 父级菜单排序 |
| 9 | position | varchar | 32 | 0 | Y | N | 位置: | |
| 10 | mode | varchar | 32 | 0 | N | N | _blank | 跳转方式: |
| 11 | add | tinyint | 3 | 0 | N | N | 1 | 是否可增加: |
| 12 | del | tinyint | 3 | 0 | N | N | 1 | 是否可删除: |
| 13 | set | tinyint | 3 | 0 | N | N | 1 | 是否可修改: |
| 14 | get | tinyint | 3 | 0 | N | N | 1 | 是否可查看: |
| 15 | field_add | text | 65535 | 0 | Y | N | 添加字段: | |
| 16 | field_set | text | 65535 | 0 | Y | N | 修改字段: | |
| 17 | field_get | text | 65535 | 0 | Y | N | 查询字段: | |
| 18 | table_nav_name | varchar | 500 | 0 | Y | N | 跨表导航名称: | |
| 19 | table_nav | varchar | 500 | 0 | Y | N | 跨表导航: | |
| 20 | option | text | 65535 | 0 | Y | N | 配置: | |
| 21 | create_time | timestamp | 19 | 0 | N | N | CURRENT_TIMESTAMP | 创建时间: |
| 22 | update_time | timestamp | 19 | 0 | N | N | CURRENT_TIMESTAMP | 更新时间: |
| 编号 | 名称 | 数据类型 | 长度 | 小数位 | 允许空值 | 主键 | 默认值 | 说明 |
| 1 | code_token_id | int | 10 | 0 | N | Y | ||
| 2 | token | varchar | 255 | 0 | Y | N | ||
| 3 | code | varchar | 255 | 0 | Y | N | 验证码 | |
| 4 | expire_time | timestamp | 19 | 0 | N | N | CURRENT_TIMESTAMP | 失效时间 |
| 5 | create_time | timestamp | 19 | 0 | N | N | CURRENT_TIMESTAMP | 创建时间 |
| 6 | update_time | timestamp | 19 | 0 | N | N | CURRENT_TIMESTAMP | 更新时间: |
| 编号 | 名称 | 数据类型 | 长度 | 小数位 | 允许空值 | 主键 | 默认值 | 说明 |
| 1 | collect_id | int | 10 | 0 | N | Y | 收藏ID: | |
| 2 | user_id | int | 10 | 0 | N | N | 0 | 收藏人ID: |
| 3 | source_table | varchar | 255 | 0 | Y | N | 来源表: | |
| 4 | source_field | varchar | 255 | 0 | Y | N | 来源字段: | |
| 5 | source_id | int | 10 | 0 | N | N | 0 | 来源ID: |
| 6 | title | varchar | 255 | 0 | Y | N | 标题: | |
| 7 | img | varchar | 255 | 0 | Y | N | 封面: | |
| 8 | create_time | timestamp | 19 | 0 | N | N | CURRENT_TIMESTAMP | 创建时间: |
| 9 | update_time | timestamp | 19 | 0 | N | N | CURRENT_TIMESTAMP | 更新时间: |
| 编号 | 名称 | 数据类型 | 长度 | 小数位 | 允许空值 | 主键 | 默认值 | 说明 |
| 1 | comment_id | int | 10 | 0 | N | Y | 评论ID: | |
| 2 | user_id | int | 10 | 0 | N | N | 0 | 评论人ID: |
| 3 | reply_to_id | int | 10 | 0 | N | N | 0 | 回复评论ID:空为0 |
| 4 | content | longtext | 2147483647 | 0 | Y | N | 内容: | |
| 5 | nickname | varchar | 255 | 0 | Y | N | 昵称: | |
| 6 | avatar | varchar | 255 | 0 | Y | N | 头像地址:[0,255] | |
| 7 | create_time | timestamp | 19 | 0 | N | N | CURRENT_TIMESTAMP | 创建时间: |
| 8 | update_time | timestamp | 19 | 0 | N | N | CURRENT_TIMESTAMP | 更新时间: |
| 9 | source_table | varchar | 255 | 0 | Y | N | 来源表: | |
| 10 | source_field | varchar | 255 | 0 | Y | N | 来源字段: | |
| 11 | source_id | int | 10 | 0 | N | N | 0 | 来源ID: |
| 编号 | 名称 | 数据类型 | 长度 | 小数位 | 允许空值 | 主键 | 默认值 | 说明 |
| 1 | food_information_id | int | 10 | 0 | N | Y | 美食信息ID | |
| 2 | name_of_dish | varchar | 64 | 0 | Y | N | 菜品名称 | |
| 3 | type_of_dish | varchar | 64 | 0 | Y | N | 菜品类型 | |
| 4 | cooking_methods | varchar | 64 | 0 | Y | N | 烹饪方式 | |
| 5 | ingredients_of_ingredients | varchar | 64 | 0 | Y | N | 食材成分 | |
| 6 | price_of_dishes | double | 9 | 2 | Y | N | 0.00 | 菜品价格 |
| 7 | dianping | varchar | 64 | 0 | Y | N | 大众点评 | |
| 8 | cover_photo | varchar | 255 | 0 | Y | N | 封面图片 | |
| 9 | description_of_dishes | text | 65535 | 0 | Y | N | 菜品描述 | |
| 10 | hits | int | 10 | 0 | N | N | 0 | 点击数 |
| 11 | praise_len | int | 10 | 0 | N | N | 0 | 点赞数 |
| 12 | recommend | int | 10 | 0 | N | N | 0 | 智能推荐 |
| 13 | food_reservation_limit_times | int | 10 | 0 | N | N | 0 | 美食预定限制次数 |
| 14 | create_time | datetime | 19 | 0 | N | N | CURRENT_TIMESTAMP | 创建时间 |
| 15 | update_time | timestamp | 19 | 0 | N | N | CURRENT_TIMESTAMP | 更新时间 |
| 编号 | 名称 | 数据类型 | 长度 | 小数位 | 允许空值 | 主键 | 默认值 | 说明 |
| 1 | food_reservation_id | int | 10 | 0 | N | Y | 美食预定ID | |
| 2 | ordinary_users | int | 10 | 0 | Y | N | 0 | 普通用户 |
| 3 | name_of_dish | varchar | 64 | 0 | Y | N | 菜品名称 | |
| 4 | cooking_methods | varchar | 64 | 0 | Y | N | 烹饪方式 | |
| 5 | ingredients_of_ingredients | varchar | 64 | 0 | Y | N | 食材成分 | |
| 6 | price_of_dishes | double | 9 | 2 | Y | N | 0.00 | 菜品价格 |
| 7 | scheduled_date | date | 10 | 0 | Y | N | 预定日期 | |
| 8 | number_of_reservations | double | 9 | 2 | Y | N | 0.00 | 预定人数 |
| 9 | total_payment | double | 9 | 2 | Y | N | 0.00 | 合计支付 |
| 10 | booking_remarks | text | 65535 | 0 | Y | N | 预定备注 | |
| 11 | pay_state | varchar | 16 | 0 | N | N | 未支付 | 支付状态 |
| 12 | pay_type | varchar | 16 | 0 | Y | N | 支付类型: 微信、支付宝、网银 | |
| 13 | create_time | datetime | 19 | 0 | N | N | CURRENT_TIMESTAMP | 创建时间 |
| 14 | update_time | timestamp | 19 | 0 | N | N | CURRENT_TIMESTAMP | 更新时间 |
| 15 | source_table | varchar | 255 | 0 | Y | N | 来源表 | |
| 16 | source_id | int | 10 | 0 | Y | N | 来源ID | |
| 17 | source_user_id | int | 10 | 0 | Y | N | 来源用户 |
| 编号 | 名称 | 数据类型 | 长度 | 小数位 | 允许空值 | 主键 | 默认值 | 说明 |
| 1 | hits_id | int | 10 | 0 | N | Y | 点赞ID: | |
| 2 | user_id | int | 10 | 0 | N | N | 0 | 点赞人: |
| 3 | create_time | timestamp | 19 | 0 | N | N | CURRENT_TIMESTAMP | 创建时间: |
| 4 | update_time | timestamp | 19 | 0 | N | N | CURRENT_TIMESTAMP | 更新时间: |
| 5 | source_table | varchar | 255 | 0 | Y | N | 来源表: | |
| 6 | source_field | varchar | 255 | 0 | Y | N | 来源字段: | |
| 7 | source_id | int | 10 | 0 | N | N | 0 | 来源ID: |
| 编号 | 名称 | 数据类型 | 长度 | 小数位 | 允许空值 | 主键 | 默认值 | 说明 |
| 1 | hotel_information_id | int | 10 | 0 | N | Y | 酒店信息ID | |
| 2 | hotel_name | varchar | 64 | 0 | Y | N | 酒店名称 | |
| 3 | hotel_star_rating | varchar | 64 | 0 | Y | N | 酒店星级 | |
| 4 | hotel_location | varchar | 64 | 0 | Y | N | 酒店位置 | |
| 5 | hotel_prices | double | 9 | 2 | Y | N | 0.00 | 酒店价格 |
| 6 | hotel_pictures | varchar | 255 | 0 | Y | N | 酒店图片 | |
| 7 | hotel_introduction | text | 65535 | 0 | Y | N | 酒店简介 | |
| 8 | hits | int | 10 | 0 | N | N | 0 | 点击数 |
| 9 | praise_len | int | 10 | 0 | N | N | 0 | 点赞数 |
| 10 | recommend | int | 10 | 0 | N | N | 0 | 智能推荐 |
| 11 | hotel_reservation_limit_times | int | 10 | 0 | N | N | 0 | 酒店预定限制次数 |
| 12 | create_time | datetime | 19 | 0 | N | N | CURRENT_TIMESTAMP | 创建时间 |
| 13 | update_time | timestamp | 19 | 0 | N | N | CURRENT_TIMESTAMP | 更新时间 |
| 编号 | 名称 | 数据类型 | 长度 | 小数位 | 允许空值 | 主键 | 默认值 | 说明 |
| 1 | hotel_reservation_id | int | 10 | 0 | N | Y | 酒店预约ID | |
| 2 | ordinary_users | int | 10 | 0 | Y | N | 0 | 普通用户 |
| 3 | hotel_name | varchar | 64 | 0 | Y | N | 酒店名称 | |
| 4 | hotel_star_rating | varchar | 64 | 0 | Y | N | 酒店星级 | |
| 5 | hotel_location | varchar | 64 | 0 | Y | N | 酒店位置 | |
| 6 | hotel_prices | double | 9 | 2 | Y | N | 0.00 | 酒店价格 |
| 7 | number_of_appointments | double | 9 | 2 | Y | N | 0.00 | 预约人数 |
| 8 | appointment_date | date | 10 | 0 | Y | N | 预约日期 | |
| 9 | total_payment | double | 9 | 2 | Y | N | 0.00 | 合计支付 |
| 10 | appointment_remarks | text | 65535 | 0 | Y | N | 预约备注 | |
| 11 | pay_state | varchar | 16 | 0 | N | N | 未支付 | 支付状态 |
| 12 | pay_type | varchar | 16 | 0 | Y | N | 支付类型: 微信、支付宝、网银 | |
| 13 | create_time | datetime | 19 | 0 | N | N | CURRENT_TIMESTAMP | 创建时间 |
| 14 | update_time | timestamp | 19 | 0 | N | N | CURRENT_TIMESTAMP | 更新时间 |
| 15 | source_table | varchar | 255 | 0 | Y | N | 来源表 | |
| 16 | source_id | int | 10 | 0 | Y | N | 来源ID | |
| 17 | source_user_id | int | 10 | 0 | Y | N | 来源用户 |
| 编号 | 名称 | 数据类型 | 长度 | 小数位 | 允许空值 | 主键 | 默认值 | 说明 |
| 1 | message_id | int | 10 | 0 | N | Y | 留言板ID: | |
| 2 | user_id | int | 10 | 0 | N | N | 0 | 用户ID: |
| 3 | title | varchar | 64 | 0 | Y | N | 标题: | |
| 4 | content | longtext | 2147483647 | 0 | N | N | 内容: | |
| 5 | nickname | varchar | 32 | 0 | N | N | 昵称: | |
| 6 | avatar | varchar | 255 | 0 | Y | N | 头像: | |
| 7 | | varchar | 125 | 0 | Y | N | 留言者邮箱 | |
| 8 | phone | varchar | 11 | 0 | Y | N | 留言者手机号码 | |
| 9 | create_time | timestamp | 19 | 0 | N | N | CURRENT_TIMESTAMP | 创建时间: |
| 10 | update_time | timestamp | 19 | 0 | N | N | CURRENT_TIMESTAMP | 更新时间: |
| 11 | reply | longtext | 2147483647 | 0 | Y | N | 回复 | |
| 12 | reply_state | tinyint | 4 | 0 | Y | N | 0 | 回复状态 |
| 编号 | 名称 | 数据类型 | 长度 | 小数位 | 允许空值 | 主键 | 默认值 | 说明 |
| 1 | notice_id | mediumint | 8 | 0 | N | Y | 公告id: | |
| 2 | title | varchar | 125 | 0 | N | N | 标题: | |
| 3 | content | longtext | 2147483647 | 0 | Y | N | 正文: | |
| 4 | create_time | timestamp | 19 | 0 | N | N | CURRENT_TIMESTAMP | 创建时间: |
| 5 | update_time | timestamp | 19 | 0 | N | N | CURRENT_TIMESTAMP | 更新时间: |
| 编号 | 名称 | 数据类型 | 长度 | 小数位 | 允许空值 | 主键 | 默认值 | 说明 |
| 1 | ordinary_users_id | int | 10 | 0 | N | Y | 普通用户ID | |
| 2 | user_name | varchar | 64 | 0 | Y | N | 用户姓名 | |
| 3 | contact_information | varchar | 64 | 0 | Y | N | 联系方式 | |
| 4 | user_gender | varchar | 64 | 0 | Y | N | 用户性别 | |
| 5 | examine_state | varchar | 16 | 0 | N | N | 已通过 | 审核状态 |
| 6 | user_id | int | 10 | 0 | N | N | 0 | 用户ID |
| 7 | create_time | datetime | 19 | 0 | N | N | CURRENT_TIMESTAMP | 创建时间 |
| 8 | update_time | timestamp | 19 | 0 | N | N | CURRENT_TIMESTAMP | 更新时间 |
| 编号 | 名称 | 数据类型 | 长度 | 小数位 | 允许空值 | 主键 | 默认值 | 说明 |
| 1 | praise_id | int | 10 | 0 | N | Y | 点赞ID: | |
| 2 | user_id | int | 10 | 0 | N | N | 0 | 点赞人: |
| 3 | create_time | timestamp | 19 | 0 | N | N | CURRENT_TIMESTAMP | 创建时间: |
| 4 | update_time | timestamp | 19 | 0 | N | N | CURRENT_TIMESTAMP | 更新时间: |
| 5 | source_table | varchar | 255 | 0 | Y | N | 来源表: | |
| 6 | source_field | varchar | 255 | 0 | Y | N | 来源字段: | |
| 7 | source_id | int | 10 | 0 | N | N | 0 | 来源ID: |
| 8 | status | bit | 1 | 0 | N | N | 1 | 点赞状态:1为点赞,0已取消 |
| 编号 | 名称 | 数据类型 | 长度 | 小数位 | 允许空值 | 主键 | 默认值 | 说明 |
| 1 | route_recommendation_id | int | 10 | 0 | N | Y | 路线推荐ID | |
| 2 | route_name | varchar | 64 | 0 | Y | N | 路线名称 | |
| 3 | route_location | varchar | 64 | 0 | Y | N | 路线位置 | |
| 4 | route_length | varchar | 64 | 0 | Y | N | 路线长度 | |
| 5 | traveler_rating | double | 9 | 2 | Y | N | 0.00 | 驴友评分 |
| 6 | route_image | varchar | 255 | 0 | Y | N | 路线图片 | |
| 7 | route_introduction | longtext | 2147483647 | 0 | Y | N | 路线简介 | |
| 8 | hits | int | 10 | 0 | N | N | 0 | 点击数 |
| 9 | praise_len | int | 10 | 0 | N | N | 0 | 点赞数 |
| 10 | recommend | int | 10 | 0 | N | N | 0 | 智能推荐 |
| 11 | create_time | datetime | 19 | 0 | N | N | CURRENT_TIMESTAMP | 创建时间 |
| 12 | update_time | timestamp | 19 | 0 | N | N | CURRENT_TIMESTAMP | 更新时间 |
表scenic_spot_information (景点信息)
| 编号 | 名称 | 数据类型 | 长度 | 小数位 | 允许空值 | 主键 | 默认值 | 说明 |
| 1 | scenic_spot_information_id | int | 10 | 0 | N | Y | 景点信息ID | |
| 2 | scenic_spot_name | varchar | 64 | 0 | Y | N | 景点名称 | |
| 3 | types_of_tourist_attractions | varchar | 64 | 0 | Y | N | 景点类型 | |
| 4 | location_of_tourist_attractions | varchar | 64 | 0 | Y | N | 景点位置 | |
| 5 | opening_hours | varchar | 64 | 0 | Y | N | 开放时间 | |
| 6 | scenic_spot_ticket_prices | double | 9 | 2 | Y | N | 0.00 | 景点票价 |
| 7 | traveler_rating | double | 9 | 2 | Y | N | 0.00 | 驴友评分 |
| 8 | cover_photo | varchar | 255 | 0 | Y | N | 封面图片 | |
| 9 | introduction_to_scenic_spots | longtext | 2147483647 | 0 | Y | N | 景点简介 | |
| 10 | hits | int | 10 | 0 | N | N | 0 | 点击数 |
| 11 | praise_len | int | 10 | 0 | N | N | 0 | 点赞数 |
| 12 | recommend | int | 10 | 0 | N | N | 0 | 智能推荐 |
| 13 | scenic_spot_reservation_limit_times | int | 10 | 0 | N | N | 0 | 景点预约限制次数 |
| 14 | create_time | datetime | 19 | 0 | N | N | CURRENT_TIMESTAMP | 创建时间 |
| 15 | update_time | timestamp | 19 | 0 | N | N | CURRENT_TIMESTAMP | 更新时间 |
表scenic_spot_reservation (景点预约)
| 编号 | 名称 | 数据类型 | 长度 | 小数位 | 允许空值 | 主键 | 默认值 | 说明 |
| 1 | scenic_spot_reservation_id | int | 10 | 0 | N | Y | 景点预约ID | |
| 2 | ordinary_users | int | 10 | 0 | Y | N | 0 | 普通用户 |
| 3 | scenic_spot_name | varchar | 64 | 0 | Y | N | 景点名称 | |
| 4 | location_of_tourist_attractions | varchar | 64 | 0 | Y | N | 景点位置 | |
| 5 | opening_hours | varchar | 64 | 0 | Y | N | 开放时间 | |
| 6 | scenic_spot_ticket_prices | double | 9 | 2 | Y | N | 0.00 | 景点票价 |
| 7 | number_of_reservations | double | 9 | 2 | Y | N | 0.00 | 预定人数 |
| 8 | scheduled_date | date | 10 | 0 | Y | N | 预定日期 | |
| 9 | total_payment | double | 9 | 2 | Y | N | 0.00 | 合计支付 |
| 10 | appointment_remarks | text | 65535 | 0 | Y | N | 预约备注 | |
| 11 | pay_state | varchar | 16 | 0 | N | N | 未支付 | 支付状态 |
| 12 | pay_type | varchar | 16 | 0 | Y | N | 支付类型: 微信、支付宝、网银 | |
| 13 | create_time | datetime | 19 | 0 | N | N | CURRENT_TIMESTAMP | 创建时间 |
| 14 | update_time | timestamp | 19 | 0 | N | N | CURRENT_TIMESTAMP | 更新时间 |
| 15 | source_table | varchar | 255 | 0 | Y | N | 来源表 | |
| 16 | source_id | int | 10 | 0 | Y | N | 来源ID | |
| 17 | source_user_id | int | 10 | 0 | Y | N | 来源用户 |
| 编号 | 名称 | 数据类型 | 长度 | 小数位 | 允许空值 | 主键 | 默认值 | 说明 |
| 1 | schedule_id | smallint | 5 | 0 | N | Y | 日程ID:[0,32767] | |
| 2 | content | varchar | 255 | 0 | Y | N | 日程内容 | |
| 3 | scheduled_time | datetime | 19 | 0 | Y | N | 计划时间 | |
| 4 | user_id | int | 10 | 0 | N | N | 用户id | |
| 5 | create_time | datetime | 19 | 0 | Y | N | 创建时间 | |
| 6 | update_time | datetime | 19 | 0 | Y | N | 更新时间 |
| 编号 | 名称 | 数据类型 | 长度 | 小数位 | 允许空值 | 主键 | 默认值 | 说明 |
| 1 | score_id | int | 10 | 0 | N | Y | 评分ID: | |
| 2 | user_id | int | 10 | 0 | N | N | 0 | 评分人: |
| 3 | nickname | varchar | 64 | 0 | Y | N | 昵称: | |
| 4 | score_num | double | 5 | 2 | N | N | 0.00 | 评分: |
| 5 | create_time | timestamp | 19 | 0 | N | N | CURRENT_TIMESTAMP | 创建时间: |
| 6 | update_time | timestamp | 19 | 0 | N | N | CURRENT_TIMESTAMP | 更新时间: |
| 7 | source_table | varchar | 255 | 0 | Y | N | 来源表: | |
| 8 | source_field | varchar | 255 | 0 | Y | N | 来源字段: | |
| 9 | source_id | int | 10 | 0 | N | N | 0 | 来源ID: |
| 编号 | 名称 | 数据类型 | 长度 | 小数位 | 允许空值 | 主键 | 默认值 | 说明 |
| 1 | slides_id | int | 10 | 0 | N | Y | 轮播图ID: | |
| 2 | title | varchar | 64 | 0 | Y | N | 标题: | |
| 3 | content | varchar | 255 | 0 | Y | N | 内容: | |
| 4 | url | varchar | 255 | 0 | Y | N | 链接: | |
| 5 | img | varchar | 255 | 0 | Y | N | 轮播图: | |
| 6 | hits | int | 10 | 0 | N | N | 0 | 点击量: |
| 7 | create_time | timestamp | 19 | 0 | N | N | CURRENT_TIMESTAMP | 创建时间: |
| 8 | update_time | timestamp | 19 | 0 | N | N | CURRENT_TIMESTAMP | 更新时间: |
| 编号 | 名称 | 数据类型 | 长度 | 小数位 | 允许空值 | 主键 | 默认值 | 说明 |
| 1 | ticket_information_id | int | 10 | 0 | N | Y | 车票信息ID | |
| 2 | ticket_name | varchar | 64 | 0 | Y | N | 车票名称 | |
| 3 | departure_location | varchar | 64 | 0 | Y | N | 发车地点 | |
| 4 | end_point_name | varchar | 64 | 0 | Y | N | 终点名称 | |
| 5 | departure_time | datetime | 19 | 0 | Y | N | 发车时间 | |
| 6 | estimated_time | varchar | 64 | 0 | Y | N | 预计时间 | |
| 7 | ticket_prices | double | 9 | 2 | Y | N | 0.00 | 车票价格 |
| 8 | cover_photo | varchar | 255 | 0 | Y | N | 封面图片 | |
| 9 | ticket_introduction | longtext | 2147483647 | 0 | Y | N | 车票简介 | |
| 10 | praise_len | int | 10 | 0 | N | N | 0 | 点赞数 |
| 11 | ticket_reservation_limit_times | int | 10 | 0 | N | N | 0 | 车票预定限制次数 |
| 12 | create_time | datetime | 19 | 0 | N | N | CURRENT_TIMESTAMP | 创建时间 |
| 13 | update_time | timestamp | 19 | 0 | N | N | CURRENT_TIMESTAMP | 更新时间 |
| 编号 | 名称 | 数据类型 | 长度 | 小数位 | 允许空值 | 主键 | 默认值 | 说明 |
| 1 | ticket_reservation_id | int | 10 | 0 | N | Y | 车票预定ID | |
| 2 | ordinary_users | int | 10 | 0 | Y | N | 0 | 普通用户 |
| 3 | ticket_name | varchar | 64 | 0 | Y | N | 车票名称 | |
| 4 | departure_location | varchar | 64 | 0 | Y | N | 发车地点 | |
| 5 | end_point_name | varchar | 64 | 0 | Y | N | 终点名称 | |
| 6 | ticket_prices | double | 9 | 2 | Y | N | 0.00 | 车票价格 |
| 7 | scheduled_date | date | 10 | 0 | Y | N | 预定日期 | |
| 8 | number_of_reservations | double | 9 | 2 | Y | N | 0.00 | 预定人数 |
| 9 | total_payment | double | 9 | 2 | Y | N | 0.00 | 合计支付 |
| 10 | booking_remarks | text | 65535 | 0 | Y | N | 预定备注 | |
| 11 | pay_state | varchar | 16 | 0 | N | N | 未支付 | 支付状态 |
| 12 | pay_type | varchar | 16 | 0 | Y | N | 支付类型: 微信、支付宝、网银 | |
| 13 | create_time | datetime | 19 | 0 | N | N | CURRENT_TIMESTAMP | 创建时间 |
| 14 | update_time | timestamp | 19 | 0 | N | N | CURRENT_TIMESTAMP | 更新时间 |
| 15 | source_table | varchar | 255 | 0 | Y | N | 来源表 | |
| 16 | source_id | int | 10 | 0 | Y | N | 来源ID | |
| 17 | source_user_id | int | 10 | 0 | Y | N | 来源用户 |
表types_of_tourist_attractions (景点类型)
| 编号 | 名称 | 数据类型 | 长度 | 小数位 | 允许空值 | 主键 | 默认值 | 说明 |
| 1 | types_of_tourist_attractions_id | int | 10 | 0 | N | Y | 景点类型ID | |
| 2 | types_of_tourist_attractions | varchar | 64 | 0 | Y | N | 景点类型 | |
| 3 | create_time | datetime | 19 | 0 | N | N | CURRENT_TIMESTAMP | 创建时间 |
| 4 | update_time | timestamp | 19 | 0 | N | N | CURRENT_TIMESTAMP | 更新时间 |
| 编号 | 名称 | 数据类型 | 长度 | 小数位 | 允许空值 | 主键 | 默认值 | 说明 |
| 1 | type_of_dish_id | int | 10 | 0 | N | Y | 菜品类型ID | |
| 2 | type_of_dish | varchar | 64 | 0 | Y | N | 菜品类型 | |
| 3 | create_time | datetime | 19 | 0 | N | N | CURRENT_TIMESTAMP | 创建时间 |
| 4 | update_time | timestamp | 19 | 0 | N | N | CURRENT_TIMESTAMP | 更新时间 |
| 编号 | 名称 | 数据类型 | 长度 | 小数位 | 允许空值 | 主键 | 默认值 | 说明 |
| 1 | upload_id | int | 10 | 0 | N | Y | 上传ID | |
| 2 | name | varchar | 64 | 0 | Y | N | 文件名 | |
| 3 | path | varchar | 255 | 0 | Y | N | 访问路径 | |
| 4 | file | varchar | 255 | 0 | Y | N | 文件路径 | |
| 5 | display | varchar | 255 | 0 | Y | N | 显示顺序 | |
| 6 | father_id | int | 10 | 0 | Y | N | 0 | 父级ID |
| 7 | dir | varchar | 255 | 0 | Y | N | 文件夹 | |
| 8 | type | varchar | 32 | 0 | Y | N | 文件类型 |
| 编号 | 名称 | 数据类型 | 长度 | 小数位 | 允许空值 | 主键 | 默认值 | 说明 |
| 1 | user_id | int | 10 | 0 | N | Y | 用户ID:[0,8388607]用户获取其他与用户相关的数据 | |
| 2 | state | smallint | 5 | 0 | N | N | 1 | 账户状态:[0,10](1可用|2异常|3已冻结|4已注销) |
| 3 | user_group | varchar | 32 | 0 | Y | N | 所在用户组:[0,32767]决定用户身份和权限 | |
| 4 | login_time | timestamp | 19 | 0 | N | N | CURRENT_TIMESTAMP | 上次登录时间: |
| 5 | phone | varchar | 11 | 0 | Y | N | 手机号码:[0,11]用户的手机号码,用于找回密码时或登录时 | |
| 6 | phone_state | smallint | 5 | 0 | N | N | 0 | 手机认证:[0,1](0未认证|1审核中|2已认证) |
| 7 | username | varchar | 16 | 0 | N | N | 用户名:[0,16]用户登录时所用的账户名称 | |
| 8 | nickname | varchar | 16 | 0 | Y | N | 昵称:[0,16] | |
| 9 | password | varchar | 64 | 0 | N | N | 密码:[0,32]用户登录所需的密码,由6-16位数字或英文组成 | |
| 10 | | varchar | 64 | 0 | Y | N | 邮箱:[0,64]用户的邮箱,用于找回密码时或登录时 | |
| 11 | email_state | smallint | 5 | 0 | N | N | 0 | 邮箱认证:[0,1](0未认证|1审核中|2已认证) |
| 12 | avatar | varchar | 255 | 0 | Y | N | 头像地址:[0,255] | |
| 13 | open_id | varchar | 255 | 0 | Y | N | 针对获取用户信息字段 | |
| 14 | create_time | timestamp | 19 | 0 | N | N | CURRENT_TIMESTAMP | 创建时间: |
| 编号 | 名称 | 数据类型 | 长度 | 小数位 | 允许空值 | 主键 | 默认值 | 说明 |
| 1 | group_id | mediumint | 8 | 0 | N | Y | 用户组ID:[0,8388607] | |
| 2 | display | smallint | 5 | 0 | N | N | 100 | 显示顺序:[0,1000] |
| 3 | name | varchar | 16 | 0 | N | N | 名称:[0,16] | |
| 4 | description | varchar | 255 | 0 | Y | N | 描述:[0,255]描述该用户组的特点或权限范围 | |
| 5 | source_table | varchar | 255 | 0 | Y | N | 来源表: | |
| 6 | source_field | varchar | 255 | 0 | Y | N | 来源字段: | |
| 7 | source_id | int | 10 | 0 | N | N | 0 | 来源ID: |
| 8 | register | smallint | 5 | 0 | Y | N | 0 | 注册位置: |
| 9 | create_time | timestamp | 19 | 0 | N | N | CURRENT_TIMESTAMP | 创建时间: |
| 10 | update_time | timestamp | 19 | 0 | N | N | CURRENT_TIMESTAMP | 更新时间: |
基于微信小程序的旅游助手系统设计与实现,主要利用微信小程序技术,结合后端框架如SpringBoot和数据库如MySQL等技术栈,为旅游助手提供一个集旅游服务、信息查询、社交互动为一体的线上平台。系统实现包括用户注册登录、景点查询、路线规划、酒店预订等功能模块。通过微信小程序,旅游助手可以方便快捷地获取旅游信息,规划行程,享受便捷的旅游服务。同时,系统还注重用户体验和界面设计,确保旅游助手能够轻松上手,享受愉快的旅游体验。整体设计追求简洁高效,以提升用户体验和平台运行效率为目标。
本设计的前端系统每个页面都具备必要的交互设计,较好地呈现了旅游助手系统的基础功能。组件的构建上思路清晰,易于理解,扁平风格突出简洁,配色清新。游客注册成为普通用户即可登录系统前台实现各项操作。
前台登录界面布局如下图:

图5-1 前台登录界面

图5-2 前台注册界面
前台首页模块是系统的主入口,为用户提供导航和重要信息展示。通过清晰的界面布局和内容展示,为用户提供良好的导航菜单、轮播图、推荐内容、公告通知和信息浏览体验,引导用户进行登录、注册及系统内相关操作。
前台首页界面布局如下图:

图5-3 前台首页界面
本设计的后台管理系统,主要为管理员角色,需经系统账号才可登录系统后台。包含管理员:登录、后台首页、系统用户、景点类型管理、景点信息管理、景点预约管理、车票信息管理、车票预定管理、路线推荐管理、酒店信息管理、酒店预约管理、菜品类型管理、美食信息管理、美食预定管理、系统管理、留言管理、通知公告管理、资源管理等页面。整体呈左右布局,设计简洁明晰。
后台登录界面布局如下图:

图5-4 后台登录界面
管理员登录系统后首先进入后台首页界面。管理员除后台导航外,可在后台首页查看景点销售的统计数据分析图表。
后台首页界面布局如下图:

图5-5 后台首页界面
旅游资讯功能模块是系统中的重要组成部分,旨在为用户提供分享旅游攻略、景点评价、旅行故事等丰富内容。普通用户可查看发布的所有旅游资讯信息详情,支持局部搜索,可进行发布内容操作,并可进行点赞、收藏和评论。
旅游资讯界面布局如下图:

图5-6 旅游资讯页界面
景点信息模块是系统中主要的模块,主提供详细景点介绍、开放时间、门票价格等实用信息。
例如,景点信息展示详情界面布局如下图:

图5-7 景点信息详情页界面
-
-
- 我的模块
-
普通用户可对基本信息、收藏、景点预约、车票预定、酒店预订、美食预定等信息进行管控和查阅信息详情。例如,可在个人首页修改个人资料;可查看和删除自己收藏的信息等。
例如,我的界面布局如下图:

图5-9 我的界面
例如,我的收藏详情界面布局如下图:

图5-10 我的收藏详情界面
-
-
- 系统用户管理模块
-
管理员可以查看并管理所有系统用户,包括普通用户和管理员。可以对用户进行搜索、筛选、编辑、删除等操作,确保用户信息的准确性和安全性。系统用户管理添加界面布局如下图:

图5-11系统用户界面
-
-
- 酒店信息管理模块
-
管理员可对所有酒店信息进行管理和查看其信息详情,进行查询和删除操作。酒店信息管理界面布局如下图:

图5-13 酒店信息管理界面
-
-
- 路线推荐管理模块
-
管理员可对所有路线推荐进行管理和查看其信息详情,进行查询和删除操作。路线推荐管理界面布局如下图:

图5-14 路线推荐管理界面
在对该系统进行完详细设计和编码之后,就要对旅游助手系统的程序进行测试,检测程序是否运行无误,反复进行测试和修改,使之最后成为完整的软件,满足用户的需求,实现预期的功能。系统测试的目的在于确保软件正常运作,并实现其应有的功能,促进行中出现的错误和逻辑问题。系统测试不但可以找见程序运行中的系统错误,还可以找见程序运行的需要改进的地方,并去协助改良程序运行使其获得最高幅度的完备。世界一流的安装测试员可以增加软件品质,将软件系统错误概率降至最少。
本系统专为旅游助手设计了一款微信小程序旅游系统,主要功能包括:用户登录后,能够便捷地搜索和浏览景点信息、路线推荐、酒店信息、美食信息、 旅游公告、车票信息、旅游资讯等。管理员登录系统后台,则可对系统用户、景点类型管理、景点信息管理、景点预约管理、车票信息管理、车票预定管理、路线推荐管理、酒店信息管理、酒店预约管理、菜品类型管理、美食信息管理、美食预定管理、系统管理、留言管理、通知公告管理、资源管理进行全面管理,确保旅游服务的时效性和准确性,为旅游助手提供安全、舒适的旅游服务体验。测试设计如下所示:
用户登录前首先需注册成为系统用户,使用账号和密码可进行登录。用户登录功能测试用例设计如下表所示:
表6-1 用户登录功功能测试用例
| 测试编号 | 测试目的 | 测试步骤 | 预期结果 | 实际结果 | 是否通过 |
| TC001 | 验证有效登录 | 1. 输入正确的用户名和密码 <br> 2. 点击登录按钮 | 显示登录成功,跳转至用户首页 | 登录成功,跳转至用户首页 | 通过 |
| TC002 | 验证空用户名登录 | 1. 不输入用户名,输入正确密码 <br> 2. 点击登录按钮 | 显示用户名不能为空提示信息 | 显示用户名不能为空提示信息 | 通过 |
| TC003 | 验证空密码登录 | 1. 输入正确用户名,不输入密码 <br> 2. 点击登录按钮 | 显示密码不能为空提示信息 | 显示密码不能为空提示信息 | 通过 |
| TC004 | 验证错误用户名登录 | 1. 输入错误的用户名和正确密码 <br> 2. 点击登录按钮 | 显示用户名或密码错误提示信息 | 显示用户名或密码错误提示信息 | 通过 |
| TC005 | 验证错误密码登录 | 1. 输入正确用户名和错误密码 <br> 2. 点击登录按钮 | 显示用户名或密码错误提示信息 | 显示用户名或密码错误提示信息 | 通过 |
- 景点信息模块功能测试
景点信息模块测试包括景点展示功能测试、系统用户功能测试、景点搜索功能测试功能测试。 景点信息模块测试用例如表6.2-6.5所示。
景点展示功能测试用例设计如下表所示:
表6-2 景点展示功能测试用例
| 测试编号 | 测试目的 | 测试步骤 | 预期结果 | 实际结果 | 是否通过 |
| TC001 | 验证正常展示景点 | 1. 进入景点展示页面 <br> 2. 浏览展示的景点内容 | 能够正常显示景点内容 | 景点内容正常显示 | 通过 |
| TC002 | 验证景点链接跳转 | 1. 进入景点展示页面 <br> 2. 点击景点链接 | 能够跳转至相应 景点信息详情页面 | 成功跳转至 景点信息详情页面 | 通过 |
| TC003 | 验证搜索功能 | 1. 进入景点展示页面 <br> 2. 使用搜索功能搜索景点 | 显示符合搜索条件的景点列表 | 显示符合搜索条件的景点列表 | 通过 |
| TC004 | 验证景点分类展示 | 1. 进入景点展示页面 <br> 2. 选择景点分类 | 显示该分类下的景点列表 | 成功显示该分类下的景点列表 | 通过 |
| TC005 | 验证景点的评论功能 | 1. 进入 景点信息详情展示页面 <br> 2. 查看景点并发表评论 | 评论成功显示在景点页面 | 评论成功显示在景点页面 | 通过 |
| TC006 | 验证景点咨询页面跳转 | 1. 进入 景点信息详情展示页面 <br> 2. 点击景点咨询按钮 | 能够跳转至相应景点咨询页面 | 成功跳转至景点咨询页面 | 通过 |
| TC007 | 验证景点下单页面跳转 | 1. 进入 景点信息详情展示页面 <br> 2. 点击景点下单按钮 | 能够跳转至相应景点下单页面 | 成功跳转至景点下单页面 | 通过 |
系统用户功能测试用例设计如下表所示:
表6-3 系统用户功能测试用例
| 测试编号 | 测试目的 | 测试步骤 | 预期结果 | 实际结果 | 是否通过 |
| TC001 | 验证添加景点 | 1. 进入系统用户界面 <br> 2. 输入景点信息 <br> 3. 点击添加按钮 | 景点成功添加到系统页面中 | 景点成功添加到系统页面中 | 通过 |
| TC002 | 验证景点景点分类选择 | 1. 进入系统用户界面 <br> 2. 选择景点分类 <br> 3. 输入景点信息 <br> 4. 提交景点信息 | 根据选择的景点景点分类成功添加景点 | 根据选择的景点类型成功添加景点 | 通过 |
| TC003 | 验证景点内容输入 | 1. 进入系统用户界面 <br> 2. 输入正确景点内容和答案 <br> 3. 点击添加按钮 | 景点内容成功录入系统 | 景点内容成功录入系统 | 通过 |
| TC004 | 验证景点图片上传 | 1. 进入系统用户界面 <br> 2. 上传景点相关图片 <br> 3. 点击添加按钮 | 图片成功上传并与景点关联 | 图片成功上传并与景点关联 | 通过 |
景点搜索功能测试用例设计如下表所示:
表6-4 景点搜索功能测试用例
| 测试编号 | 测试目的 | 测试步骤 | 预期结果 | 实际结果 | 是否通过 |
| TC001 | 验证景点输入景点名称搜索 | 1. 进入景点搜索界面 <br> 2. 输入景点名称 <br> 3. 确认并搜索 | 根据选择的景点名称关键词显示相关景点信息 | 根据选择的景点名称关键词成功显示相关景点信息 | 通过 |
| TC002 | 验证景点输入景点分类搜索 | 1. 进入景点搜索界面 <br> 2. 输入景点分类 <br> 3. 确认并搜索 | 根据选择的景点分类关键词显示相关景点信息 | 根据选择的景点分类关键词成功显示相关景点信息 | 通过 |
| TC003 | 验证景点选择审核状态搜索 | 1. 进入景点搜索界面 <br> 2. 输入审核状态 <br> 3. 确认并搜索 | 根据选择的审核状态关键词显示相关景点信息 | 根据选择的审核状态关键词成功显示相关景点信息 | 通过 |
- 兼容性测试
表6-6 兼容性测试用例
| 用例编号 | 测试类型 | 测试目标 | 操作过程 | 预期结果 |
| 兼容性_01 | 设备兼容性 | 测试系统在不同设备上的表现 | 在多种设备上访问系统并记录表现 | 系统在各种设备上都能正常加载和显示页面 |
| 兼容性_02 | 浏览器兼容性 | 测试系统在不同浏览器上的表现 | 在多种浏览器中访问系统并记录表现 | 系统在各种主流浏览器上都能正常加载和显示页面 |
| 兼容性_03 | 分辨率兼容性 | 测试系统在不同分辨率下的显示效果 | 在不同分辨率的设备上访问系统并记录表现 | 系统在各种分辨率下都能适应并正常显示内容 |
| 兼容性_04 | 操作系统兼容性 | 测试系统在不同操作系统上的运行情况 | 在不同操作系统上访问系统并记录表现 | 系统能够在常用操作系统上正常运行和显示 |
- 性能测试
表6-7性能测试用例
| 用例编号 | 测试类型 | 测试目标 | 操作过程 | 预期结果 |
| 性能_01 | 负载测试 | 测试系统在正常负载下的性能 | 逐步增加用户数来模拟不同的负载情况 | 系统能够稳定处理并响应不同数量的用户请求 |
| 性能_02 | 压力测试 | 测试系统在极端负载下的性能 | 以超过系统承受极限的用户数来测试系统 | 系统能够在高负载情况下仍然保持正常运行 |
| 性能_03 | 并发测试 | 测试系统能同时处理多少并发用户请求 | 同时发送多个并发用户请求来测试系统性能 | 系统能够有效地处理多个并发请求 |
| 性能_04 | 数据量测试 | 测试系统在数据大量下的性能 | 向系统添加大量数据并测试系统响应时间 | 系统能够在数据大量情况下保持较快的响应时间 |
全部测试用例都已通过,且不存在漏洞,实现了本论文开始时所作要求和期望。本系统运行稳定,使用流畅,可以满足客户需求。试运行后进行系统评估,可以认为该系统达到预定的目标要求,可以满足用户的需求,也满足了系统开发前所作目标。系统在经过大量重复测试后运行十分稳定,安全实用,功能模块已经达到预定目标所需。在规定的时间内实现系统的大部分功能,且满足要求,节省开发成本,有助于提高科学管理水平,符合本人经济情况。
简而言之,经过严格的测试,可以发现该系统的功能和性能非常出色,它的精度、可靠性、稳健性都达到了极高的水平,而且它还支持快速、精细的点击操作,使用者的使用感受更加良好。此外,它还支持各种主流浏览器,满足不同的使用要求。
在基于SpringBoot框架下的旅游助手系统设计与实现中,我们通过普通用户、以及管理员等角色的划分,实现了多层次的用户管理和权限控制。通过系统用户管理、景点分类管理等功能模块,提供了便捷高效的旅游体验。同时,酒店信息管理、路线推荐、美食信息管理等功能的引入,进一步增强了平台的交互性和用户满意度,有效保障了旅游的公平性和平台的稳定运行。资源管理和交流管理的实施,不仅丰富了平台的内容,也促进了用户之间的信息交流与互动。
在未来的发展中,可以进一步优化系统的响应速度和用户体验,加强对用户行为的分析,以实现个性化推荐和精准营销。同时,结合先进技术,提升平台的智能化水平,为用户提供更加智能化、便捷化的服务。此外,加强对安全性的防护和隐私保护,是平台未来发展的重要方向之一,保障用户信息的安全与私密性,维护良好的用户口碑和品牌形象。
通过不断优化和创新,基于SpringBoot的旅游助手系统将更好地满足用户的多样化需求,成为用户信赖和选择的首要平台之一。通过本次项目,我不仅深入理解了SpringBoot框架的应用和旅游助手系统的设计思路,也积累了丰富的实际开发经验。未来,我将进一步优化系统的稳定性和安全性,引入多智能化和个性化的功能,以更好地满足用户需求和市场变化。
参考文献
[1]叶永飞,连雁平,武美慧.武夷文创产业小程序应用平台开发[J].福建电脑,2024,40(11):95-99.DOI:10.16707/j.cnki.fjpc.2024.11.016.
[2]李超逸,胡伟.基于心流理论的湘潭窑湾旅游小程序设计[J].湖南包装,2024,39(03):49-51+75.DOI:10.19686/j.cnki.issn1671-4997.2024.03.013.
[3]Jeribi F ,Perumal U ,Alhameed H M .Recommendation System for Sustainable Day and Night-Time Cultural Tourism Using the Mean Signed Error-Centric Recurrent Neural Network for Riyadh Historical Sites[J].Sustainability,2024,16(13):5566-5566.
[4]王中健.曲沃文化传播平台的视觉设计[D].太原师范学院,2024.DOI:10.27844/d.cnki.gtysf.2024.000397.
[5]孙雨露,路菁,姚铮.数字文旅视域下移动智慧旅游平台拓展技术集成研究[J].无线互联科技,2024,21(07):46-49.
[6]王佳,夏云飞,刘玥濛,等.基于微信小程序的红色文旅线上平台开发[J].电脑编程技巧与维护,2024,(03):66-68+75.DOI:10.16184/j.cnki.comprg.2024.03.020.
[7]杨吉欢,李娟,陈洋鑫,等.“红色旅游”微信小程序的设计与实现[J].办公自动化,2024,29(04):78-80+35.
[8]陆歆,容泳珊.基于旅游体验的游戏化导览小程序设计研究[J].美与时代(上),2024,(02):24-27.DOI:10.16129/j.cnki.mysds.2024.02.005.
[9]辛志亮,伍健.基于用户体验的文旅小程序界面设计研究[J].艺术家,2023,(10):45-47.
[10]陈禹霏,攸小瑾.“旅行健康指引”小程序开发及应用[J].科技资讯,2023,21(19):47-51.DOI:10.16661/j.cnki.1672-3791.2305-5042-0659.
[11]王若男,程怡琳,马彦雄.基于微信小程序的海南旅游安全地图运用平台开发研究[J].互联网周刊,2023,(17):86-88.
[12]Jiao P .Exploration on the Application of Artificial Intelligence Technology in the Construction of Smart Tourism System[J].Computer Informatization and Mechanical System,2023,6(5):79-82.
[13]朱乔裕,孙浩天,陈刘炜,等.基于微信小程序的智慧旅游城市设计与实现[J].电子制作,2023,31(13):53-57.DOI:10.16589/j.cnki.cn11-3571/tn.2023.13.018.
[14]邹爽,何炼锴.基于Kano模型的数字文旅小程序用户需求及设计策略研究[J].新媒体研究,2023,9(12):24-27+33.DOI:10.16604/j.cnki.issn2096-0360.2023.12.004.
[15]钟诗睿.乡村智慧旅游服务平台设计研究[D].中南大学,2023.DOI:10.27661/d.cnki.gzhnu.2023.002182.
[16]高翔,朱学明,叶林飞,等.基于微信小程序的人文旅游电子地图设计与实现[J].城市勘测,2023,(02):61-65.
[17]王蒙,董蕾,郭建磊.智慧旅游微信小程序的设计与实现[J].信息与电脑(理论版),2022,34(24):131-133.
[18]贾婧,张青,曾广知,等.基于微信小程序的乡村文旅软件设计与实现——以“游享家”小程序为例[J].电脑知识与技术,2022,18(31):26-28+32.DOI:10.14004/j.cnki.ckt.2022.2035.
[19]陈强.智能旅游助手系统的设计与实现[D].中南大学,2022.DOI:10.27661/d.cnki.gzhnu.2022.006748.
[20]Science and Technology; Findings from Mahidol University Broaden Understanding of Science and Technology (A plenary free individual traveler life cycle for assessment of adoption intelligent travel assistant)[J].Science Letter,2020,263-.
致 谢
在完成本论文的研究与写作过程中,我深切感受到了来自各方的帮助和支持。在此,我衷心地向所有给予我帮助的人表示最诚挚的感谢。
首先,我要特别感谢我的导师,不仅在学术上给予我无私的指导,而且在生活上给予我关怀和支持。是您严谨的学术态度和勤奋的工作精神将永远激励我不断前进。
其次,我要感谢所有教导过我的老师们,是你们精彩课堂和深入的指导为我的研究工作提供了宝贵的知识和灵感。
我还要感谢我的家人,他们的理解和支持是我完成学业的坚强后盾。在我遇到困难和挑战时,他们总是给予我鼓励和力量。
此外,我也要感谢我的朋友和同学们,你们的陪伴和帮助使我的研究生活更加丰富多彩。我们共同度过的时光将成为我一生中宝贵的回忆。
最后,我要感谢所有支持本项目,为本项目提供建设性意见的人员,没有他们的协助,本论文无法顺利完成。
再次感谢所有帮助和支持我的人,是你们的帮助使我的研究之路不再孤单
免费领取项目源码,请关注❥点赞收藏并私信博主,谢谢~
646

被折叠的 条评论
为什么被折叠?



