前言
在现实生活中,我们经常会同一时间接到很多任务去完成,但是这些任务的完成是有先后次序的。以我们学习java
学科为例,我们需要学习很多知识,但是这些知识在学习的过程中是需要按照先后次序来完成的。从java基础,到
jsp/servlet,到ssm,到springboot等是个循序渐进且有依赖的过程。在学习jsp前要首先掌握java基础和html基
础,学习ssm框架前要掌握jsp/servlet之类才行。

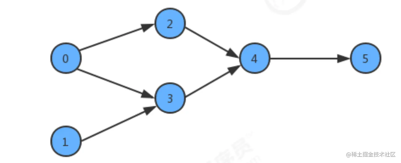
为了简化问题,我们使用整数为顶点编号的标准模型来表示这个案例:

此时如果某个同学要学习这些课程,就需要指定出一个学习的方案,我们只需要对图中的顶点进行排序,让它转换为一个线性序列,就可以解决问题,这时就需要用到一种叫拓扑排序的算法。
拓扑排序介绍
给定一副有向图,将所有的顶点排序,使得所有的有向边均从排在前面的元素指向排在后面的元素,此时就可以明确的表示出每个顶点的优先级。下列是一副拓扑排序后的示意图:

检测有向图中的环
如果学习x课程前必须先学习y课程,学习y课程前必须先学习z课程,学习z课程前必须先学习x课程,那么一定是有问题了,我们就没有办法学习了,因为这三个条件没有办法同时满足。其实这三门课程x、y、z的条件组成了一个环:

因此,如果我们要使用拓扑排序解决优先级问题,首先得保证图中没有环的存在。
实现思路
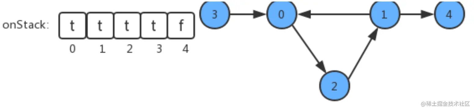
在API中添加了onStack[] 布尔数组,索引为图的顶点,当我们深度搜索时:
- 在如果当前顶点正在搜索,则把对应的onStack数组中的值改为true,标识进栈;
- 如果当前顶点搜索完毕,则把对应的onStack数组中的值改为false,标识出栈;
- 如果即将要搜索某个顶点,但该顶点已经在栈中,则图中有环;





API设计
| 类名 | DirectedCycle |
|---|---|
| 成员变量 | 1.private boolean[] marked: 索引代表顶点,值表示当前顶点是否已经被搜索2.private boolean hasCycle: 记录图中是否有环3.private boolean[] onStack:索引代表顶点,使用栈的思想,记录当前顶点有没有已经处于正在搜索的有向路径上 |
| 构造方法 | DirectedCycle(Digraph G):创建一个检测环对象,检测图G中是否有环 |
| 成员方法 | 1.private void dfs(Digraph G,int v):基于深度优先搜索,检测图G中是否有环2.public boolean hasCycle():判断图中是否有环 |
代码实现
/**
* 有向图是否存在环
*
* @author alvin
* @date 2022/11/2
* @since 1.0
**/
public class DirectedCycle {
//索引代表顶点,值表示当前顶点是否已经被搜索
private boolean[] marked;
//记录图中是否有环
private boolean hasCycle;
//索引代表顶点,使用栈的思想,记录当前顶点有没有已经处于正在搜索的有向路径上
private boolean[] onStack;
//创建一个检测环对象,检测图G中是否有环
public DirectedCycle(Digraph G){
//初始化marked数组
this.marked = new boolean[G.V()];
//初始化hasCycle
this.hasCycle = false;
//初始化onStack数组
this.onStack = new boolean[G.V()];
//找到图中每一个顶点,让每一个顶点作为入口,调用一次dfs进行搜索
for (int v =0; v<G.V();v++){
//判断如果当前顶点还没有搜索过,则调用dfs进行搜索
if (!marked[v]){
dfs(G,v);
}
}
}
//基于深度优先搜索,检测图G中是否有环
private void dfs(Digraph G, int v){
//把顶点v表示为已搜索
marked[v] = true;
//把当前顶点进栈
onStack[v] = true;
for(Integer w: G.adj(v)) {
//判断如果当前顶点w没有被搜索过,则继续递归调用dfs方法完成深度优先搜索
if(!marked[w]) {
dfs(G, w);
}
//判断当前顶点w是否已经在栈中,如果已经在栈中,证明当前顶点之前处于正在搜索的状态,那么现在又要搜索一次,证明检测到环了
if (onStack[w]){
hasCycle = true;
return;
}
}
//把当前顶点出栈
onStack[v] = false;
}
//判断当前有向图G中是否有环
public boolean hasCycle(){
return hasCycle;
}
}
复制代码
基于深度优先的顶点排序
实现思路
如果要把图中的顶点生成线性序列其实是一件非常简单的事,之前我们学习并使用了多次深度优先搜索,我们会发现其实深度优先搜索有一个特点,那就是在一个连通子图上,每个顶点只会被搜索一次,如果我们能在深度优先搜索的基础上,添加一行代码,只需要将搜索的顶点放入到线性序列的数据结构中,我们就能完成这件事。
我们添加了一个栈reversePost用来存储顶点,当我们深度搜索图时,每搜索完毕一个顶点,把该顶点放入到reversePost中,这样就可以实现顶点排序。








API设计
| 类名 | DepthFirstOrder |
|---|---|
| 成员变量 | 1.private boolean[] marked: 索引代表顶点,值表示当前顶点是否已经被搜索2.private Stack reversePost: 使用栈,存储顶点序列 |
| 构造方法 | DepthFirstOrder(Digraph G):创建一个顶点排序对象,生成顶点线性序列; |
| 成员方法 | 1.private void dfs(Digraph G,int v):基于深度优先搜索,生成顶点线性序列2.public Stack reversePost():获取顶点线性序列 |
代码实现
/**
* 顶点排序
*
* @author alvin
* @date 2022/11/2
* @since 1.0
**/
public class DepthFirstOrder {
//索引代表顶点,值表示当前顶点是否已经被搜索
private boolean[] marked;
//使用栈,存储顶点序列
private Stack<Integer> reversePost;
//创建一个检测环对象,检测图G中是否有环
public DepthFirstOrder(Digraph G){
//初始化marked数组
this.marked = new boolean[G.V()];
//初始化reversePost栈
this.reversePost = new Stack<>();
//遍历图中的每一个顶点,让每个顶点作为入口,完成一次深度优先搜索
for (int v = 0;v<G.V();v++){
if (!marked[v]){
dfs(G,v);
}
}
}
//基于深度优先搜索,把顶点排序
private void dfs(Digraph G, int v){
//标记当前v已经被搜索
marked[v] = true;
//通过循环深度搜索顶点v
for (Integer w : G.adj(v)) {
//如果当前顶点w没有搜索,则递归调用dfs进行搜索
if (!marked[w]){
dfs(G,w);
}
}
//让顶点v进栈
reversePost.push(v);
}
//获取顶点线性序列
public Stack<Integer> reversePost(){
return reversePost;
}
}
复制代码
拓扑排序
前面已经实现了环的检测以及顶点排序,那么拓扑排序就很简单了,基于一幅图,先检测有没有环,如果没有环,则调用顶点排序即可。
API设计
| 类名 | TopoLogical |
|---|---|
| 成员变量 | 1.private Stack order: 顶点的拓扑排序 |
| 构造方法 | TopoLogical(Digraph G):构造拓扑排序对象 |
| 成员方法 | 1.public boolean isCycle():判断图G是否有环2.public Stack order():获取拓扑排序的所有顶点 |
代码实现
/**
* 拓扑排序
*
* @author alvin
* @date 2022/11/2
* @since 1.0
**/
public class TopoLogical {
//顶点的拓扑排序
private Stack<Integer> order;
//构造拓扑排序对象
public TopoLogical(Digraph G) {
//创建一个检测有向环的对象
DirectedCycle cycle = new DirectedCycle(G);
//判断G图中有没有环,如果没有环,则进行顶点排序:创建一个顶点排序对象
if (!cycle.hasCycle()){
DepthFirstOrder depthFirstOrder = new DepthFirstOrder(G);
order = depthFirstOrder.reversePost();
}
}
//判断图G是否有环
private boolean isCycle(){
return order==null;
}
//获取拓扑排序的所有顶点
public Stack<Integer> order(){
return order;
}
}
复制代码
测试验证
public class TopoLogicalTest {
@Test
public void test() {
//准备有向图
Digraph digraph = new Digraph(6);
digraph.addEdge(0,2);
digraph.addEdge(0,3);
digraph.addEdge(2,4);
digraph.addEdge(3,4);
digraph.addEdge(4,5);
digraph.addEdge(1,3);
//通过TopoLogical对象堆有向图中的顶点进行排序
TopoLogical topoLogical = new TopoLogical(digraph);
//获取顶点的线性序列进行打印
Stack<Integer> order = topoLogical.order();
StringBuilder sb = new StringBuilder();
while (order.size() != 0) {
sb.append(order.pop()+"->");
};
String str = sb.toString();
int index = str.lastIndexOf("->");
str = str.substring(0,index);
System.out.println(str);
}
}
复制代码

本文介绍了如何使用拓扑排序解决任务优先级问题,包括环检测、深度优先搜索和顶点排序等关键技术点。
1209

被折叠的 条评论
为什么被折叠?



