应用场景:用户画像,广告推荐等等
一种典型的无监督学习算法,主要将相似的样本自动归到一个类别中,计算样本之间的相似性,一般使用欧式距离
聚类算法和分类算法的区别:
- 聚类算法时无监督的学习算法
- 分类算法属于监督的学习算法
-
流程:
- 事先确定常数K,常数K意味着最终聚类类别数
- 随机选定初始点为质心,并通过计算每一个样本与质心之间的相似度(欧氏距离),将样本点归到最相似的类中
- 重新计算每个类的质心,重复这样的过程,直到质心不再改变
- 最终就确定了每个样本所属的类别以及每个类的质心
- 由于每次都要计算所有的样本与每一个质心之间的相似度,故在大规模的数据集上,K-Means算法的收敛速度比较慢
-
k-means算法小结
优点:
1.原理简单(靠近中心点),实现容易
2.聚类效果上(依赖K的选择)
3.空间复杂度o(N),时间复杂度o(IKN)
N为样本点个数,K为中心点个数,I为迭代次数
缺点:
1.对离群点,噪声敏感(中心点易偏移)
2.很难发现大小差别很大的簇及进行增量计算
3.结果不一定是全局最优,只能保证局部最优(与K的个数 及初值选取有关)
-
canopy算法配合初始类聚类 实现流程

canopy算法的优缺点优点:
1…Kmeans对噪声抗干扰较弱,通过Canopy对比,将较小的NumPoint的Cluster直接去掉有利于抗干扰
2.Canopy选择出来的每个Canopy的centerPoint作为K会更精确
3.只是针对每个Canopy的内做Kmeans聚类,减少相似计算的数量
缺点:
算法中 T1、T2的确定问题 ,依旧可能落入局部最优解
-
优化方法 思路 Canopy+kmeans Canopy粗聚类配合kmeans kmeans++ 距离越远越容易成为新的质心 二分k-means 拆除SSE最大的簇 k-medoids 和kmeans选取中心点的方式不同 kernel kmeans 映射到高维空间 ISODATA 动态聚类,可以更改K值大小 Mini-batch K-Means 大数据集分批聚类 -
特征降维
指的是在某些限定条件下,降低随机变量(特征)个数,得到一组"不相关"主变量的过程(例如二维变成一位 地球仪变成地图)
- 两种方式:
1.特征选择
2.主成分分析(可以理解成特征提取)-
特征选择:
1.Filter(过滤式):主要探究特征本身特点,特征与特征和目标值之间的关联
-
方差选择发:低方差特征过滤
删除低方差的一些特征
- 特征方差小:某个特征大多样本的值比较相近
- 特征方差大:某个特征很多样本的值都有差别
-
相关系数
-
皮尔逊相关系数
反映变量之间相关关系密切程度的统计指标

相关系数的值介于–1与+1之间,即–1≤ r ≤+1。其性质如下:
- 当r>0时,表示两变量正相关,r<0时,两变量为负相关
- 当|r|=1时,表示两变量为完全相关,当r=0时,表示两变量间无相关关系
- 当0<|r|<1时,表示两变量存在一定程度的相关。且|r|越接近1,两变量间线性关系越密切;|r|越接近于0,表示两变量的线性相关越弱
- 一般可按三级划分:|r|<0.4为低度相关;0.4≤|r|<0.7为显著性相关;0.7≤|r|<1为高度线性相关
-
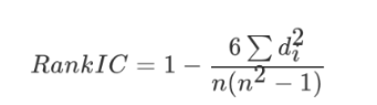
斯皮尔曼相关系数
-
反映变量之间相关关系密切程度的统计指标

- 斯皮尔曼相关系数表明 X (自变量) 和 Y (因变量)的相关方向。 如果当X增加时, Y 趋向于增加, 斯皮尔曼相关系数则为正
- 与之前的皮尔逊相关系数大小性质一样,取值 [-1, 1]之间
-
2.Embedded(嵌入式):算法自动选择特征(特征与目标值之间的关联)
- 决策树:信息熵,信息增益
- 正则化:L1(把系数变为0) ,L2(把系数变成趋近于0的值)
- 深度学习:卷积等
-
-
主成分分析(PCA)
- 定义:高维数据转化为低维数据的过程,在此过程中可能会舍弃原有数据、创造新的变量
- 作用:是数据维数压缩,尽可能降低原数据的维数(复杂度),损失少量信息。
- 应用:回归分析或者聚类分析当中
本文深入探讨K-Means聚类算法及其优化方法Canopy算法,阐述了它们在用户画像和广告推荐等场景的应用,分析了算法的流程、优缺点,并介绍了特征降维技术如主成分分析(PCA)在算法优化中的作用。
1068

被折叠的 条评论
为什么被折叠?



