系列文章目录
JavaEE初级--------第一章 认识进程
JavaEE初级
第一章 认识进程
前言
- 计算的操作系统对于计算机可以说是十分重要的,操作系统是人与计算机之间的接口,也是计算机的灵魂。操作系统是一组做计算机资源管理的软件的统称。目前常见的操作系统有:Windows系列、Linux系列、Android系列、ios系列、鸿蒙等。
- 本质上是用来搞管理的软件:
1、对下管理所有的硬件设备。
2、对上要给软件提供稳定的运行环境(进程的隔离性)。

一、什么是进程?
- 每个应用程序运行于现代操作系统之上时,操作系统会提供一种抽象,好像系统上只有这个程序在运行,所有的硬件资源都被这个程序在使用。这种假象是通过抽象了一个进程的概念来完成的,进程可以说是计算机科学中最重要和最成功的概念之一。
- 进程(Process)/ 任务(Task)
通俗来说,进程也可以理解成任务,其实就是一个已经跑起来的程序。
进程是操作系统对一个正在运行的程序的一种抽象,换言之,可以把进程看做程序的一次运行过程。同时,在操作系统内部,进程是系统进行资源分配的基本单位。
接下来,我们打开电脑上的任务管理器,可以发现进程的选项中显示了当前电脑上正在运行的进程,Windows系统开机就会有百八十个进程运行。

那么,我们不难就有疑惑了,这么多的进程计算机是怎么管理过来的呀。
二、进程怎么去管理?
每个进程要想执行,就都需要消耗一定的系统资源(硬件资源),那么,应该如何管理进程呢?
我们可以从两个角度去看待管理:
- 描述,使用类/结构体,把被管理的一个对象,各个属性都表示出来
- 组织,使用数据结构,把这些表示出来的对象,串起来(主要就是进行增删查改)
-
系统中专门有一个结构体描述进程的属性:
这个专门的结构体就是“进程控制块”PCB,一个进程可以使用一个或多个PCB来表示。 -
系统中会使用类似于双向链表这样的数据结构来组织多个PCB:
创建新的进程,就是创建PCB并且把PCB插入到链表中
销毁进程,就是把PCB从链表上删除并释放
展示进程列表,就相当于遍历链表的每个节点
… -
那么接下来,我们再讨论一下PCB中有哪些属性(PCB是一个非常庞大的结构体,包含很多属性),因为每一个PCB对象就代表着一个个实实在在运行着的程序,也就是线程。
-
pid:进程的身份标识
每个进程都会有一个pid,同一时刻,不同进程之间的pid是不同的。

-
内存指针(一组属性)
每个进程在运行的时候,都会分配一定的内存空间。这个进程中的内存空间,具体是在哪里,以及分配的内存空间中有哪些部分,每个部分都是干啥的,有这么一组指针来进行区分。
描述了进程持有的“内存资源”是啥样的 -
文件描述符表
(类似于顺序表这样的数据结构,有很多元素)
一个进程也需要涉及到硬盘操作,就需要按照文件的方式来操作,当前进程关联了哪些文件,都能操作哪些文件,就是通过文件描述符表。
描述了进程持有的“硬盘资源”是啥样的
-
三、进程怎么去进行调度?
-
进程持有的CPU资源如何体现?这就是进程的调度
早期的操作系统,是一个“单任务操作系统”------同一时刻只有一个进程能运行,运行下一个进程,就会退出上一个。一个进程要执行,就需要CPU来执行指令,单核CPU,一个CPU核心,同一时刻,只能执行一个进程的指令。
那么,计算机是如何同时执行很多应用的呢?
其实,我们可以把一个CPU看做是一个网红打卡点,当进程排着队想上去执行时,就像游客排队上去拍照一样,试想一下,如果游客轮转速度足够快,拍下来会不会是大家的合照。


看上面的CPU速度,一秒32亿条指令!!!足够很多进程轮转很多圈了,这里的调度实在太快了,人是感知不到这里的调度时间差的。
实际上现代的CPU都是多核心的,有很多个“网红打卡点”。
如果两个进程同时在两个CPU核心上,微观上也就是“同时执行”,这个情况称为“并行”。一个CPU核心上,通过快速轮转调度的方式,执行多个进程,宏观上是“同时执行”,微观上有先有后,这个情况称为“并发”。(这也就是分时复用) -
PCB中引入了一些属性,用来支持操作系统实现进程调度的效果。
1、进程的状态
就绪状态:进程正在CPU上执行或者虽然进程没在CPU上执行,但是时刻准备着去CPU执行。
阻塞状态:某个进程,某种执行条件不具备,就导致这个进程暂时无法参与CPU的调度执行。
2、进程的优先级
操作系统在调度多个进程的时候并非是一视同仁,有些进程会给更高的优先级,来进行优先调度。
3、进程的上下文
进程从CPU离开之前,需要保护现场,把当前CPU中各种寄存器的状态,都记录到内存中,等到下次进程回到CPU上执行的时候,此时就可以把保存的这些寄存器的值,恢复回去,进程就会沿着上次执行到的位置,继续往后执行。
概括来说,就是存档读档。
4、进程的记账信息
通过优先级机制,对不同的进程分配了不同权重的资源。记账信息会记录当前进程持有CPU的情况(在CPU上执行多久了),就可以作为操作系统调度进程的参考依据。
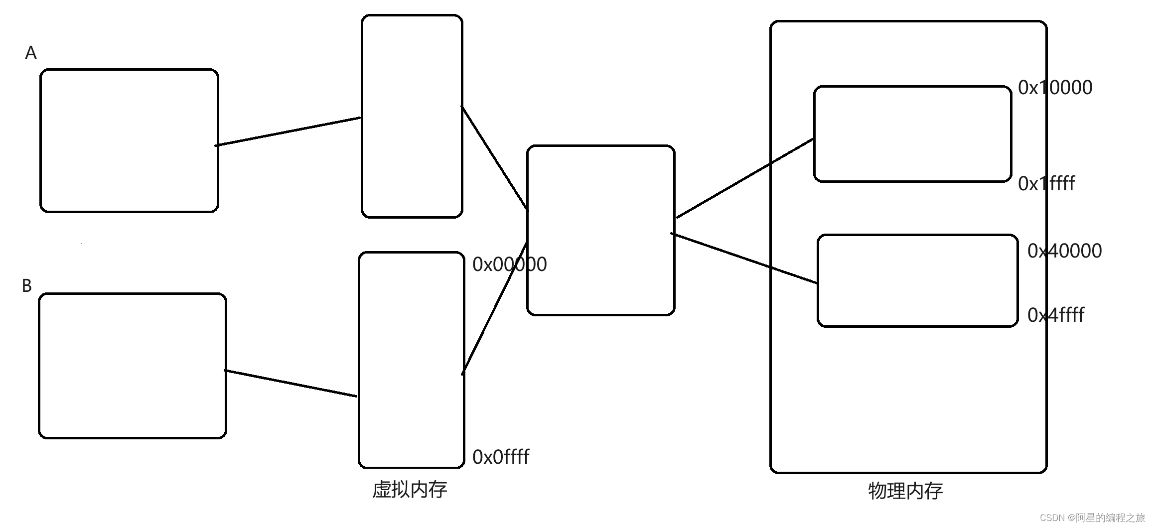
四、进程的虚拟地址空间
操作系统引入“虚拟地址空间”概念,不是直接分配物理内存,而是分配虚拟的内存空间。操作系统对于内存又进行了一层抽象。

A和B看到的内存都是抽象之后的虚拟内存了。A操作某个内存中的数据就需要把操作的虚拟地址告诉系统,系统再把虚拟地址翻译成物理地址。这样,操作系统就可以进行检查/校验了,就需要看看当前这个虚拟地址是否能顺利完成翻译,如果给定的虚拟地址是非法的,是一个越界的访问,系统就能及时发现,并且对当前进程进行处理,就不会波及到其他进程。
五、进程间通信
1.通过文件
2、通过网络(socket)
总结
这一章我们了解了进程的一些基本概念,进程如何去进行管理的,以及进程调度的过程,还有进程的虚拟地址空间和进程间通信。这些前置知识的了解,对后续的线程的学习会起到至关重要的作用。
本文介绍了JavaEE初级系列文章中关于进程的概念、管理方式(包括进程控制块和进程调度)、虚拟地址空间以及进程间通信的基础知识,强调这些内容对后续学习线程的重要性。
118

被折叠的 条评论
为什么被折叠?



