函数
函数的定义
-
量和量之间的关系如:

-
公式

其中x是自变量,y是因变量 -
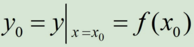
函数在 处取得的函数值

-
符号只是一种表示,也可以:

几种函数
- 分段函数

- 反函数

- 显函数与隐函数

几种特性
- 奇偶性

- 周期性

- 单调性

极限
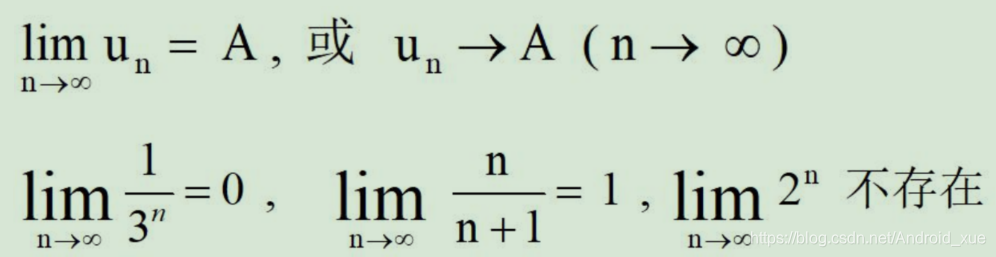
数列
- 按照一定次数排列的一列数:

- 对于数列 {Un}如果当n无限增大时,其通项无限接近于一个常数A,
则称该数列以A为极限或称数列收敛于A,否则称数列为发散。

极限
- 符号表示


- 函数在x0的邻域内有定义


- 左右极限



- 无穷小:以零为极限

- 基本性质:
(1) 有限个无穷小的代数和仍是无穷小
(2)有限个无穷小的积仍是无穷小
(3)有界变量与无穷小的积仍是无穷小
(4)无限个无穷小之和不一定是无穷小

- 无穷小的商不一定是无穷小

- 极限有无穷小的关系


- 无穷大
并不是一个很大的数,是相对于变换过程来说

- 无穷小和无穷大的关系


- 无穷小的比较


- 如果:

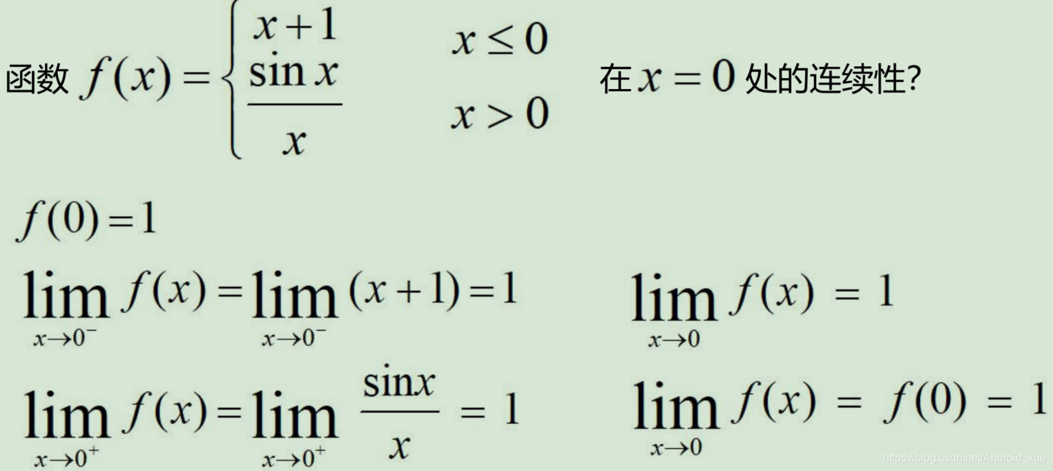
函数的连续性
函数的连续性
- 概念

- 条件:

- 测试:

函数的间断点
- 概念

- 3种情况为间断点

- 结论

- 练习

导数
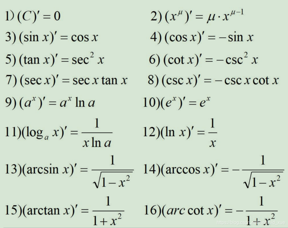
导数
- 概念


- 常用公式

- 结论

梯度
偏导数
- 对于一元函数 y=f(x) 只存在y y 随x x

- 二元函数z=f(x,y)存在z随x变化的变化率,随y变化的变化率,随x﹑y同时变化的变化率

- 偏导数定义:

- 偏导数几何意义

- 测试

方向导数
- 蚂蚁沿什么方向跑路才能活?


- 方向导数的定义

- 定理:

- 测试

梯度
- 定义

- 结论

- 测试

6500

被折叠的 条评论
为什么被折叠?



